Suppr超能文献

基于BATMAN-TCM在线生物信息学分析工具及实验验证的外用中药配方对乳腺导管上皮不典型增生的治疗效果

Therapeutic Efficiency of an External Chinese Herbal Formula of Mammary Precancerous Lesions by BATMAN-TCM Online Bioinformatics Analysis Tool and Experimental Validation.

作者信息

Zhang Guijuan, Jiang Xuefeng, Liu Yusheng, Hao Xiaoqian, Wang Yurong, Yan Xianxin, Yuan Naijun, Ma Yi, Ma Min

机构信息

The First Affiliated Hospital of Jinan University, Guangzhou, Guangdong 510630, China.

College of Traditional Chinese Medicine of Jinan University, Guangzhou, Guangdong 510632, China.

出版信息

Evid Based Complement Alternat Med. 2019 Feb 17;2019:2795010. doi: 10.1155/2019/2795010. eCollection 2019.

Abstract

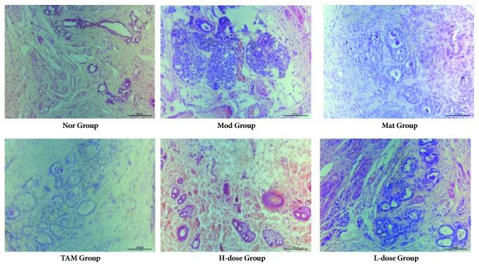
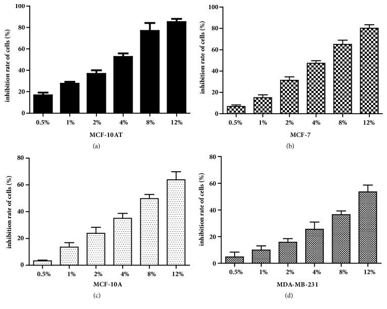
Ruyan Neixiao Cream (RYNXC), a patented Chinese herbal formula, was reported to have the effect of treating mammary precancerous disease. In this study, we predicted the potential targets, pathways, and diseases of the ingredients contained in each herbal of RYNXC and constructed an ingredients-targets-diseases network. Then, we analyzed molecular mechanisms of this Chinese herbal formula by MCF-10AT cells and model rats of breast precancerous lesions. BATMAN-TCM prediction showed that ESR1, PGR, PTGS2, EGFR, and Src were mRNA targets of RYNXC. Our results suggested that RYNXC transdermal fluid downregulated ESR1, PGR, PTGS2, EGFR, and Src expression at gene and protein level in MCF-10AT cells. In the rat breast precancerous lesions model, high and low dose RYNXC could also significantly reduce genes and proteins expression of ESR1, PGR, PTGS2, EGFR, and Src. Taken together these data indicate that RYNXC targets multiple molecules responsible for breast precancerous lesion and is an effective Chinese herbal formula. So RYNXC may be a promising external drug for breast precancerous lesions.

摘要

乳炎内消乳膏(RYNXC)是一种获得专利的中药配方,据报道具有治疗乳腺疾病癌前病变的作用。在本研究中,我们预测了RYNXC中每种草药所含成分的潜在靶点、通路和疾病,并构建了成分-靶点-疾病网络。然后,我们通过MCF-10AT细胞和乳腺疾病癌前病变模型大鼠分析了这种中药配方的分子机制。中药系统药理学数据库与分析平台(BATMAN-TCM)预测显示,雌激素受体1(ESR1)、孕激素受体(PGR)、环氧化酶-2(PTGS2)、表皮生长因子受体(EGFR)和原癌基因酪氨酸蛋白激酶(Src)是RYNXC的mRNA靶点。我们的结果表明,RYNXC透皮液在基因和蛋白质水平下调了MCF-10AT细胞中ESR1、PGR、PTGS2、EGFR和Src的表达。在大鼠乳腺疾病癌前病变模型中,高剂量和低剂量的RYNXC也能显著降低ESR1、PGR、PTGS2、EGFR和Src的基因和蛋白质表达。综上所述,这些数据表明RYNXC靶向多种与乳腺疾病癌前病变相关的分子,是一种有效的中药配方。因此,RYNXC可能是一种有前景的用于乳腺疾病癌前病变的外用药物。

https://cdn.ncbi.nlm.nih.gov/pmc/blobs/53d2/6398062/2ba98eb10062/ECAM2019-2795010.001.jpg

文献AI研究员

20分钟写一篇综述,助力文献阅读效率提升50倍。

立即体验

用中文搜PubMed

大模型驱动的PubMed中文搜索引擎

马上搜索

文档翻译

学术文献翻译模型,支持多种主流文档格式。

立即体验