• 文献检索
  • 文档翻译
  • 深度研究
  • 学术资讯
  • Suppr Zotero 插件Zotero 插件
  • 邀请有礼
  • 套餐&价格
  • 历史记录
应用&插件
Suppr Zotero 插件Zotero 插件浏览器插件Mac 客户端Windows 客户端微信小程序
定价
高级版会员购买积分包购买API积分包
服务
文献检索文档翻译深度研究API 文档MCP 服务
关于我们
关于 Suppr公司介绍联系我们用户协议隐私条款
关注我们

Suppr 超能文献

核心技术专利:CN118964589B侵权必究
粤ICP备2023148730 号-1Suppr @ 2026

文献检索

告别复杂PubMed语法,用中文像聊天一样搜索,搜遍4000万医学文献。AI智能推荐,让科研检索更轻松。

立即免费搜索

文件翻译

保留排版,准确专业,支持PDF/Word/PPT等文件格式,支持 12+语言互译。

免费翻译文档

深度研究

AI帮你快速写综述,25分钟生成高质量综述,智能提取关键信息,辅助科研写作。

立即免费体验

远距离、区域和文化背景对积极通勤的影响:大陆和岛屿儿童。

Influence of distance, area, and cultural context in active commuting: Continental and insular children.

机构信息

Grupo IRyS, School of Physical Education, Pontificia Universidad Católica de Valparaíso, Valparaíso, Chile.

Grupo de Investigación PROFITH "PROmoting FITness and Health THrough physical activity". Departamento de Educación Física y Deportiva, Facultad de Ciencias del Deporte, Universidad de Granada, Granada, Spain.

出版信息

PLoS One. 2019 Mar 5;14(3):e0213159. doi: 10.1371/journal.pone.0213159. eCollection 2019.

DOI:10.1371/journal.pone.0213159
PMID:30835757
原文链接:https://pmc.ncbi.nlm.nih.gov/articles/PMC6400372/
Abstract

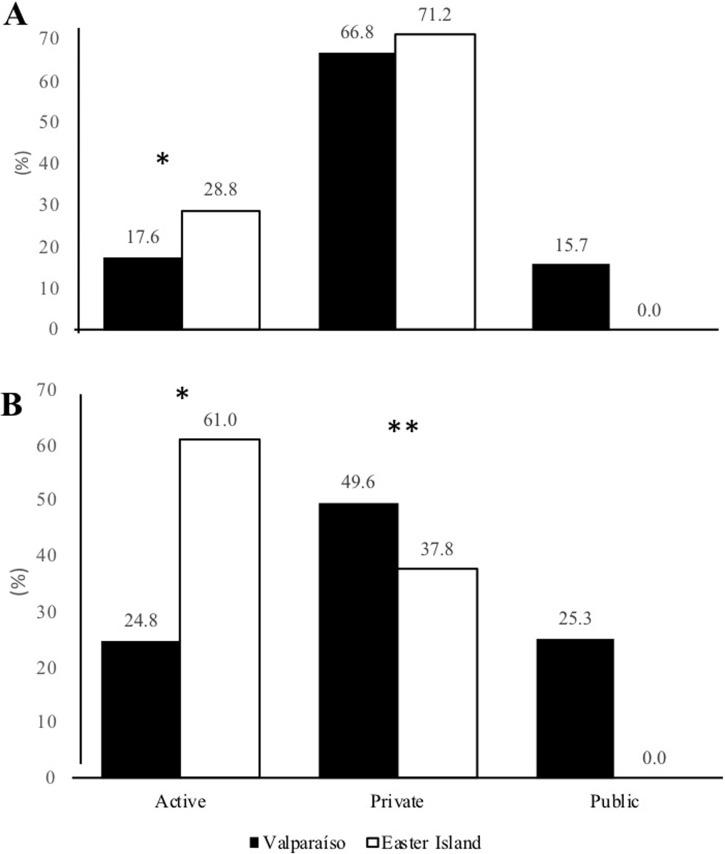
Commuting by walking or cycling is a way to increase physical activity levels. The objective of this article was to determine the modes of commuting to school and the distance and time of the way to school among children from Easter Island and from the mainland (Valparaíso), in Chile. A total of 666 children and adolescents aged 10 to 18 years old (208 from Easter Island and 458 from Valparaíso) participated and completed a valid questionnaire including data about age, gender, usual commuting mode to and from school, distance, and travel time. There are important differences in the mode of commuting between students of Valparaíso and Easter Island. Private transport is more commonly used in Valparaíso than in Easter Island (p<0.001). Furthermore, it was observed that cycling and public transportation are not used as mode of commuting in Valparaíso and Easter Island respectively. Students from Easter Island, who travel more distance and during more time, are more active than students from Valparaíso (going 24.8% and 17.6%; from: 61% and 28.8% respectively). This situation is influenced by the geographic context of the island, the distances from home to school, and the type of commuting, which fosters the level of active commuting. On the other hand, the passive modes of commuting to school are higher in the mainland urban setting of Valparaíso. It is necessary to study the diverse contexts of the Easter Island population, but, for now, the rural setting of Easter Island seems to be associated with a greater level of active commuting to school.

