• 文献检索
  • 文档翻译
  • 深度研究
  • 学术资讯
  • Suppr Zotero 插件Zotero 插件
  • 邀请有礼
  • 套餐&价格
  • 历史记录
应用&插件
Suppr Zotero 插件Zotero 插件浏览器插件Mac 客户端Windows 客户端微信小程序
定价
高级版会员购买积分包购买API积分包
服务
文献检索文档翻译深度研究API 文档MCP 服务
关于我们
关于 Suppr公司介绍联系我们用户协议隐私条款
关注我们

Suppr 超能文献

核心技术专利:CN118964589B侵权必究
粤ICP备2023148730 号-1Suppr @ 2026

文献检索

告别复杂PubMed语法,用中文像聊天一样搜索,搜遍4000万医学文献。AI智能推荐,让科研检索更轻松。

立即免费搜索

文件翻译

保留排版,准确专业,支持PDF/Word/PPT等文件格式,支持 12+语言互译。

免费翻译文档

深度研究

AI帮你快速写综述,25分钟生成高质量综述,智能提取关键信息,辅助科研写作。

立即免费体验

通过双交叉偶联设计和合成一种新型香蕉状功能分子。

Design and Synthesis of a Novel Banana-Shaped Functional Molecule via Double Cross-Coupling.

机构信息

School of Chemistry and Chemical Engineering, Liaocheng University, Liaocheng 252000, China.

School of Environmental Science and Engineering, Shandong University, Jinan 250100, China.

出版信息

Molecules. 2019 Feb 15;24(4):698. doi: 10.3390/molecules24040698.

DOI:10.3390/molecules24040698
PMID:30769955
原文链接:https://pmc.ncbi.nlm.nih.gov/articles/PMC6412220/
Abstract

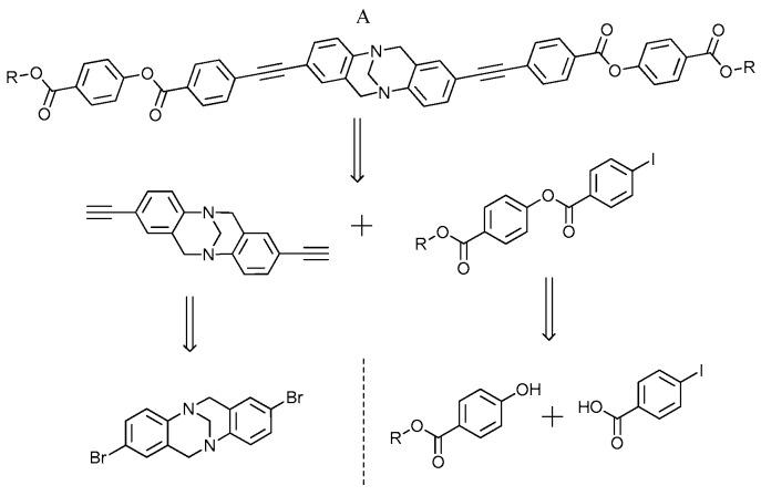
A novel banana-shaped molecule using 2,8-Dimethyl-6,12-5,11-methanodibenzo [] [1,5]diazocine (Tröger's base) as bent-core was synthesized via double Carbon-Carbon cross-coupling reaction. The double Sonogashira cross-coupling reaction was optimized by using Pd(PPh₃)₂Cl₂ as catalyst, CuI as cocatalyst and diisopropylamine as base in place of triethylamine. The structure of this compound was confirmed by ¹H-NMR, C-NMR, Fourier transform infrared (FT-IR) spectroscopy and mass spectrometry.

摘要

一种新型的香蕉状分子,使用 2,8-二甲基-6,12-5,11-甲烷二苯并 [] [1,5]二氮杂环(特罗格碱)作为弯曲核,通过双碳-碳交叉偶联反应合成。通过使用 Pd(PPh₃)₂Cl₂作为催化剂、CuI 作为助催化剂和二异丙胺代替三乙胺,优化了双 Sonogashira 交叉偶联反应。通过 ¹H-NMR、C-NMR、傅里叶变换红外(FT-IR)光谱和质谱证实了该化合物的结构。

