Suppr超能文献

自由潜水者长时间屏气时的神经认知标志物:一项事件相关脑电图研究

Neurocognitive Markers During Prolonged Breath-Holding in Freedivers: An Event-Related EEG Study.

作者信息

Steinberg Fabian, Doppelmayr Michael

机构信息

Department of Sport Psychology, Institute of Sport Science, Johannes Gutenberg-University Mainz, Mainz, Germany.

Centre of Cognitive Neuroscience, University of Salzburg, Salzburg, Austria.

出版信息

Front Physiol. 2019 Feb 6;10:69. doi: 10.3389/fphys.2019.00069. eCollection 2019.

Abstract

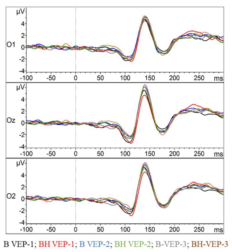
Since little is known concerning the psychological, cognitive, and neurophysiological factors that are involved in and important for phases of prolonged breath-holding (pBH) in freedivers, the present study uses electroencephalography (EEG) to investigate event-related neurocognitive markers during pBH of experienced freedivers that regularly train pBH. The purpose was to determine whether the well-known neurophysiological modulations elicited by hypoxic and hypercapnic conditions can also be detected during pBH induced hypoxic hypercapnia. Ten experienced free-divers (all male, aged 35.10 ± 7.89 years) were asked to hold their breath twice for 4 min per instance. During the first pBH, a checker board reversal task was presented and in the second four-min pBH phase a classical visual oddball paradigm was performed. A visual evoked potential (VEP) as an index of early visual processing (i.e., latencies and amplitudes of N75, P100, and N145) and the latency and amplitude of a P300 component (visual oddball paradigm) as an index of cognitive processing were investigated. In a counter-balanced cross-over design, all tasks were once performed during normal breathing (B), and once during pBH. All components were then compared between an early pBH (0-2 min) and a later pBH stage (2-4 min) and with the same time phases without pBH (i.e., during normal breathing). Statistical analyses using analyses of variance (ANOVA) revealed that comparisons between B and pBH yielded no significant changes either in the amplitude and latency of the VEP or in the P300. This indicates that neurocognitive markers, whether in an early visual processing stream or at a later cognitive processing stage, were not affected by pBH in experienced free-divers.

摘要

由于对于自由潜水者长时间屏气(pBH)阶段所涉及的心理、认知和神经生理因素知之甚少,而这些因素对该阶段很重要,因此本研究使用脑电图(EEG)来调查有经验的、经常训练pBH的自由潜水者在pBH期间的事件相关神经认知标记。目的是确定在pBH诱导的低氧高碳酸血症期间,是否也能检测到由低氧和高碳酸血症条件引发的众所周知的神经生理调制。十名有经验的自由潜水者(均为男性,年龄35.10±7.89岁)被要求每次屏气两次,每次持续4分钟。在第一次pBH期间,呈现棋盘格反转任务,在第二个四分钟的pBH阶段,进行经典的视觉oddball范式。研究了作为早期视觉处理指标的视觉诱发电位(VEP)(即N75、P100和N145的潜伏期和振幅)以及作为认知处理指标的P300成分的潜伏期和振幅。在平衡交叉设计中,所有任务均在正常呼吸(B)期间进行一次,在pBH期间进行一次。然后将所有成分在早期pBH(0 - 2分钟)和后期pBH阶段(2 - 4分钟)之间进行比较,并与无pBH的相同时间阶段(即正常呼吸期间)进行比较。使用方差分析(ANOVA)的统计分析表明,B和pBH之间的比较在VEP的振幅和潜伏期或P300方面均未产生显著变化。这表明,在有经验的自由潜水者中,无论是早期视觉处理流还是后期认知处理阶段的神经认知标记,均不受pBH的影响。

https://cdn.ncbi.nlm.nih.gov/pmc/blobs/7741/6374628/4e2099fb5fd5/fphys-10-00069-g001.jpg

文献AI研究员

20分钟写一篇综述,助力文献阅读效率提升50倍。

立即体验

用中文搜PubMed

大模型驱动的PubMed中文搜索引擎

马上搜索

文档翻译

学术文献翻译模型,支持多种主流文档格式。

立即体验