Suppr超能文献

弹涂鱼()中扩展的 TLR11 基因家族的旁系同源物受到正选择的影响,并对 LPS/Poly(I:C) 挑战有不同的反应。

Paralogues From the Expanded Tlr11 Gene Family in Mudskipper () Are Under Positive Selection and Respond Differently to LPS/Poly(I:C) Challenge.

机构信息

State Key Laboratory of Marine Environmental Science, College of Ocean and Earth Sciences, Xiamen University, Xiamen, China.

Faculty of Biosciences and Aquaculture, Nord University, Bodø, Norway.

出版信息

Front Immunol. 2019 Feb 28;10:343. doi: 10.3389/fimmu.2019.00343. eCollection 2019.

Abstract

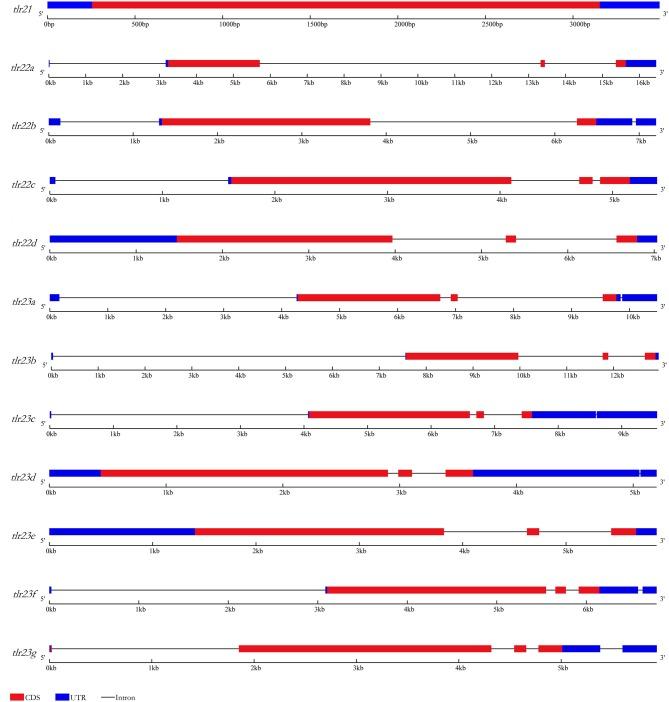
Toll-like receptors (TLRs) are major molecular pattern recognition receptors, which are essential for triggering a series of innate immune responses against invading pathogens by recognizing their evolutionary conserved molecular patterns. The mudskipper, is exceptional among fishes due to its amphibious lifestyle and adaptation to living on mudflats. The whole-genome sequencing of has revealed that this species possesses an expansion of Tlr11 family [12 Tlr11 family genes (one , 4 , and 7 )] that we focused on in the present study. The full-length cDNA sequences of the 12 in were cloned and their deduced amino acid sequences possessed a typical TLR domain arrangement. Likelihood tests of selection revealed that these 12 Tlr11 family genes are under diversifying selection. A total of 13 sites were found to be positively selected by more than one evolution model, of which 11 were located in the ligand-binding ectodomain. The observed non-synonymous substitutions may have functional implications in antigen and pathogen recognition specificity. These 12 were highly expressed in immune-related tissues, i.e. spleen and kidney. and transcripts were significantly up-regulated by LPS, whereas were significantly up-regulated by poly(I:C) in the spleen or/and kidney, which implies that the expanded Tlr11 family genes may play roles in protecting the fish from the invasion of gram-negative bacteria and double-stranded RNA viruses. The results from the present study suggested that the expansion of Tlr11 family genes in may recognize ligands from various pathogens found in the intertidal zone.

摘要

Toll 样受体 (TLRs) 是主要的模式识别受体,通过识别其进化保守的分子模式,对于触发一系列针对入侵病原体的固有免疫反应至关重要。弹涂鱼由于其两栖生活方式和适应在泥滩上生活而在鱼类中与众不同。 的全基因组测序表明,该物种拥有 TLR11 家族的扩张[12 个 TLR11 家族基因(一个 、4 个和 7 个)],我们在本研究中重点关注。 的 12 个全长 cDNA 序列被克隆,其推导的氨基酸序列具有典型的 TLR 结构域排列。选择的似然检验表明,这 12 个 TLR11 家族基因受到多样化选择。总共发现 13 个位点被超过一种进化模型选择为阳性,其中 11 个位于配体结合的胞外域。观察到的非同义替换可能对抗原和病原体识别特异性具有功能意义。这 12 个 在免疫相关组织中高度表达,即脾脏和肾脏。 和 转录物在 LPS 刺激下显著上调,而 在脾脏或/和肾脏中 poly(I:C)刺激下显著上调,这表明扩张的 TLR11 家族基因可能在保护鱼类免受革兰氏阴性细菌和双链 RNA 病毒的入侵中发挥作用。本研究的结果表明, 在 TLR11 家族基因的扩张可能识别在潮间带发现的各种病原体的配体。

https://cdn.ncbi.nlm.nih.gov/pmc/blobs/ba51/6403153/f8e3a0790ab4/fimmu-10-00343-g0001.jpg

文献AI研究员

20分钟写一篇综述,助力文献阅读效率提升50倍。

立即体验

用中文搜PubMed

大模型驱动的PubMed中文搜索引擎

马上搜索

文档翻译

学术文献翻译模型,支持多种主流文档格式。

立即体验