Suppr超能文献

基于动态关键路径驱动的云计算系统有时间约束调度算法

A deadline constrained scheduling algorithm for cloud computing system based on the driver of dynamic essential path.

机构信息

College of Computer and Technology, Harbin University of Science and Technology, Harbin, Heilongjiang, China.

College of Computer and Technology, Harbin Engineering University, Harbin, Heilongjiang, China.

出版信息

PLoS One. 2019 Mar 8;14(3):e0213234. doi: 10.1371/journal.pone.0213234. eCollection 2019.

Abstract

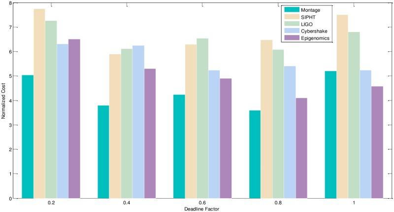
To solve the problem of the deadline-constrained task scheduling in the cloud computing system, this paper proposes a deadline-constrained scheduling algorithm for cloud computing based on the driver of dynamic essential path (Deadline-DDEP). According to the changes of the dynamic essential path of each task node in the scheduling process, the dynamic sub-deadline strategy is proposed. The strategy assigns different sub-deadline values to every task node to meet the constraint relations among task nodes and the user's defined deadline. The strategy fully considers the dynamic sub-deadline affected by the dynamic essential path of task node in the scheduling process. The paper proposed the quality assessment of optimization cost strategy to solve the problem of selecting server for each task node. Based on the sub-deadline urgency and the relative execution cost in the scheduling process, the strategy selects the server that not only meets the sub-deadline but also obtains much lower execution cost. In this way, the proposed algorithm will make the task graph complete within its deadline, and minimize its total execution cost. Finally, we demonstrate the proposed algorithm via the simulation experiments using Matlab tools. The experimental results show that, the proposed algorithm produces remarkable performance improvement rate on the total execution cost that ranges between 10.3% and 30.8% under meeting the deadline constraint. In view of the experimental results, the proposed algorithm provides better-quality scheduling solution that is suitable for scientific application task execution in the cloud computing environment than IC-PCP, DCCP and CD-PCP.

摘要

为了解决云计算系统中受限时任务调度的问题,本文提出了一种基于动态关键路径驱动的云计算截止期限调度算法(Deadline-DDEP)。根据调度过程中每个任务节点的动态关键路径的变化,提出了动态子截止期限策略。该策略为每个任务节点分配不同的子截止期限值,以满足任务节点之间的约束关系和用户定义的截止期限。该策略充分考虑了调度过程中任务节点动态关键路径对动态子截止期限的影响。本文提出了优化成本质量评估策略来解决为每个任务节点选择服务器的问题。基于调度过程中的子截止期限紧迫性和相对执行成本,该策略选择不仅满足子截止期限,而且执行成本更低的服务器。通过这种方式,所提出的算法将在截止期限内完成任务图,并最小化其总执行成本。最后,我们使用 Matlab 工具通过仿真实验验证了所提出的算法。实验结果表明,在所提出的算法在满足截止期限约束的情况下,总执行成本的性能提高率在 10.3%到 30.8%之间,具有显著的性能提升。鉴于实验结果,与 IC-PCP、DCCP 和 CD-PCP 相比,所提出的算法为云计算环境中的科学应用任务执行提供了更好质量的调度解决方案。

https://cdn.ncbi.nlm.nih.gov/pmc/blobs/56c7/6407770/fbf2fa8c01ef/pone.0213234.g001.jpg

文献检索

告别复杂PubMed语法,用中文像聊天一样搜索,搜遍4000万医学文献。AI智能推荐,让科研检索更轻松。

立即免费搜索

文件翻译

保留排版,准确专业,支持PDF/Word/PPT等文件格式,支持 12+语言互译。

免费翻译文档

深度研究

AI帮你快速写综述,25分钟生成高质量综述,智能提取关键信息,辅助科研写作。

立即免费体验