• 文献检索
  • 文档翻译
  • 深度研究
  • 学术资讯
  • Suppr Zotero 插件Zotero 插件
  • 邀请有礼
  • 套餐&价格
  • 历史记录
应用&插件
Suppr Zotero 插件Zotero 插件浏览器插件Mac 客户端Windows 客户端微信小程序
定价
高级版会员购买积分包购买API积分包
服务
文献检索文档翻译深度研究API 文档MCP 服务
关于我们
关于 Suppr公司介绍联系我们用户协议隐私条款
关注我们

Suppr 超能文献

核心技术专利:CN118964589B侵权必究
粤ICP备2023148730 号-1Suppr @ 2026

文献检索

告别复杂PubMed语法,用中文像聊天一样搜索,搜遍4000万医学文献。AI智能推荐,让科研检索更轻松。

立即免费搜索

文件翻译

保留排版,准确专业,支持PDF/Word/PPT等文件格式,支持 12+语言互译。

免费翻译文档

深度研究

AI帮你快速写综述,25分钟生成高质量综述,智能提取关键信息,辅助科研写作。

立即免费体验

缺陷氧化石墨烯的热导率:分子动力学研究。

Thermal Conductivity of Defective Graphene Oxide: A Molecular Dynamic Study.

机构信息

College of Water Resources and Architectural Engineering, Northwest A&F University, Yangling 712100, China.

State Key Laboratory of Eco-hydraulics in Northwest Arid Region of China, Xi'an University of Technology, Xi'an 710048, China.

出版信息

Molecules. 2019 Mar 20;24(6):1103. doi: 10.3390/molecules24061103.

DOI:10.3390/molecules24061103
PMID:30897783
原文链接:https://pmc.ncbi.nlm.nih.gov/articles/PMC6470912/
Abstract

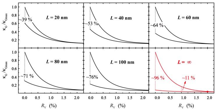
In this paper, the thermal properties of graphene oxide (GO) with vacancy defects were studied using a non-equilibrium molecular dynamics method. The results showed that the thermal conductivity of GO increases with the model length. A linear relationship of the inverse length and inverse thermal conductivity was observed. The thermal conductivity of GO decreased monotonically with an increase in the degree of oxidation. When the degree of oxidation was 10%, the thermal conductivity of GO decreased by ~90% and this was almost independent of chiral direction. The effect of vacancy defect on the thermal conductivity of GO was also considered. The size effect of thermal conductivity gradually decreases with increasing defect concentration. When the vacancy defect ratio was beyond 2%, the thermal conductivity did not show significant change with the degree of oxidation. The effect of vacancy defect on thermal conductivity is greater than that of oxide group concentration. Our results can provide effective guidance for the designed GO microstructures in thermal management and thermoelectric applications.

摘要

本文采用非平衡分子动力学方法研究了具有空位缺陷的氧化石墨烯(GO)的热性能。结果表明,GO 的热导率随模型长度的增加而增加。观察到长度倒数和热导率倒数的线性关系。GO 的热导率随氧化程度的增加单调下降。当氧化程度为 10%时,GO 的热导率下降了约 90%,且几乎与手性方向无关。还考虑了空位缺陷对 GO 热导率的影响。热导率的尺寸效应随缺陷浓度的增加逐渐减小。当空位缺陷比超过 2%时,热导率随氧化程度的变化不再明显。空位缺陷对热导率的影响大于氧化基团浓度的影响。我们的研究结果可为热管理和热电应用中设计的 GO 微结构提供有效的指导。

https://cdn.ncbi.nlm.nih.gov/pmc/blobs/c5b0/6470912/695608ca731c/molecules-24-01103-g008.jpg
https://cdn.ncbi.nlm.nih.gov/pmc/blobs/c5b0/6470912/d47ab44fbc42/molecules-24-01103-g002.jpg
https://cdn.ncbi.nlm.nih.gov/pmc/blobs/c5b0/6470912/42cda7677c59/molecules-24-01103-g004.jpg
https://cdn.ncbi.nlm.nih.gov/pmc/blobs/c5b0/6470912/2a8285869131/molecules-24-01103-g005.jpg
https://cdn.ncbi.nlm.nih.gov/pmc/blobs/c5b0/6470912/117c66095a27/molecules-24-01103-g007.jpg
https://cdn.ncbi.nlm.nih.gov/pmc/blobs/c5b0/6470912/695608ca731c/molecules-24-01103-g008.jpg
https://cdn.ncbi.nlm.nih.gov/pmc/blobs/c5b0/6470912/d47ab44fbc42/molecules-24-01103-g002.jpg
https://cdn.ncbi.nlm.nih.gov/pmc/blobs/c5b0/6470912/42cda7677c59/molecules-24-01103-g004.jpg
https://cdn.ncbi.nlm.nih.gov/pmc/blobs/c5b0/6470912/2a8285869131/molecules-24-01103-g005.jpg
https://cdn.ncbi.nlm.nih.gov/pmc/blobs/c5b0/6470912/117c66095a27/molecules-24-01103-g007.jpg
https://cdn.ncbi.nlm.nih.gov/pmc/blobs/c5b0/6470912/695608ca731c/molecules-24-01103-g008.jpg

