Suppr超能文献

溃疡性结肠炎或克罗恩病患者血液中幼稚、激活和记忆 T 及 B 细胞的不同模式。

Distinct patterns of naive, activated and memory T and B cells in blood of patients with ulcerative colitis or Crohn's disease.

机构信息

Department of Infectious Diseases, Institute of Biomedicine, Sahlgrenska Academy, University of Gothenburg, Göteborg, Sweden.

Department of Pediatrics, Institute of Clinical Science, Sahlgrenska Academy, University of Gothenburg, Göteborg, Sweden.

出版信息

Clin Exp Immunol. 2019 Jul;197(1):111-129. doi: 10.1111/cei.13294. Epub 2019 Apr 8.

Abstract

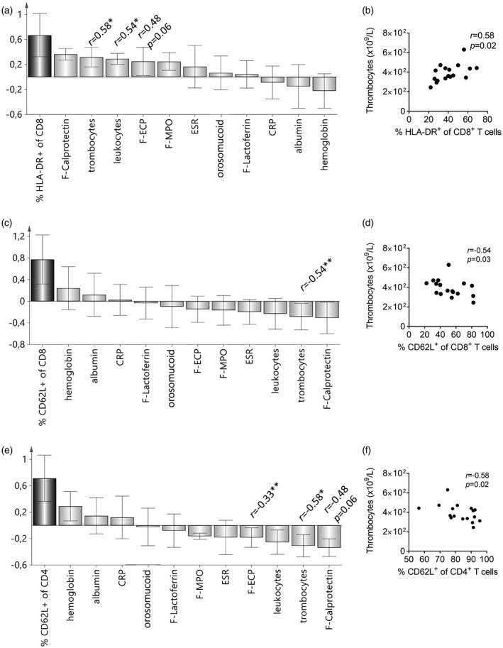
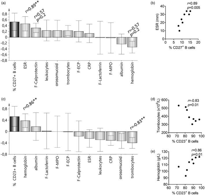
Both major subcategories of inflammatory bowel disease (IBD), ulcerative colitis and Crohn's disease are characterized by infiltration of the gut wall by inflammatory effector cells and elevated biomarkers of inflammation in blood and feces. We investigated the phenotypes of circulating lymphocytes in the two types of IBD in treatment-naive pediatric patients by analysis of blood samples by flow cytometry. Multivariate analysis was used to compare the phenotypes of the blood lymphocytes of children with ulcerative colitis (n = 17) or Crohn's disease (n = 8) and non-IBD control children with gastrointestinal symptoms, but no signs of gut inflammation (n = 23). The two IBD subcategories could be distinguished based on the results from the flow cytometry panel. Ulcerative colitis was characterized by activated T cells, primarily in the CD8 population, as judged by increased expression of human leukocyte antigen D-related (HLA-DR) and the β1-integrins [very late antigen (VLA)] and a reduced proportion of naive (CD62L ) T cells, compared with the non-IBD controls. This T cell activation correlated positively with fecal and blood biomarkers of inflammation. In contrast, the patients with Crohn's disease were characterized by a reduced proportion of B cells of the memory CD27 phenotype compared to the non-IBD controls. Both the patients with ulcerative colitis and those with Crohn's disease showed increased percentages of CD23 B cells, which we demonstrate here as being naive B cells. The results support the notion that the two major forms of IBD may partially have different pathogenic mechanisms.

摘要

两种主要的炎症性肠病(IBD)亚类,溃疡性结肠炎和克罗恩病,其特征均为炎症效应细胞浸润肠道壁以及血液和粪便中炎症生物标志物升高。我们通过流式细胞术分析血液样本,研究了未经治疗的儿科患者中这两种 IBD 类型的循环淋巴细胞表型。采用多变量分析比较溃疡性结肠炎(n=17)或克罗恩病(n=8)患儿以及有胃肠道症状但无肠道炎症迹象的非 IBD 对照患儿(n=23)的血液淋巴细胞表型。基于流式细胞术面板的结果,可以区分这两种 IBD 亚类。溃疡性结肠炎的特征是 T 细胞激活,主要表现在 CD8 群体中,这可通过 HLA-DR 和β1-整合素[迟发性抗原(VLA)]的表达增加以及幼稚(CD62L)T 细胞比例降低来判断,与非 IBD 对照相比。这种 T 细胞激活与粪便和血液炎症生物标志物呈正相关。相比之下,克罗恩病患者的记忆性 CD27 表型 B 细胞比例与非 IBD 对照组相比降低。溃疡性结肠炎和克罗恩病患者的 CD23 B 细胞比例均增加,我们在此证明其为幼稚 B 细胞。结果支持以下观点,即两种主要形式的 IBD 可能部分具有不同的发病机制。

https://cdn.ncbi.nlm.nih.gov/pmc/blobs/f5f7/6591150/6b20247b7ca9/CEI-197-111-g001.jpg

文献AI研究员

20分钟写一篇综述,助力文献阅读效率提升50倍。

立即体验

用中文搜PubMed

大模型驱动的PubMed中文搜索引擎

马上搜索

文档翻译

学术文献翻译模型,支持多种主流文档格式。

立即体验