Suppr超能文献

充血性心力衰竭及死亡与强直性脊柱炎的关联:韩国一项全国性纵向队列研究

Association of Congestive Heart Failure and Death with Ankylosing Spondylitis : A Nationwide Longitudinal Cohort Study in Korea.

作者信息

Bae Ki Hwan, Hong Je Beom, Choi Yoon Jin, Jung Jin Hyung, Han In-Bo, Choi Jung Min, Sohn Seil

机构信息

Department of Neurosurgery, CHA Bundang Medical Center, CHA University, Seongnam, Korea.

Department of Neurosurgery, Kangbuk Samsung Hospital, Sungkyunkwan University College of Medicine, Seoul, Korea.

出版信息

J Korean Neurosurg Soc. 2019 Mar;62(2):217-224. doi: 10.3340/jkns.2018.0110. Epub 2019 Feb 27.

Abstract

OBJECTIVE

We attempted to discover that Ankylosing spondylitis (AS) has a comprehensive relationship with congestive heart failure and death.

METHODS

We used a nationwide database managed by the Korean National Health Insurance Service from 2010 to 2014. Twelve thousand nine hundred eighty-eight patients with a diagnosis of AS and 64940 age- and sex- stratified matching subjects without AS were enrolled in the AS and control groups. Incidence probabilities of 6 years congestive heart failure and death in each group were calculated. The Cox proportional hazard regression analysis was used to estimate the hazard ratio. We divided the AS and control groups into subgroups according to sex, age, income, and comorbidities.

RESULTS

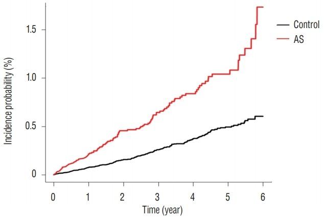
During the follow-up period, 102 patients (0.79%) in the AS group and 201 patients (0.32%) in the control group developed congestive heart failure (p<0.0001). In addition, 211 (1.62%) subjects in the AS group died during the follow-up period compared to 639 (0.98%) subjects in the control group (p<0.0001). The adjusted hazard ratio of congestive heart failure and death in the AS group was 2.28 (95% confidence interval [CI], 1.80-2.89) and 1.66 (95% CI, 1.42-1.95), respectively. The hazard ratios of congestive heart failure and death were significantly increased in all of the subgroups.

CONCLUSION

The incidence rates of congestive heart failure and death were increased in AS patients.

摘要

目的

我们试图探究强直性脊柱炎(AS)与充血性心力衰竭及死亡之间的全面关系。

方法

我们使用了韩国国民健康保险服务机构管理的2010年至2014年全国性数据库。将12988例诊断为AS的患者及64940例年龄和性别分层匹配的非AS受试者纳入AS组和对照组。计算每组6年充血性心力衰竭和死亡的发病概率。采用Cox比例风险回归分析来估计风险比。我们根据性别、年龄、收入和合并症将AS组和对照组分为亚组。

结果

在随访期间,AS组有102例患者(0.79%)发生充血性心力衰竭,对照组有201例患者(0.32%)发生充血性心力衰竭(p<0.0001)。此外,AS组有211例(1.62%)受试者在随访期间死亡,而对照组有639例(0.98%)受试者死亡(p<0.0001)。AS组充血性心力衰竭和死亡的校正风险比分别为2.28(95%置信区间[CI],1.80 - 2.89)和1.66(95%CI,1.42 - 1.95)。所有亚组中充血性心力衰竭和死亡的风险比均显著升高。

结论

AS患者充血性心力衰竭和死亡的发生率增加。

https://cdn.ncbi.nlm.nih.gov/pmc/blobs/7872/6411571/04472d51b8ee/jkns-2018-0110f1.jpg

文献检索

告别复杂PubMed语法,用中文像聊天一样搜索,搜遍4000万医学文献。AI智能推荐,让科研检索更轻松。

立即免费搜索

文件翻译

保留排版,准确专业,支持PDF/Word/PPT等文件格式,支持 12+语言互译。

免费翻译文档

深度研究

AI帮你快速写综述,25分钟生成高质量综述,智能提取关键信息,辅助科研写作。

立即免费体验