https://cdn.ncbi.nlm.nih.gov/pmc/blobs/d497/6412220/bca96b111477/molecules-24-00698-sch002.jpg
https://cdn.ncbi.nlm.nih.gov/pmc/blobs/d497/6412220/4097035ebcbe/molecules-24-00698-sch001.jpg
https://cdn.ncbi.nlm.nih.gov/pmc/blobs/d497/6412220/7b21ffee5d45/molecules-24-00698-g001.jpg
https://cdn.ncbi.nlm.nih.gov/pmc/blobs/d497/6412220/815035808e24/molecules-24-00698-g002.jpg
https://cdn.ncbi.nlm.nih.gov/pmc/blobs/d497/6412220/e3dfb8c8d68f/molecules-24-00698-g003.jpg
https://cdn.ncbi.nlm.nih.gov/pmc/blobs/d497/6412220/bca96b111477/molecules-24-00698-sch002.jpg
https://cdn.ncbi.nlm.nih.gov/pmc/blobs/d497/6412220/4097035ebcbe/molecules-24-00698-sch001.jpg
https://cdn.ncbi.nlm.nih.gov/pmc/blobs/d497/6412220/7b21ffee5d45/molecules-24-00698-g001.jpg
https://cdn.ncbi.nlm.nih.gov/pmc/blobs/d497/6412220/815035808e24/molecules-24-00698-g002.jpg
https://cdn.ncbi.nlm.nih.gov/pmc/blobs/d497/6412220/e3dfb8c8d68f/molecules-24-00698-g003.jpg
https://cdn.ncbi.nlm.nih.gov/pmc/blobs/d497/6412220/bca96b111477/molecules-24-00698-sch002.jpg

相似文献

1
Design and Synthesis of a Novel Banana-Shaped Functional Molecule via Double Cross-Coupling.通过双交叉偶联设计和合成一种新型香蕉状功能分子。
Molecules. 2019 Feb 15;24(4):698. doi: 10.3390/molecules24040698.
2
General protocols for the synthesis of C(2)-symmetric and asymmetric 2,8-disubstituted analogues of Tröger's base via efficient bromine-lithium exchanges of 2,8-dibromo-6H,12H-5,11-methanodibenzo[b,f][1,5]diazocine.通过2,8-二溴-6H,12H-5,11-亚甲基二苯并[b,f][1,5]二氮杂环辛烷的高效溴-锂交换反应合成C(2)-对称和不对称的特罗格碱2,8-二取代类似物的通用方法。
J Org Chem. 2002 Aug 23;67(17):6008-14. doi: 10.1021/jo025823g.
3
Tröger's base. An alternate synthesis and a structural analog with thromboxane A2 synthetase inhibitory activity.特罗吉尔碱。一种替代合成方法以及具有血栓素A2合成酶抑制活性的结构类似物。
J Med Chem. 1993 Oct 15;36(21):3202-6. doi: 10.1021/jm00073a023.
4
Synthesis and characterization of a novel N-F reagent derived from the ethano-Tröger's base: (1)J(FN) coupling constants as a signature for the N-F bond.一种源自乙醇基特罗格碱的新型N-F试剂的合成与表征:(1) J(FN) 耦合常数作为N-F键的特征
Chem Commun (Camb). 2016 Jan 28;52(8):1606-9. doi: 10.1039/c5cc08375c. Epub 2015 Dec 11.
5
Symmetrical and nonsymmetrical chromophores with Tröger's base skeleton: chiroptical, linear, and quadratic nonlinear optical properties--a joint theoretical and experimental study.具有 Tröger 碱基骨架的对称和非对称生色团:手性、线性和二次非线性光学性质——理论与实验联合研究。
Chemistry. 2010 Jul 19;16(27):8181-90. doi: 10.1002/chem.201000216.
6
A turn-off fluorescence probe based on terpyridine for pH monitoring.基于三吡啶的荧光猝灭探针用于 pH 监测。
Luminescence. 2020 May;35(3):373-378. doi: 10.1002/bio.3736. Epub 2019 Dec 19.
7
Contemporary carbocation chemistry: applications in organic synthesis.当代碳正离子化学:在有机合成中的应用。
Chem Rev. 2013 Sep 11;113(9):6905-48. doi: 10.1021/cr4001385. Epub 2013 Jul 2.
8
Recent approaches for C-C bond formation via direct dehydrative coupling strategies.近期通过直接脱水偶联策略构建 C-C 键的方法。
Chem Soc Rev. 2013 Feb 7;42(3):1121-46. doi: 10.1039/c2cs35397k.
9
Negishi coupling: an easy progress for C-C bond construction in total synthesis.根岸偶联反应:全合成中碳-碳键构建的简便方法。
Mol Divers. 2014 May;18(2):441-72. doi: 10.1007/s11030-014-9510-1. Epub 2014 Mar 7.
10
Synthesis and gas adsorption properties of tetra-armed microporous organic polymer networks based on triphenylamine.基于三苯胺的四臂微孔有机聚合物网络的合成及其气体吸附性能。
Macromol Rapid Commun. 2014 Apr;35(8):834-9. doi: 10.1002/marc.201300864. Epub 2014 Feb 6.

