• 文献检索
  • 文档翻译
  • 深度研究
  • 学术资讯
  • Suppr Zotero 插件Zotero 插件
  • 邀请有礼
  • 套餐&价格
  • 历史记录
应用&插件
Suppr Zotero 插件Zotero 插件浏览器插件Mac 客户端Windows 客户端微信小程序
定价
高级版会员购买积分包购买API积分包
服务
文献检索文档翻译深度研究API 文档MCP 服务
关于我们
关于 Suppr公司介绍联系我们用户协议隐私条款
关注我们

Suppr 超能文献

核心技术专利:CN118964589B侵权必究
粤ICP备2023148730 号-1Suppr @ 2026

文献检索

告别复杂PubMed语法,用中文像聊天一样搜索,搜遍4000万医学文献。AI智能推荐,让科研检索更轻松。

立即免费搜索

文件翻译

保留排版,准确专业,支持PDF/Word/PPT等文件格式,支持 12+语言互译。

免费翻译文档

深度研究

AI帮你快速写综述,25分钟生成高质量综述,智能提取关键信息,辅助科研写作。

立即免费体验

无土栽培系统电导率对琉璃苣籽油中γ-亚麻酸含量的影响。

Effects of the electrical conductivity of a soilless culture system on gamma linolenic acid levels in borage seed oil.

机构信息

Departamento de Agronomía, Universidad de Almería, Almería, Spain.

Escuela de Agronomía, Pontificia Universidad Católica de Valparaíso, Quillota, Chile.

出版信息

PLoS One. 2019 Feb 19;14(2):e0207106. doi: 10.1371/journal.pone.0207106. eCollection 2019.

DOI:10.1371/journal.pone.0207106
PMID:30779750
原文链接:https://pmc.ncbi.nlm.nih.gov/articles/PMC6380564/
Abstract

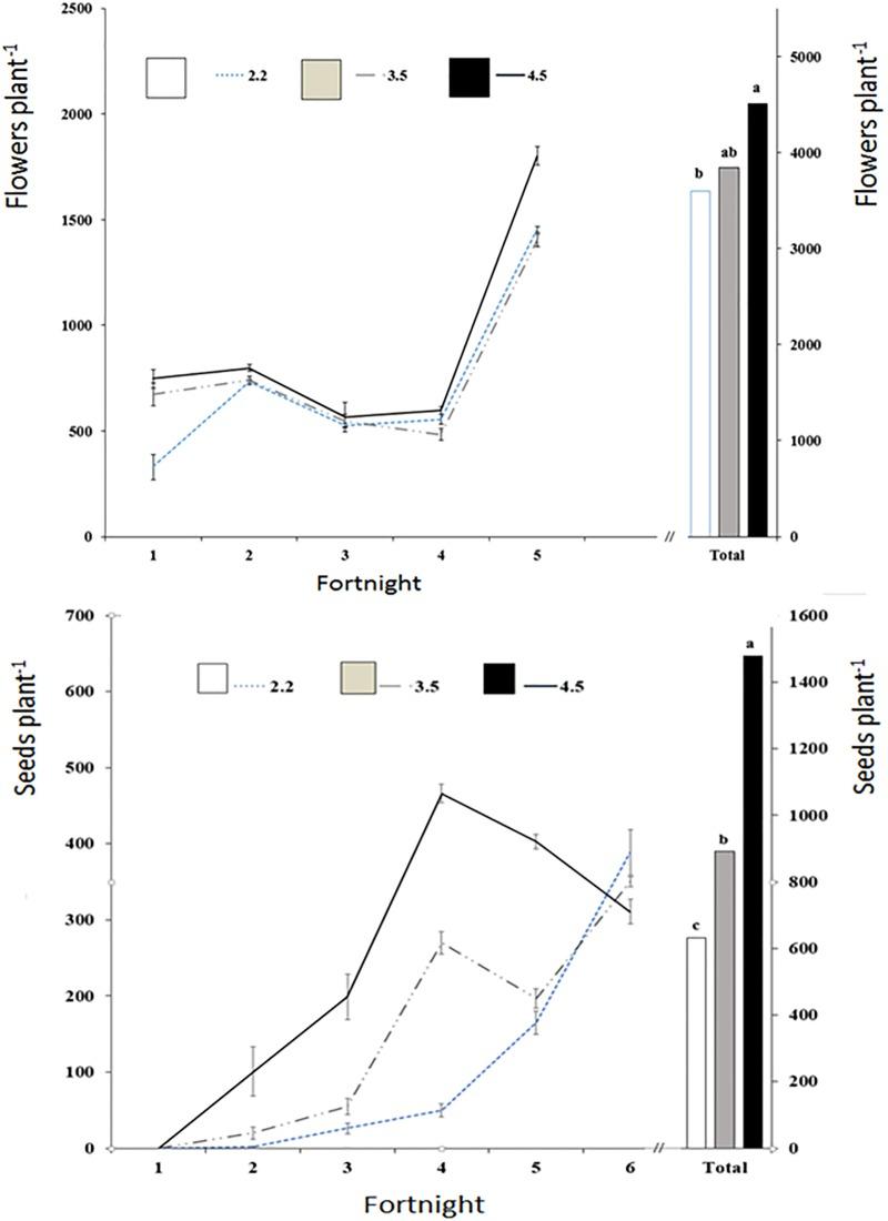
Borage is a well-known plant of great importance in human nutrition and health. Expanding knowledge of particular plants that have anti-cancer products is a global concern. There is substantial information regarding the benefits, presence and extraction of gamma linolenic acid (GLA; 18:3n6) in different plants around the world, especially in borage seeds. However, there is little information concerning the effects of the salinity of the nutrient solution on the growth and presence of GLA in borage seeds. The objective of this work was to determine the optimal salinity of the nutrient solution for obtaining GLA in soilless cultivation systems. Borage plants were grown in coconut fibre and provided three treatments of nutrient solution of 2.20, 3.35 and 4.50 dS m-1, increasing solution salinity with the standard nutrient solution of concentrated macronutrients as a reference. Vegetative growth, seed production and GLA ratio were measured. The results of vegetative development and GLA production doubled and tripled with the increase in salinity of the nutrient solution, respectively.