摘要

步行或骑车通勤是增加身体活动水平的一种方式。本文的目的是确定智利复活节岛上和瓦尔帕莱索(瓦尔帕莱索大区)的儿童上学的通勤方式、上学路程和时间。共有 666 名 10 至 18 岁的儿童和青少年(208 名来自复活节岛,458 名来自瓦尔帕莱索)参与并完成了一份有效问卷,其中包括年龄、性别、上学和放学的常用通勤方式、距离和出行时间等数据。瓦尔帕莱索和复活节岛的学生在通勤方式上存在重要差异。瓦尔帕莱索比复活节岛更普遍使用私人交通工具(p<0.001)。此外,还观察到骑自行车和乘坐公共交通工具在瓦尔帕莱索和复活节岛都不是通勤方式。旅行距离更长、时间更长的复活节岛学生比瓦尔帕莱索的学生更活跃(分别为 24.8%和 17.6%;从:61%和 28.8%)。这种情况受到岛屿的地理背景、家庭到学校的距离以及通勤方式的影响,促进了积极通勤的水平。另一方面,瓦尔帕莱索城市环境中的被动通勤方式更高。有必要研究复活节岛人口的不同背景,但目前看来,复活节岛的农村环境似乎与更高水平的积极通勤上学有关。

https://cdn.ncbi.nlm.nih.gov/pmc/blobs/af0e/6400372/5fec6825a489/pone.0213159.g003.jpg
https://cdn.ncbi.nlm.nih.gov/pmc/blobs/af0e/6400372/3bc62f3394ab/pone.0213159.g001.jpg
https://cdn.ncbi.nlm.nih.gov/pmc/blobs/af0e/6400372/ee3cbd7e792d/pone.0213159.g002.jpg
https://cdn.ncbi.nlm.nih.gov/pmc/blobs/af0e/6400372/5fec6825a489/pone.0213159.g003.jpg
https://cdn.ncbi.nlm.nih.gov/pmc/blobs/af0e/6400372/3bc62f3394ab/pone.0213159.g001.jpg
https://cdn.ncbi.nlm.nih.gov/pmc/blobs/af0e/6400372/ee3cbd7e792d/pone.0213159.g002.jpg
https://cdn.ncbi.nlm.nih.gov/pmc/blobs/af0e/6400372/5fec6825a489/pone.0213159.g003.jpg

相似文献

1
Influence of distance, area, and cultural context in active commuting: Continental and insular children.远距离、区域和文化背景对积极通勤的影响:大陆和岛屿儿童。
PLoS One. 2019 Mar 5;14(3):e0213159. doi: 10.1371/journal.pone.0213159. eCollection 2019.
2
Impact of Distance on Mode of Active Commuting in Chilean Children and Adolescents.距离对智利儿童和青少年主动通勤方式的影响。
Int J Environ Res Public Health. 2017 Nov 2;14(11):1334. doi: 10.3390/ijerph14111334.
3
Commuting to school among Mexican schoolchildren and adolescents.墨西哥学童和青少年的上学通勤情况。
Bol Med Hosp Infant Mex. 2019;76(5):225-236. doi: 10.24875/BMHIM.19000161.
4
Criterion distances and environmental correlates of active commuting to school in children.儿童积极上学交通方式的标准距离和环境相关性。
Int J Behav Nutr Phys Act. 2011 Aug 10;8:88. doi: 10.1186/1479-5868-8-88.
5
Mode of Commuting to School and Its Association with Physical Activity and Sedentary Habits in Young Ecuadorian Students.通勤方式与厄瓜多尔年轻学生身体活动和久坐习惯的关系。
Int J Environ Res Public Health. 2018 Nov 30;15(12):2704. doi: 10.3390/ijerph15122704.
6
Effect of a School Choice Policy Change on Active Commuting to Elementary School.学校选择政策变化对小学生主动通勤的影响。
Am J Health Promot. 2015 Sep-Oct;30(1):28-35. doi: 10.4278/ajhp.130510-QUAN-236. Epub 2014 Aug 27.
7
Parent's sociodemographic factors, physical activity and active commuting are predictors of independent mobility to school.父母的社会人口学因素、身体活动和积极通勤是独立上学出行的预测因素。
Int J Health Geogr. 2021 Jun 6;20(1):26. doi: 10.1186/s12942-021-00280-2.
8
Active commuting to and from school among Swedish children--a national and regional study.瑞典儿童上下学的积极通勤——一项全国性和区域性研究。
Eur J Public Health. 2012 Apr;22(2):209-14. doi: 10.1093/eurpub/ckr042. Epub 2011 Apr 26.
9
Associations between Active Commuting to School and Health-Related Physical Fitness in Spanish School-Aged Children: A Cross-Sectional Study.西班牙学龄儿童主动步行或骑车上学与健康相关身体素质之间的关联:一项横断面研究。
Int J Environ Res Public Health. 2015 Aug 26;12(9):10362-73. doi: 10.3390/ijerph120910362.
10
Associations between environmental characteristics and active commuting to school among children: a cross-sectional study.环境特征与儿童积极上学交通方式之间的关联:一项横断面研究。
Int J Behav Med. 2013 Dec;20(4):538-55. doi: 10.1007/s12529-012-9271-0.

