Suppr超能文献

一种基于深度神经网络的磁流变阻尼器模型。

A Deep Neural Network Based Model for a Kind of Magnetorheological Dampers.

机构信息

Cátedra CONACyT, Instituto Politécnico Nacional, Centro de Investigación en Computación, Av. Juan de Dios Bátiz s/n, Ciudad de México 07738, Mexico.

Instituto Politécnico Nacional, Centro de Investigación en Computación, Av. Juan de Dios Bátiz s/n, Ciudad de México 07738, Mexico.

出版信息

Sensors (Basel). 2019 Mar 17;19(6):1333. doi: 10.3390/s19061333.

Abstract

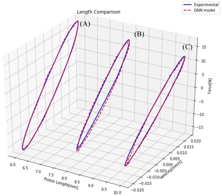
In this paper, a deep neural network based model for a set of small-scale magnetorheological dampers (MRD) is developed where relevant parameters that have a physical meaning are inputs to the model. An experimental platform and a 3D-printing rapid prototyping facility provided a set of different conditions including MRD filled with two different MR fluids, which were used to train a Deep Neural Network (DNN), which is the core of the proposed model. Testing results indicate the model could forecast the hysteretic response of magnetorheological dampers for different load conditions and various physical configurations.

摘要

本文提出了一种基于深度神经网络的小型磁流变阻尼器(MRD)模型,其中具有物理意义的相关参数作为模型的输入。一个实验平台和一个 3D 打印快速成型设施提供了一组不同的条件,包括填充两种不同磁流变液的 MRD,这些条件用于训练深度神经网络(DNN),这是所提出模型的核心。测试结果表明,该模型可以预测不同负载条件和各种物理配置下磁流变阻尼器的滞后响应。

https://cdn.ncbi.nlm.nih.gov/pmc/blobs/d634/6470691/1bc9cc6ea5ae/sensors-19-01333-g001.jpg

文献AI研究员

20分钟写一篇综述,助力文献阅读效率提升50倍。

立即体验

用中文搜PubMed

大模型驱动的PubMed中文搜索引擎

马上搜索

文档翻译

学术文献翻译模型,支持多种主流文档格式。

立即体验