摘要

琉璃苣是一种广为人知的植物,对人类营养和健康具有重要意义。扩大对具有抗癌产品的特定植物的认识是全球关注的问题。关于不同植物中 γ-亚麻酸(GLA;18:3n6)的益处、存在和提取,特别是在琉璃苣种子中,有大量信息。然而,关于营养液盐度对琉璃苣种子中 GLA 生长和存在的影响的信息却很少。这项工作的目的是确定无土栽培系统中获得 GLA 的最佳营养液盐度。在椰子纤维中种植琉璃苣植物,并提供三种营养液处理,浓度分别为 2.20、3.35 和 4.50 dS m-1,营养液盐度随浓缩大量营养素的标准营养液而增加。测量了营养生长、种子生产和 GLA 比例。营养生长和 GLA 产量的结果分别增加了一倍和两倍,随着营养液盐度的增加而增加。

https://cdn.ncbi.nlm.nih.gov/pmc/blobs/04cf/6380564/54d0faa873bd/pone.0207106.g001.jpg
https://cdn.ncbi.nlm.nih.gov/pmc/blobs/04cf/6380564/54d0faa873bd/pone.0207106.g001.jpg
https://cdn.ncbi.nlm.nih.gov/pmc/blobs/04cf/6380564/54d0faa873bd/pone.0207106.g001.jpg

