Suppr超能文献

运动员专项的力矩-速度曲线和肌肌腱形态学。

Discipline-specific Torque-Velocity Profiles and Musculotendinous Morphology in Athletes.

机构信息

Institute of Sport Science and Innovations, Lithuanian Sports University, Kaunas, Lithuania.

Deparment of Coaching Science, Lithuanian Sports University, Kaunas, Lithuania.

出版信息

J Musculoskelet Neuronal Interact. 2024 Jun 1;24(2):127-138.

Abstract

OBJECTIVES

The aim of this study was to compare torque-velocity profiles, muscle architecture, tendon dimensions, and bilateral-symmetry between competitive cyclists (CY), competitive runners (RN), ice-hockey players (IH), basketball players (BP), and physically-active individuals (CN) (n=10 for each group).

METHODS

Vastus lateralis (VL) muscle and patellar tendon (PT) structures were determined with B-mode ultrasonography, and maximal knee extensor isokinetic torque was assessed at three different velocities.

RESULTS

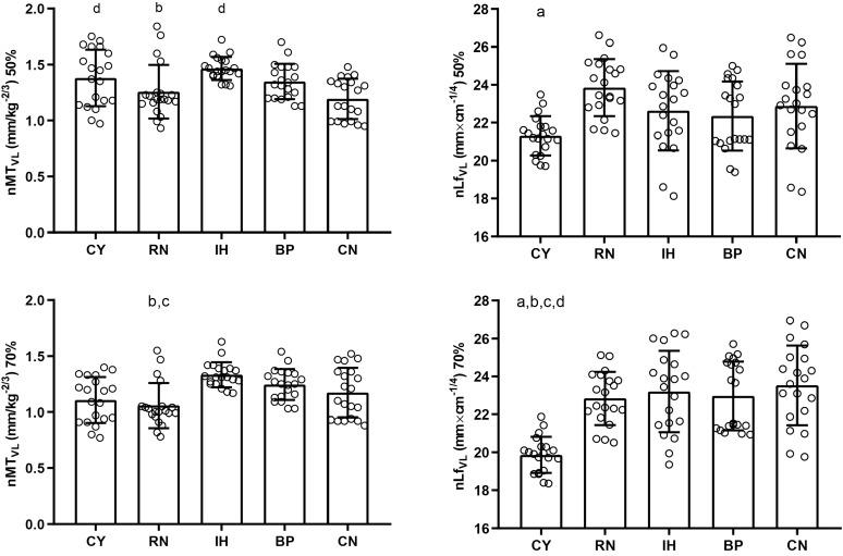
Optimal torque and velocity were lower in runners than CY, BP and IH (p<0.05). Maximal power was similar between the athlete groups but greater than CN (p<0.05). Furthermore, RN and BP reached their peak-torque at longer muscle lengths compared to IH and CY (p<0.05). RN had the lowest VL muscle thickness and the greatest fascicle length, while CY had the greatest pennation angle (p<0.05). CY had the greatest PT thickness, particularly at the proximal and medial sites, while BP at the distal point (p<0.05), with similar trends observed for PT cross-sectional-area.

CONCLUSIONS

Our findings show that even if power generating capacity is similar between athletic disciplines, there are discipline-specific muscle adaptations, where particularly runners appear to have muscles adapted for speed rather than torque development, while in cyclists, velocity is sacrificed for torque development.

摘要

目的

本研究旨在比较竞技自行车运动员(CY)、竞技跑步运动员(RN)、冰球运动员(IH)、篮球运动员(BP)和有体育活动的个体(CN)之间的扭矩-速度曲线、肌肉结构、肌腱尺寸和双侧对称性(每组 10 人)。

方法

使用 B 型超声对股外侧肌(VL)和髌腱(PT)结构进行测定,并在三个不同速度下评估最大膝关节伸肌等速扭矩。

结果

跑步者的最佳扭矩和速度低于 CY、BP 和 IH(p<0.05)。最大功率在运动员群体之间相似,但大于 CN(p<0.05)。此外,RN 和 BP 与 IH 和 CY 相比,在更长的肌肉长度上达到峰值扭矩(p<0.05)。RN 的 VL 肌肉厚度最小,束长最大,而 CY 的肌角最大(p<0.05)。CY 的 PT 厚度最大,尤其是在近端和内侧部位,而 BP 在远端部位(p<0.05),PT 横截面积也存在类似的趋势。

结论

我们的研究结果表明,即使不同运动项目的功率产生能力相似,但仍存在特定于项目的肌肉适应性,特别是跑步者的肌肉似乎适应速度而不是扭矩发展,而自行车运动员则为了扭矩发展牺牲了速度。

https://cdn.ncbi.nlm.nih.gov/pmc/blobs/17cc/11145326/7454262ffaff/JMNI-24-127-g001.jpg

文献检索

告别复杂PubMed语法,用中文像聊天一样搜索,搜遍4000万医学文献。AI智能推荐,让科研检索更轻松。

立即免费搜索

文件翻译

保留排版,准确专业,支持PDF/Word/PPT等文件格式,支持 12+语言互译。

免费翻译文档

深度研究

AI帮你快速写综述,25分钟生成高质量综述,智能提取关键信息,辅助科研写作。

立即免费体验