Suppr超能文献

肥胖与脂肪肝、肝硬化和肝癌风险的关系:对 50 万中国成年人的前瞻性研究。

Adiposity in relation to risks of fatty liver, cirrhosis and liver cancer: a prospective study of 0.5 million Chinese adults.

机构信息

Clinical Trial Service Unit & Epidemiological Studies Unit (CTSU), Nuffield Department of Population Health, University of Oxford, Oxford, UK.

Medical Research Council Population Health Research Unit (MRC PHRU), Nuffield Department of Population Health, University of Oxford, Oxford, UK.

出版信息

Sci Rep. 2019 Jan 28;9(1):785. doi: 10.1038/s41598-018-36460-7.

Abstract

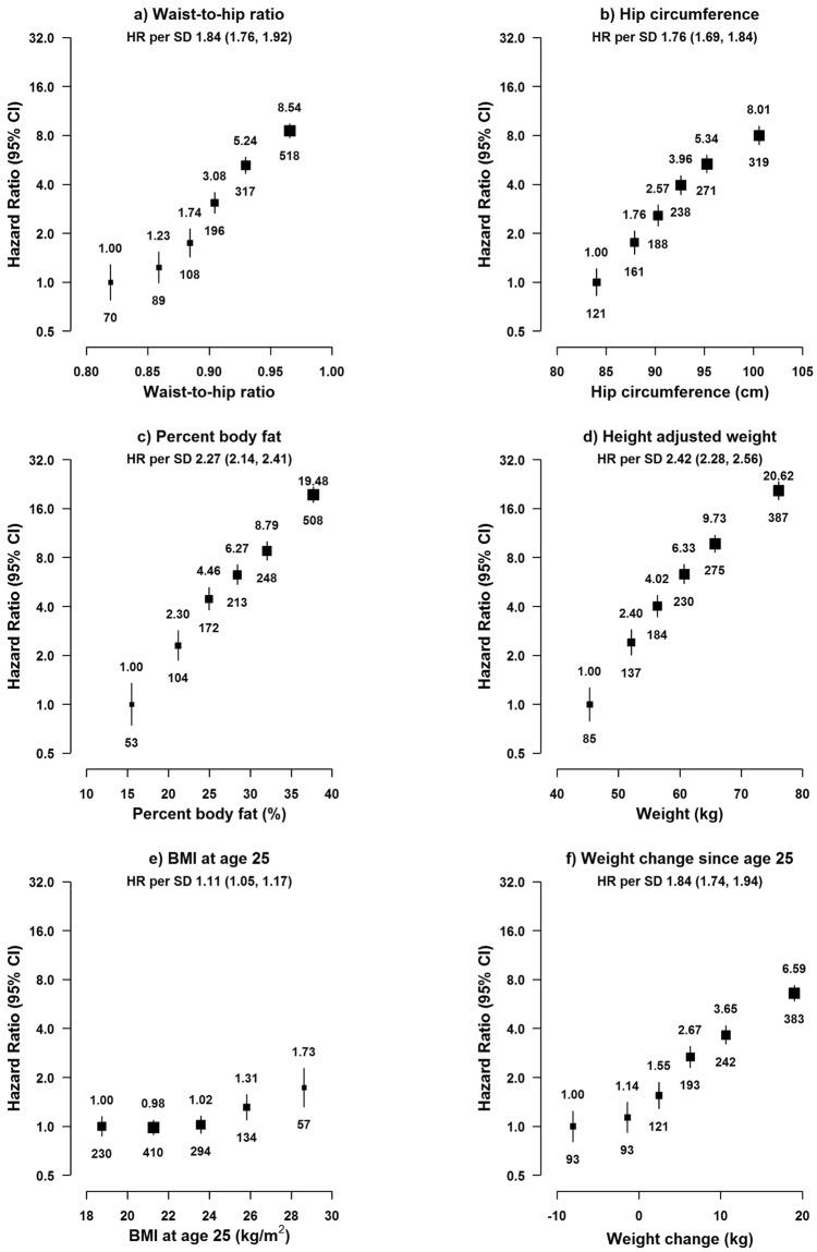
Adiposity is an increasing public health problem in China. We aimed to examine the associations of adiposity with non-alcoholic fatty liver disease (NAFLD) and other chronic liver diseases in Chinese adults. The prospective China Kadoorie Biobank recruited 512,891 adults aged 30-79 years from 10 areas. During 10 years of follow-up, 7,386 incident liver disease cases were recorded among 503,991 participants without prior cancer or chronic liver disease at baseline. The mean body mass index (BMI) (SD) was 23.7 (3.3) kg/m and mean waist circumference (WC) 80.3 (9.8) cm, with 33% having BMI ≥25 kg/m. Throughout the range examined (BMI 15-50) BMI showed a log-linear positive association with NAFLD (n = 1,298), with adjusted HR per 5 kg/m of 2.81 (95% CI 2.63-3.01), adjusting for regression dilution. There were also positive associations of percent body fat, WC, and waist-to-hip ratio with NAFLD, with HRs per 1-SD of 2.27 (2.14-2.41), 2.60 (2.44-2.76), and 1.84 (1.76-1.92). BMI was unrelated to viral hepatitis (n = 1,477), and had a U-shaped association with cirrhosis (n = 2,082) and an inverse association with liver cancer (n = 2,568), which disappeared after excluding the first 5 years of follow-up. Among Chinese adults, adiposity was a major risk factor for NAFLD but not other chronic liver diseases.

摘要

肥胖是中国日益严重的公共卫生问题。本研究旨在探讨中国人肥胖与非酒精性脂肪性肝病(NAFLD)和其他慢性肝病的关系。中国慢性病前瞻性研究(CKB)从中国 10 个地区招募了 512891 名年龄在 30-79 岁之间的成年人。在 10 年的随访期间,在 503991 名基线时无癌症或慢性肝病的参与者中,记录了 7386 例新发肝病病例。参与者的平均体重指数(BMI)(标准差)为 23.7(3.3)kg/m2,平均腰围(WC)为 80.3(9.8)cm,其中 33%的 BMI≥25kg/m2。在整个研究范围内(BMI 15-50),BMI 与 NAFLD 呈对数线性正相关(n=1298),调整后的 HR 为每增加 5kg/m2 为 2.81(95%CI 2.63-3.01),调整了回归稀释。体脂百分比、WC 和腰臀比与 NAFLD 也呈正相关,每增加 1-SD 的 HR 分别为 2.27(2.14-2.41)、2.60(2.44-2.76)和 1.84(1.76-1.92)。BMI 与病毒性肝炎(n=1477)无关,与肝硬化(n=2082)呈 U 形相关,与肝癌(n=2568)呈负相关,但在排除随访的前 5 年后,这种相关性消失。在中国成年人中,肥胖是 NAFLD 的主要危险因素,但不是其他慢性肝病的危险因素。

https://cdn.ncbi.nlm.nih.gov/pmc/blobs/3e21/6349919/f781b3091fde/41598_2018_36460_Fig1_HTML.jpg

文献AI研究员

20分钟写一篇综述,助力文献阅读效率提升50倍。

立即体验

用中文搜PubMed

大模型驱动的PubMed中文搜索引擎

马上搜索

文档翻译

学术文献翻译模型,支持多种主流文档格式。

立即体验