引用本文的文献

1
Association between Active Commuting and Lifestyle Parameters with Mental Health Problems in Chilean Children and Adolescent.智利儿童和青少年中主动通勤与生活方式参数和心理健康问题之间的关联。
Behav Sci (Basel). 2024 Jun 29;14(7):554. doi: 10.3390/bs14070554.
2
Association between the Duration of the Active Commuting to and from School, and Cognitive Performance in Urban Portuguese Adolescents.城市中葡裔青少年上下学主动通勤时间与认知表现的关系。
Int J Environ Res Public Health. 2022 Nov 25;19(23):15692. doi: 10.3390/ijerph192315692.
3
School environment and physical activity in adolescents from São Paulo city.

本文引用的文献

1
Prevalence of active transportation among adults in Latin America and the Caribbean: a systematic review of population-based studies.拉丁美洲和加勒比地区成年人主动出行的患病率:基于人群研究的系统评价
Rev Panam Salud Publica. 2017 Mar 23;41:e35. doi: 10.26633/RPSP.2017.35. eCollection 2017.
2
Convergent validation of a questionnaire to assess the mode and frequency of commuting to and from school.一份用于评估上下学通勤方式和频率的问卷的收敛效度。
Scand J Public Health. 2017 Aug;45(6):612-620. doi: 10.1177/1403494817718905. Epub 2017 Jul 10.
3
Mode of Commuting to School and Its Association with Physical Activity and Sedentary Habits in Young Ecuadorian Students.
圣保罗市青少年的学校环境与身体活动。
Sci Rep. 2021 Sep 13;11(1):18118. doi: 10.1038/s41598-021-97671-z.
4
Relationship between the average slope in the active commuting to and from school and fitness in adolescents: the mediator role of fatness.青少年上下学主动通勤的平均坡度与体能的关系:肥胖的中介作用。
PeerJ. 2020 Jun 9;8:e8824. doi: 10.7717/peerj.8824. eCollection 2020.
通勤方式与厄瓜多尔年轻学生身体活动和久坐习惯的关系。
Int J Environ Res Public Health. 2018 Nov 30;15(12):2704. doi: 10.3390/ijerph15122704.
4
A semi-nonparametric Poisson regression model for analyzing motor vehicle crash data.用于分析机动车碰撞数据的半非参数泊松回归模型。
PLoS One. 2018 May 23;13(5):e0197338. doi: 10.1371/journal.pone.0197338. eCollection 2018.
5
Associations between the duration of active commuting to school and academic achievement in rural Chilean adolescents.智利农村青少年上学主动通勤时间与学业成绩的关系。
Environ Health Prev Med. 2017 Apr 4;22(1):31. doi: 10.1186/s12199-017-0628-5.
6
Impact of Distance on Mode of Active Commuting in Chilean Children and Adolescents.距离对智利儿童和青少年主动通勤方式的影响。
Int J Environ Res Public Health. 2017 Nov 2;14(11):1334. doi: 10.3390/ijerph14111334.
7
Cycling to School and Body Composition, Physical Fitness, and Metabolic Syndrome in Children and Adolescents.儿童和青少年骑车上学与身体成分、体能及代谢综合征
J Pediatr. 2017 Sep;188:57-63. doi: 10.1016/j.jpeds.2017.05.065. Epub 2017 Jun 23.
8
Social and built-environment factors related to children's independent mobility: The importance of neighbourhood cohesion and connectedness.与儿童自主活动能力相关的社会和建成环境因素:邻里凝聚力和连通性的重要性。
Health Place. 2017 Jul;46:107-113. doi: 10.1016/j.healthplace.2017.05.002. Epub 2017 May 17.
9
The Threshold Distance Associated With Walking From Home to School.从家到学校的步行阈值距离。
Health Educ Behav. 2017 Dec;44(6):857-866. doi: 10.1177/1090198116688429. Epub 2017 Feb 8.
10
How do children travel to school in urban India? A cross-sectional study of 5,842 children in Hyderabad.印度城市地区的儿童如何上学?一项对海得拉巴5842名儿童的横断面研究。
BMC Public Health. 2016 Oct 19;16(1):1099. doi: 10.1186/s12889-016-3750-1.