相似文献

1
Thermal Conductivity of Defective Graphene Oxide: A Molecular Dynamic Study.缺陷氧化石墨烯的热导率:分子动力学研究。
Molecules. 2019 Mar 20;24(6):1103. doi: 10.3390/molecules24061103.
2
Thermal Transport in Graphene Oxide Films: Theoretical Analysis and Molecular Dynamics Simulation.氧化石墨烯薄膜中的热输运:理论分析与分子动力学模拟
Nanomaterials (Basel). 2020 Feb 7;10(2):285. doi: 10.3390/nano10020285.
3
Thermal Transport of Graphene Sheets with Fractal Defects.具有分形缺陷的石墨烯片的热输运。
Molecules. 2018 Dec 12;23(12):3294. doi: 10.3390/molecules23123294.
4
Multiscale modeling of thermal conductivity of polycrystalline graphene sheets.多晶石墨烯片热导率的多尺度建模。
Nanoscale. 2014 Mar 21;6(6):3344-52. doi: 10.1039/c3nr06388g. Epub 2014 Feb 12.
5
Wetting Properties of Defective Graphene Oxide: A Molecular Simulation Study.缺陷氧化石墨烯的润湿性:分子模拟研究。
Molecules. 2018 Jun 13;23(6):1439. doi: 10.3390/molecules23061439.
6
Comparing the effects of dispersed Stone-Thrower-Wales defects and double vacancies on the thermal conductivity of graphene nanoribbons.比较离散投石威尔士缺陷和双空位对石墨烯纳米带热导率的影响。
Nanotechnology. 2012 Sep 28;23(38):385702. doi: 10.1088/0957-4484/23/38/385702. Epub 2012 Sep 4.
7
Thermal conductivity and heat transport properties of nitrogen-doped graphene.氮掺杂石墨烯的热导率和热输运性质
J Mol Graph Model. 2015 Nov;62:74-80. doi: 10.1016/j.jmgm.2015.09.008. Epub 2015 Sep 11.
8
Thermal conductivity of defective graphene: an efficient molecular dynamics study based on graphics processing units.缺陷石墨烯的热导率:基于图形处理器的高效分子动力学研究
Nanotechnology. 2020 May 22;31(21):215708. doi: 10.1088/1361-6528/ab73bc. Epub 2020 Feb 7.
9
Suppressing thermal conductivity of suspended tri-layer graphene by gold deposition.通过金沉积抑制悬浮三层石墨烯的热导率。
Adv Mater. 2013 Dec 17;25(47):6884-8. doi: 10.1002/adma.201303362. Epub 2013 Sep 18.
10
Thermal transport in functionalized graphene.功能化石墨烯中的热传递。
ACS Nano. 2012 Oct 23;6(10):9050-7. doi: 10.1021/nn3031595. Epub 2012 Sep 20.

引用本文的文献

1
Graphene-Based Nanomaterials in Photodynamic Therapy: Synthesis Strategies, Functional Roles, and Clinical Translation for Tumor Treatment.基于石墨烯的纳米材料在光动力疗法中的应用:肿瘤治疗的合成策略、功能作用及临床转化
Int J Nanomedicine. 2025 Jun 27;20:8359-8392. doi: 10.2147/IJN.S516606. eCollection 2025.
2
Synergic anti-tumor effects of photodynamic therapy and resveratrol on triple-negative breast cancer cells.光动力疗法与白藜芦醇对三阴性乳腺癌细胞的协同抗肿瘤作用。
Photochem Photobiol Sci. 2025 Mar;24(3):451-465. doi: 10.1007/s43630-025-00698-8. Epub 2025 Mar 17.
3
A Novel Concept of Nano-Enhanced Phase Change Material.