相似文献

1
Effects of the electrical conductivity of a soilless culture system on gamma linolenic acid levels in borage seed oil.无土栽培系统电导率对琉璃苣籽油中γ-亚麻酸含量的影响。
PLoS One. 2019 Feb 19;14(2):e0207106. doi: 10.1371/journal.pone.0207106. eCollection 2019.
2
Protective effect of borage seed oil and gamma linolenic acid on DNA: in vivo and in vitro studies.琉璃苣籽油和γ-亚麻酸对 DNA 的保护作用:体内和体外研究。
PLoS One. 2013;8(2):e56986. doi: 10.1371/journal.pone.0056986. Epub 2013 Feb 27.
3
High accumulation of γ-linolenic acid and Stearidonic acid in transgenic Perilla (Perilla frutescens var. frutescens) seeds.转基因紫苏(Perilla frutescens var. frutescens)种子中γ-亚麻酸和硬脂酸的高积累。
BMC Plant Biol. 2019 Apr 1;19(1):120. doi: 10.1186/s12870-019-1713-2.
4
Compositions of the seed oil of the Borago officinalis from Iran.来自伊朗的琉璃苣种子油的成分。
Nat Prod Res. 2015;29(7):663-6. doi: 10.1080/14786419.2014.971793. Epub 2014 Oct 31.
5
Comparison of growth, serum biochemistries and n-6 fatty acid metabolism in rats fed diets supplemented with high-gamma-linolenic acid safflower oil or borage oil for 90 days.90 天喂养富含γ-亚麻酸红花油或琉璃苣油的饲粮对大鼠生长、血清生化和 n-6 脂肪酸代谢的比较。
Food Chem Toxicol. 2012 Jun;50(6):1911-9. doi: 10.1016/j.fct.2012.01.001. Epub 2012 Jan 12.
6
Status epilepticus associated with borage oil ingestion.与琉璃苣油摄入相关的癫痫持续状态。
J Med Toxicol. 2011 Jun;7(2):154-7. doi: 10.1007/s13181-011-0135-9.
7
EFFICIENCY OF BORAGE SEEDS OIL AGAINST GAMMA IRRADIATION-INDUCED HEPATOTOXICITY IN MALE RATS: POSSIBLE ANTIOXIDANT ACTIVITY.琉璃苣籽油对γ射线诱导的雄性大鼠肝毒性的防护作用:可能的抗氧化活性
Afr J Tradit Complement Altern Med. 2017 Jun 5;14(4):169-179. doi: 10.21010/ajtcam.v14i4.20. eCollection 2017.
8
Comparison of growth and fatty acid metabolism in rats fed diets containing equal levels of gamma-linolenic acid from high gamma-linolenic acid canola oil or borage oil.以高γ-亚麻酸菜籽油或琉璃苣油为原料、含有等量γ-亚麻酸的日粮喂养大鼠时生长与脂肪酸代谢的比较
Lipids. 2000 Sep;35(9):975-81. doi: 10.1007/s11745-000-0608-9.
9
Development of imidazolinone herbicide tolerant borage (Borago officinalis L.).耐咪唑啉酮类除草剂琉璃苣(Borago officinalis L.)的培育。
Plant Sci. 2017 Sep;262:74-80. doi: 10.1016/j.plantsci.2017.05.012. Epub 2017 Jun 2.
10
Sardinian Boraginaceae are new potential sources of gamma-linolenic acid.撒丁岛紫草科植物是γ-亚麻酸的新潜在来源。
Food Chem. 2017 Mar 1;218:435-439. doi: 10.1016/j.foodchem.2016.09.111. Epub 2016 Sep 17.

引用本文的文献

1
Recent advances and future directions on GLA-producing organisms.产γ-亚麻酸(GLA)生物的最新进展与未来方向。
Front Bioeng Biotechnol. 2025 Jul 9;13:1567840. doi: 10.3389/fbioe.2025.1567840. eCollection 2025.
2
Profiling of Indigenous Biosurfactant-Producing Isolates in the Bioremediation of Soil Contaminated by Petroleum Products and Olive Oil.石油产品和橄榄油污染土壤生物修复中本土生物表面活性剂产生菌的分析
Int J Microbiol. 2021 Sep 16;2021:9565930. doi: 10.1155/2021/9565930. eCollection 2021.

本文引用的文献

1
Sardinian Boraginaceae are new potential sources of gamma-linolenic acid.撒丁岛紫草科植物是γ-亚麻酸的新潜在来源。
Food Chem. 2017 Mar 1;218:435-439. doi: 10.1016/j.foodchem.2016.09.111. Epub 2016 Sep 17.
2
A Targeted Management of the Nutrient Solution in a Soilless Tomato Crop According to Plant Needs.根据植物需求对无土番茄作物营养液进行精准管理。
Front Plant Sci. 2016 Mar 30;7:391. doi: 10.3389/fpls.2016.00391. eCollection 2016.
3
Protective effect of borage seed oil and gamma linolenic acid on DNA: in vivo and in vitro studies.
琉璃苣籽油和γ-亚麻酸对 DNA 的保护作用:体内和体外研究。
PLoS One. 2013;8(2):e56986. doi: 10.1371/journal.pone.0056986. Epub 2013 Feb 27.
4
Pharmacological basis for the use of Borago officinalis in gastrointestinal, respiratory and cardiovascular disorders.药用琉璃苣用于治疗胃肠道、呼吸道及心血管疾病的药理学依据。
J Ethnopharmacol. 2007 Dec 3;114(3):393-9. doi: 10.1016/j.jep.2007.08.032. Epub 2007 Aug 24.