Department of Physical Chemistry, Faculty of Chemistry, University of Murcia, Murcia, Spain.
Department of Computer Science, University of Illinois at Urbana-Champaign, Urbana, IL, United States.
Front Immunol. 2019 Mar 4;10:349. doi: 10.3389/fimmu.2019.00349. eCollection 2019.
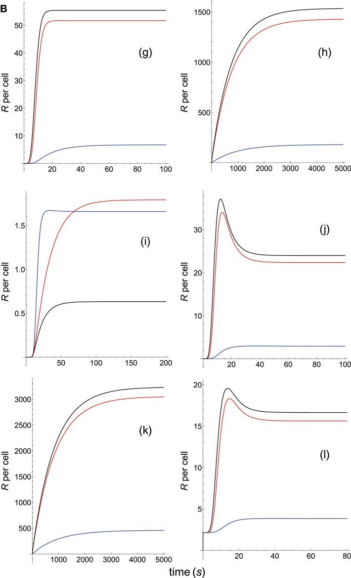
On the T-cell surface the TCR is the only molecule that senses antigen, and the engagement of TCR with its specific antigenic peptide (agonist)/MHC complex (pMHC) is determined by the biochemical parameters of the TCR-pMHC interaction. This interaction is the keystone of the adaptive immune response by triggering intracellular signaling pathways that induce the expression of genes required for T cell-mediated effector functions, such as T cell proliferation, cytokine secretion and cytotoxicity. To study the TCR-pMHC interaction one of its properties most extensively analyzed has been TCR-pMHC affinity. However, and despite of intensive experimental research, the results obtained are far from conclusive. Here, to determine if TCR-pMHC affinity is a reliable parameter to characterize T-cell responses, a systematic study has been performed based on the predictions of 12 phenotypic models. This approach has the advantage that allow us to study the response of a given system as a function of only those parameters in which we are interested while other system parameters remain constant. A little surprising, only the simple occupancy model predicts a direct relationship between affinity and response so that an increase in affinity always leads to larger responses. Conversely, in the others more elaborate models this clear situation does not occur, i.e., that a general positive correlation between affinity and immune response does not exist. This is mainly because affinity values are given by the quotient / where and are the rate constants of the binding process (i.e., affinity is in fact the quotient of two parameters), so that different sets of these rate constants can give the same value of affinity. However, except in the occupancy model, the predicted T-cell responses depend on the individual values of and rather than on their quotient /. This allows: a) that systems with the same affinity can show quite different responses; and b) that systems with low affinity may exhibit larger responses than systems with higher affinities. This would make affinity a poor estimate of T-cell responses and, as a result, data correlations between affinity and immune response should be interpreted and used with caution.
T 细胞表面的 TCR 是唯一能识别抗原的分子,TCR 与特定抗原肽(激动剂)/MHC 复合物(pMHC)的结合由 TCR-pMHC 相互作用的生化参数决定。这种相互作用是触发细胞内信号通路的关键,这些信号通路诱导 T 细胞介导的效应功能所需基因的表达,如 T 细胞增殖、细胞因子分泌和细胞毒性。为了研究 TCR-pMHC 相互作用,其性质之一被广泛分析的是 TCR-pMHC 亲和力。然而,尽管进行了密集的实验研究,但得到的结果远非结论性的。在这里,为了确定 TCR-pMHC 亲和力是否是一个可靠的参数来表征 T 细胞反应,我们基于 12 种表型模型的预测进行了系统研究。这种方法的优点是,允许我们仅在感兴趣的参数的基础上研究给定系统的响应,而其他系统参数保持不变。令人惊讶的是,只有简单的占据模型预测亲和力与响应之间存在直接关系,即亲和力的增加总是导致更大的响应。相反,在其他更精细的模型中,这种明确的情况不会发生,即亲和力与免疫反应之间不存在一般的正相关关系。这主要是因为亲和力值是由结合过程的速率常数(即亲和力实际上是两个参数的商)的商给出的,因此,这些速率常数的不同组合可以给出相同的亲和力值。然而,除了占据模型外,预测的 T 细胞反应取决于和的个体值,而不是它们的商/。这使得:a)具有相同亲和力的系统可以表现出相当不同的反应;b)具有低亲和力的系统可能表现出比具有更高亲和力的系统更大的反应。这将使亲和力成为 T 细胞反应的一个不佳估计,因此,亲和力与免疫反应之间的数据相关性应该谨慎解释和使用。