Suppr超能文献

lncRNA相关ceRNA网络的综合分析揭示了乙型肝炎病毒相关肝细胞癌预后的潜在生物标志物。

Integrated analysis of lncRNA-associated ceRNA network reveals potential biomarkers for the prognosis of hepatitis B virus-related hepatocellular carcinoma.

作者信息

Li Hongyan, Zhao Xiaonan, Li Chenghua, Sheng Chuanlun, Bai Zhenzi

机构信息

Infectious Department, China-Japan Union Hospital, Jilin University, Changchun 130033, China,

出版信息

Cancer Manag Res. 2019 Jan 17;11:877-897. doi: 10.2147/CMAR.S186561. eCollection 2019.

Abstract

BACKGROUND

There is evidence that abnormal expression of lncRNAs is associated with hepatitis B virus (HBV) infection-induced hepatocellular carcinoma (HCC). However, the mechanisms remain not fully elucidated. The study aimed to identify novel lncRNAs and explore their underlying mechanisms based on the ceRNA hypothesis.

METHODS

The RNA and miRNA expression profiling in 20 tumor and matched adjacent tissues from HBV-HCC patients were retrieved from the Gene Expression Omnibus database under accession numbers GSE77509 and GSE76903, respectively. Differentially expressed lncRNAs (DELs), miRNAs (DEMs), and genes (DEGs) were identified using the EdgeR package. Protein-protein interaction (PPI) network was constructed for DEGs followed by module analysis. The ceRNA network was constructed based on interaction relationships between miRNAs and mRNAs/lncRNAs. The functions of DEGs were predicted using DAVID and BinGO databases. The prognosis values (overall survival [OS] and recurrence-free survival [RFS]) of ceRNA network genes were determined using The Cancer Genome Atlas (TCGA) data with Cox regression analysis and Kaplan-Meier method.

RESULTS

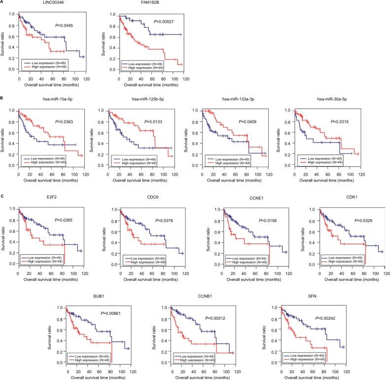
The present study screened 643 DELs, 83 DEMs, and 1,187 DEGs. PPI network analysis demonstrated that CDK1 and CCNE1 were hub genes and extracted in functionally related modules. E2F2, CDK1, and CCNE1 were significantly enriched into cell cycle pathway. FAM182B-miR-125b-5p-E2F2 and LINC00346-miR-10a-5p-CDK1/CCNE1 ceRNA axes were obtained by constructing the ceRNA network. Patients with high expressions of DELs and DEGs in the above ceRNA axes had poor OS, while patients with the high expression of DEMs possessed excellent OS. CDK1 was also an RFS-related biomarker, with its high expression predicting poor RFS. The upregulation of LINC00346 and CDK1 but the downregulation of miR-10a-5p in HCC was validated in other microarray datasets and TCGA database.

CONCLUSION

The LINC00346-miR-10a-5p-CDK1 axis may be an important mechanism for HBV-related HCC, and genes in this ceRNA axis may be potential prognostic biomarkers and therapeutic targets.

摘要

背景

有证据表明长链非编码RNA(lncRNA)的异常表达与乙型肝炎病毒(HBV)感染诱导的肝细胞癌(HCC)有关。然而,其机制仍未完全阐明。本研究旨在基于竞争性内源RNA(ceRNA)假说鉴定新的lncRNA并探索其潜在机制。

方法

分别从基因表达综合数据库中检索了登录号为GSE77509和GSE76903的20例HBV-HCC患者肿瘤组织及配对癌旁组织的RNA和miRNA表达谱。使用EdgeR软件包鉴定差异表达的lncRNA(DEL)、miRNA(DEM)和基因(DEG)。为DEG构建蛋白质-蛋白质相互作用(PPI)网络,随后进行模块分析。基于miRNA与mRNA/lncRNA之间的相互作用关系构建ceRNA网络。使用DAVID和BinGO数据库预测DEG的功能。使用癌症基因组图谱(TCGA)数据,通过Cox回归分析和Kaplan-Meier方法确定ceRNA网络基因的预后价值(总生存期[OS]和无复发生存期[RFS])。

结果

本研究筛选出643个DEL、83个DEM和1187个DEG。PPI网络分析表明,细胞周期蛋白依赖性激酶1(CDK1)和细胞周期蛋白E1(CCNE1)是枢纽基因,并在功能相关模块中提取。E2F2、CDK1和CCNE1显著富集于细胞周期通路。通过构建ceRNA网络获得了FAM182B-miR-125b-5p-E2F2和LINC00346-miR-10a-5p-CDK1/CCNE1 ceRNA轴。上述ceRNA轴中DEL和DEG高表达的患者OS较差,而DEM高表达的患者OS良好。CDK1也是与RFS相关的生物标志物,其高表达预示着RFS较差。在其他微阵列数据集和TCGA数据库中验证了HCC中LINC00346和CDK1的上调以及miR-10a-5p的下调。

结论

LINC00346-miR-10a-5p-CDK1轴可能是HBV相关HCC的重要机制,该ceRNA轴中的基因可能是潜在的预后生物标志物和治疗靶点。

https://cdn.ncbi.nlm.nih.gov/pmc/blobs/80b3/6340501/1da6007d724c/cmar-11-877Fig1.jpg

文献检索

告别复杂PubMed语法,用中文像聊天一样搜索,搜遍4000万医学文献。AI智能推荐,让科研检索更轻松。

立即免费搜索

文件翻译

保留排版,准确专业,支持PDF/Word/PPT等文件格式,支持 12+语言互译。

免费翻译文档

深度研究

AI帮你快速写综述,25分钟生成高质量综述,智能提取关键信息,辅助科研写作。

立即免费体验