College of Water Resources and Architectural Engineering, Northwest A&F University, Yangling 712100, China.
Molecules. 2018 Dec 12;23(12):3294. doi: 10.3390/molecules23123294.
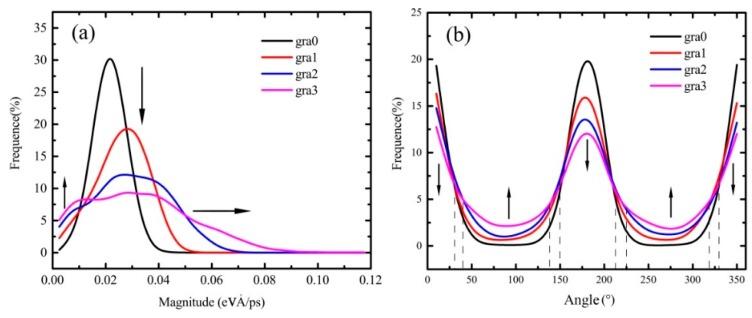
Graphene combined with fractal structures would probably be a promising candidate design of an antenna for a wireless communication system. However, the thermal transport properties of fractal graphene, which would influence the properties of wireless communication systems, are unclear. In this paper, the thermal transport properties of graphene with a Sierpinski fractal structure were investigated via the reverse non-equilibrium molecular dynamics simulation method. Simulation results indicated that the thermal conductivity of graphene with fractal defects decreased from 157.62 to 19.60 (W m K) as the fractal level increased. Furthermore, visual display and statistical results of fractal graphene atomic heat flux revealed that with fractal levels increasing, the real heat flux paths twisted, and the angle distributions of atomic heat flux vectors enlarged from about (-30°, 30°) to about (-45°, 45°). In fact, the fractal structures decreased the real heat flow areas and extended the real heat flux paths, and enhanced the phonon scattering in the defect edges of the fractal graphene. Analyses of fractal graphene thermal transport characters in our work indicated that the heat transfer properties of fractal graphene dropped greatly as fractal levels increased, which would provide effective guidance to the design of antennae based on fractal graphene.
具有分形结构的石墨烯可能是无线通信系统天线的有前途的候选设计。然而,分形石墨烯的热传输性质会影响无线通信系统的性能,但其性质尚不清楚。本文通过反向非平衡分子动力学模拟方法研究了具有分形结构的石墨烯的热输运性质。模拟结果表明,随着分形阶数的增加,具有分形缺陷的石墨烯的热导率从 157.62 降低到 19.60(W m K)。此外,分形石墨烯原子热流的可视化显示和统计结果表明,随着分形阶数的增加,真实热流路径发生扭曲,原子热流矢量的角度分布从大约(-30°,30°)扩大到大约(-45°,45°)。实际上,分形结构减少了真实热流区域并延长了真实热流路径,增强了分形石墨烯缺陷边缘的声子散射。我们对分形石墨烯热输运特性的分析表明,随着分形阶数的增加,分形石墨烯的热传递性能大大降低,这将为基于分形石墨烯的天线设计提供有效的指导。