本文引用的文献

1
Thermal Percolation Threshold and Thermal Properties of Composites with High Loading of Graphene and Boron Nitride Fillers.高填充量石墨烯和氮化硼填料复合材料的热渗流阈值和热性能。
ACS Appl Mater Interfaces. 2018 Oct 31;10(43):37555-37565. doi: 10.1021/acsami.8b16616. Epub 2018 Oct 22.
2
Thermal expansion producing easier formation of a black phosphorus nanotube from nanoribbon on carbon nanotube.热膨胀使得在碳纳米管上更容易由纳米带形成黑磷纳米管。
Nanotechnology. 2018 Feb 2;29(5):055603. doi: 10.1088/1361-6528/aaa053.
3
Phonons and thermal transport in graphene and graphene-based materials.
纳米增强相变材料的新概念
Materials (Basel). 2024 Aug 29;17(17):4268. doi: 10.3390/ma17174268.
4
Carbon Nanomaterial Fluorescent Probes and Their Biological Applications.碳纳米材料荧光探针及其生物应用。
Chem Rev. 2024 Mar 27;124(6):3085-3185. doi: 10.1021/acs.chemrev.3c00581. Epub 2024 Mar 13.
5
Graphene Oxide Nanoparticles and Organoids: A Prospective Advanced Model for Pancreatic Cancer Research.氧化石墨烯纳米粒子和类器官:胰腺癌研究的一种有前景的先进模型。
Int J Mol Sci. 2024 Jan 15;25(2):1066. doi: 10.3390/ijms25021066.
6
Universal Approach to Integrating Reduced Graphene Oxide into Polymer Electronics.将还原氧化石墨烯集成到聚合物电子器件中的通用方法。
Polymers (Basel). 2023 Dec 5;15(24):4622. doi: 10.3390/polym15244622.
7
Improving Thermal Conductivity and Tribological Performance of Polyimide by Filling Cu, CNT, and Graphene.通过填充铜、碳纳米管和石墨烯提高聚酰亚胺的热导率和摩擦学性能
Micromachines (Basel). 2023 Mar 7;14(3):616. doi: 10.3390/mi14030616.
8
Assessment of antioxidant and cytotoxicity activities against A-549 lung cancer cell line by synthesized reduced graphene oxide nanoparticles mediated by .通过合成的由……介导的还原氧化石墨烯纳米颗粒对A-549肺癌细胞系的抗氧化和细胞毒性活性评估 。 你提供的原文中“mediated by.”后面内容不完整,可能会影响更准确的理解和翻译。
3 Biotech. 2021 Dec;11(12):494. doi: 10.1007/s13205-021-03015-z. Epub 2021 Nov 15.
9
Thermal Transport in Graphene Oxide Films: Theoretical Analysis and Molecular Dynamics Simulation.氧化石墨烯薄膜中的热输运:理论分析与分子动力学模拟
Nanomaterials (Basel). 2020 Feb 7;10(2):285. doi: 10.3390/nano10020285.
石墨烯和基于石墨烯的材料中的声子和热输运。
Rep Prog Phys. 2017 Mar;80(3):036502. doi: 10.1088/1361-6633/80/3/036502. Epub 2017 Jan 20.
4
Thermal conductivity of graphene with defects induced by electron beam irradiation.电子束辐照诱导缺陷的石墨烯热导率。
Nanoscale. 2016 Aug 14;8(30):14608-16. doi: 10.1039/c6nr03470e. Epub 2016 Jul 19.
5
Thermal conductivities of single- and multi-layer phosphorene: a molecular dynamics study.单层和多层磷烯的热导率:分子动力学研究。
Nanoscale. 2016 Jan 7;8(1):483-91. doi: 10.1039/c5nr05451f.
6
Defect-Engineered Heat Transport in Graphene: A Route to High Efficient Thermal Rectification.石墨烯中缺陷工程化的热输运:实现高效热整流的途径
Sci Rep. 2015 Jul 1;5:11962. doi: 10.1038/srep11962.
7
Wetting of graphene oxide: a molecular dynamics study.氧化石墨烯的润湿性:一项分子动力学研究。
Langmuir. 2014 Apr 1;30(12):3572-8. doi: 10.1021/la500513x. Epub 2014 Mar 20.
8
Thermal transport in graphene oxide--from ballistic extreme to amorphous limit.氧化石墨烯中的热输运:从弹道极限到非晶极限。
Sci Rep. 2014 Jan 28;4:3909. doi: 10.1038/srep03909.
9
Graphene and graphene oxide: synthesis, properties, and applications.石墨烯和氧化石墨烯:合成、性质与应用。
Adv Mater. 2010 Sep 15;22(35):3906-24. doi: 10.1002/adma.201001068.
10
Hydrogen bond networks in graphene oxide composite paper: structure and mechanical properties.氧化石墨烯复合纸中的氢键网络:结构与力学性能。
ACS Nano. 2010 Apr 27;4(4):2300-6. doi: 10.1021/nn901934u.