Suppr超能文献

添加核黄素偶联磁珠通过增加阳极生物膜的形成来提高生物电化学系统中的电流产生。

Addition of Riboflavin-Coupled Magnetic Beads Increases Current Production in Bioelectrochemical Systems via the Increased Formation of Anode-Biofilms.

作者信息

Arinda Tutut, Philipp Laura-Alina, Rehnlund David, Edel Miriam, Chodorski Jonas, Stöckl Markus, Holtmann Dirk, Ulber Roland, Gescher Johannes, Sturm-Richter Katrin

机构信息

Institute for Applied Biosciences, Department of Applied Biology, Karlsruhe Institute of Technology, Karlsruhe, Germany.

Chair of Bioprocess Engineering, Technical University of Kaiserslautern, Kaiserslautern, Germany.

出版信息

Front Microbiol. 2019 Feb 5;10:126. doi: 10.3389/fmicb.2019.00126. eCollection 2019.

Abstract

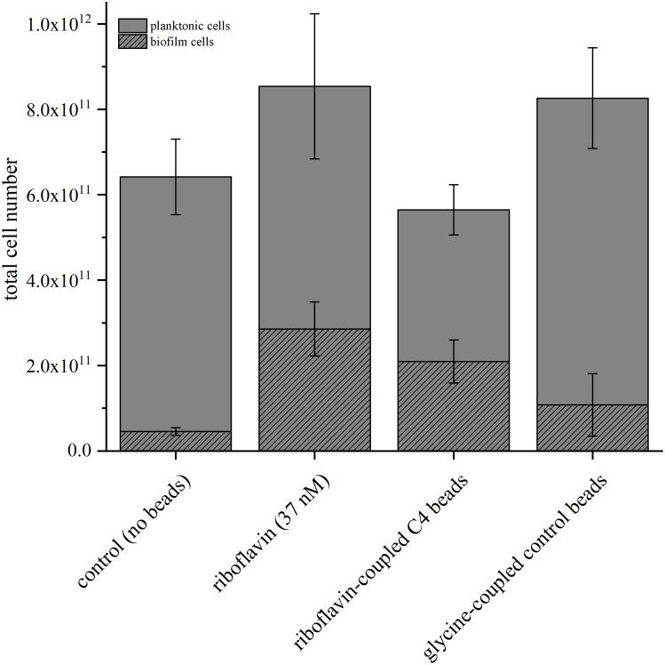
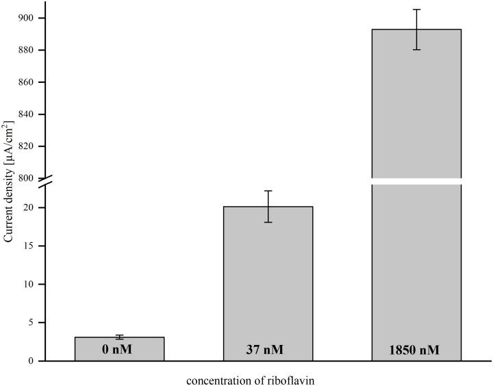
is one of the best-understood model organisms for extracellular electron transfer. Endogenously produced and exported flavin molecules seem to play an important role in this process and mediate the connection between respiratory enzymes on the cell surface and the insoluble substrate by acting as electron shuttle and cytochrome-bound cofactor. Consequently, the addition of riboflavin to a bioelectrochemical system (BES) containing cells as biocatalyst leads to a strong current increase. Still, an external application of riboflavin to increase current production in continuously operating BESs does not seem to be applicable due to the constant washout of the soluble flavin compound. In this study, we developed a recyclable electron shuttle to overcome the limitation of mediator addition to BES. Riboflavin was coupled to magnetic beads that can easily be recycled from the medium. The effect on current production and cell distribution in a BES as well as the recovery rate and the stability of the beads was investigated. The addition of synthesized beads leads to a more than twofold higher current production, which was likely caused by increased biofilm production. Moreover, 90% of the flavin-coupled beads could be recovered from the BESs using a magnetic separator.

摘要

是细胞外电子转移方面理解最透彻的模式生物之一。内源性产生并输出的黄素分子似乎在此过程中发挥重要作用,通过充当电子穿梭体和细胞色素结合辅因子来介导细胞表面呼吸酶与不溶性底物之间的连接。因此,向以 细胞作为生物催化剂的生物电化学系统(BES)中添加核黄素会导致电流大幅增加。然而,由于可溶性黄素化合物不断被冲走,在连续运行的BES中外部应用核黄素以增加电流产生似乎并不适用。在本研究中,我们开发了一种可回收的电子穿梭体以克服向BES添加介体的局限性。核黄素与可轻松从培养基中回收的磁珠偶联。研究了其对BES中电流产生和细胞分布的影响以及磁珠的回收率和稳定性。添加合成磁珠导致电流产生增加两倍多,这可能是由于生物膜产生增加所致。此外,使用磁选器可从BES中回收90%的黄素偶联磁珠。

https://cdn.ncbi.nlm.nih.gov/pmc/blobs/460f/6370747/3d393f032a9c/fmicb-10-00126-g001.jpg

文献AI研究员

20分钟写一篇综述,助力文献阅读效率提升50倍。

立即体验

用中文搜PubMed

大模型驱动的PubMed中文搜索引擎

马上搜索

文档翻译

学术文献翻译模型,支持多种主流文档格式。

立即体验