Suppr超能文献

肌肉-肌腱参数与 20 米短跑加速能力的相关性。

Correlations between muscle-tendon parameters and acceleration ability in 20 m sprints.

机构信息

Department of Neuroscience, Biomedicine and Movement Sciences, University of Verona, Verona, Italy.

出版信息

PLoS One. 2019 Mar 8;14(3):e0213347. doi: 10.1371/journal.pone.0213347. eCollection 2019.

Abstract

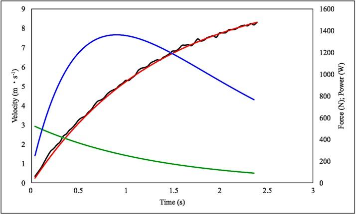
In this study we investigated the relationships between muscle-tendon parameters and average/peak values of velocity, force and power in sprint running focusing on the acceleration phase. Eighteen male sprinters (100 m PB: 10.66±0.51 s) participated to the study. Instantaneous values of horizontal velocity (v) were recorded by means of a radar and instantaneous values of force (F) and power (P) were calculated based on these data. Muscle thickness, fascicle length and pennation angle of knee extensors and plantar flexors, as well as Achilles tendon length and CSA, were measured by means of ultrasonography. In the first 20 m of the sprint average and peak speed were 6.31±0.59 and 8.88±0.98 m·s-1, respectively; force was highest at the start of the sprint (Fpeak = 10.02±1.43 N·kg-1) and power peaked about 1 s after the start (26.64±5.99 W·kg-1). Muscle-tendon parameters showed stronger correlations with peak values of power (R range: 0.81-0.92), force (R range: 0.56-0.84) and speed (R range: 0.53-0.85) than with average values of velocity over the 20 m distance (R range: 0.41-0.61) (R <0.47 = NS; R >0.71 = P < .001). These data underline that the influence of muscle tendon parameters on sprint performance could be better appreciated when peak values of power can be calculated rather than by considering the simple measure of average velocity (e.g. distance/time).

摘要

在这项研究中,我们研究了肌肉-肌腱参数与短跑中速度、力和功率的平均/峰值之间的关系,重点关注加速阶段。18 名男性短跑运动员(100 米 PB:10.66±0.51 秒)参与了这项研究。水平速度(v)的瞬时值通过雷达记录,根据这些数据计算出力(F)和功率(P)的瞬时值。通过超声测量膝关节伸肌和跖屈肌的肌肉厚度、肌束长度和肌纤维角度,以及跟腱长度和 CSA。在短跑的前 20 米,平均和峰值速度分别为 6.31±0.59 和 8.88±0.98 m·s-1;力在短跑开始时最高(Fpeak = 10.02±1.43 N·kg-1),功率在起跑后约 1 秒时达到峰值(26.64±5.99 W·kg-1)。肌肉-肌腱参数与峰值功率(R 范围:0.81-0.92)、力(R 范围:0.56-0.84)和速度(R 范围:0.53-0.85)的相关性强于与 20 米距离上平均速度的相关性(R 范围:0.41-0.61)(R <0.47 = NS;R >0.71 = P <.001)。这些数据表明,当可以计算峰值功率时,肌肉-肌腱参数对短跑性能的影响可以更好地理解,而不是通过考虑简单的平均速度(例如,距离/时间)来评估。

https://cdn.ncbi.nlm.nih.gov/pmc/blobs/e114/6407765/ff61bcc0d581/pone.0213347.g001.jpg

文献AI研究员

20分钟写一篇综述,助力文献阅读效率提升50倍。

立即体验

用中文搜PubMed

大模型驱动的PubMed中文搜索引擎

马上搜索

文档翻译

学术文献翻译模型,支持多种主流文档格式。

立即体验