引用本文的文献

1
Glycoconjugates Based on Supramolecular Tröger's Base Scaffold: Synthesis, Photophysics, Docking, and BSA Association Study.基于超分子特罗格碱支架的糖缀合物:合成、光物理、对接及与牛血清白蛋白结合研究
ACS Omega. 2019 Aug 1;4(8):13509-13519. doi: 10.1021/acsomega.9b01857. eCollection 2019 Aug 20.

本文引用的文献

1
Liquid-Crystalline Ionic Liquids as Ordered Reaction Media for the Diels-Alder Reaction.液晶离子液体作为狄尔斯-阿尔德反应的有序反应介质
Chemistry. 2016 Nov 2;22(45):16113-16123. doi: 10.1002/chem.201602965. Epub 2016 Sep 23.
2
Photomobile Liquid-Crystalline Elastomers with Rearrangeable Networks.光致动液晶弹性体的可重构网络。
Adv Mater. 2016 Oct;28(37):8212-8217. doi: 10.1002/adma.201602745. Epub 2016 Jul 15.
3
Porous polymer catalysts with hierarchical structures.具有分级结构的多孔聚合物催化剂。
Chem Soc Rev. 2015 Oct 7;44(17):6018-34. doi: 10.1039/c5cs00198f.
4
Transition metal-free one-pot synthesis of fused 1,4-thiazepin-5(4H)-ones and theoretical study of the S-N type smiles rearrangement process.无过渡金属一锅法合成稠合1,4-硫氮杂䓬-5(4H)-酮及S-N型斯迈尔斯重排过程的理论研究
J Org Chem. 2014 Sep 5;79(17):8040-8. doi: 10.1021/jo5011729. Epub 2014 Aug 18.
5
An efficient one-pot synthesis of benzo[4,5]imidazo[1,2-a]quinoxalines via copper-catalyzed process.一种通过铜催化过程高效一锅合成苯并[4,5]咪唑并[1,2-a]喹喔啉的方法。
Org Lett. 2013 Nov 1;15(21):5480-3. doi: 10.1021/ol4026292. Epub 2013 Oct 22.
6
Thiourea derived Tröger's bases as molecular cleft receptors and colorimetric sensors for anions.硫脲衍生的 Troger 碱作为分子裂缝受体和阴离子比色传感器。
J Org Chem. 2013 Sep 6;78(17):8312-9. doi: 10.1021/jo4008942. Epub 2013 Aug 13.
7
One-pot synthesis of benzo[1,4]thiazin-3(4H)-ones and a Theoretical Study of the S-N type Smiles rearrangement mechanism.一锅法合成苯并[1,4]噻嗪-3(4H)-酮及 S-N 型 Smiles 重排反应机理的理论研究。
J Org Chem. 2012 Oct 5;77(19):8501-6. doi: 10.1021/jo3014287. Epub 2012 Sep 14.
8
Racemic 1,2,3,4,7,8,9,10-octa-fluoro-6H,12H-5,11-methano-dibenzo[b,f][1,5]diazo-cine: an octa-fluorinated analogue of Tröger's base.外消旋1,2,3,4,7,8,9,10-八氟-6H,12H-5,11-亚甲基二苯并[b,f][1,5]二氮杂环辛四烯:特罗格碱的八氟类似物。
Acta Crystallogr Sect E Struct Rep Online. 2008 Jan 30;64(Pt 2):o538. doi: 10.1107/S1600536808002602.
9
Novel banana-discotic hybrid architectures.新型香蕉状盘状混合结构。
Beilstein J Org Chem. 2009 Oct 7;5:52. doi: 10.3762/bjoc.5.52.
10
Discotic liquid crystals: a new generation of organic semiconductors.盘状液晶:新一代有机半导体。
Chem Soc Rev. 2007 Dec;36(12):1902-29. doi: 10.1039/b417320c. Epub 2007 Jul 3.