Suppr超能文献

与碳循环相关的生态系统服务——模拟北方森林当前和未来的影响

Ecosystem Services Related to Carbon Cycling - Modeling Present and Future Impacts in Boreal Forests.

作者信息

Holmberg Maria, Aalto Tuula, Akujärvi Anu, Arslan Ali Nadir, Bergström Irina, Böttcher Kristin, Lahtinen Ismo, Mäkelä Annikki, Markkanen Tiina, Minunno Francesco, Peltoniemi Mikko, Rankinen Katri, Vihervaara Petteri, Forsius Martin

机构信息

Finnish Environment Institute (SYKE), Helsinki, Finland.

Finnish Meteorological Institute (FMI), Helsinki, Finland.

出版信息

Front Plant Sci. 2019 Mar 26;10:343. doi: 10.3389/fpls.2019.00343. eCollection 2019.

Abstract

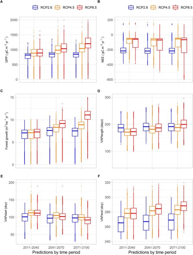
Forests regulate climate, as carbon, water and nutrient fluxes are modified by physiological processes of vegetation and soil. Forests also provide renewable raw material, food, and recreational possibilities. Rapid climate warming projected for the boreal zone may change the provision of these ecosystem services. We demonstrate model based estimates of present and future ecosystem services related to carbon cycling of boreal forests. The services were derived from biophysical variables calculated by two dynamic models. Future changes in the biophysical variables were driven by climate change scenarios obtained as results of a sample of global climate models downscaled for Finland, assuming three future pathways of radiative forcing. We introduce continuous monitoring on phenology to be used in model parametrization through a webcam network with automated image processing features. In our analysis, climate change impacts on key boreal forest ecosystem services are both beneficial and detrimental. Our results indicate an increase in annual forest growth of about 60% and an increase in annual carbon sink of roughly 40% from the reference period (1981-2010) to the end of the century. The vegetation active period was projected to start about 3 weeks earlier and end ten days later by the end of the century compared to currently. We found a risk for increasing drought, and a decrease in the number of soil frost days. Our results show a considerable uncertainty in future provision of boreal forest ecosystem services.

摘要

森林调节气候,因为植被和土壤的生理过程会改变碳、水和养分通量。森林还提供可再生原材料、食物和娱乐机会。预计北方地区气候将迅速变暖,这可能会改变这些生态系统服务的供应情况。我们展示了基于模型对北方森林碳循环相关的当前和未来生态系统服务的估计。这些服务源自两个动态模型计算出的生物物理变量。生物物理变量的未来变化是由气候变化情景驱动的,这些情景是通过对芬兰进行降尺度处理的全球气候模型样本得出的,假设了三种未来辐射强迫路径。我们引入了通过具有自动图像处理功能的网络摄像头网络对物候进行连续监测,以用于模型参数化。在我们的分析中,气候变化对北方森林关键生态系统服务的影响既有有益的一面,也有不利的一面。我们的结果表明,从参考期(1981 - 2010年)到本世纪末,森林年生长量将增加约60%,年碳汇将增加约40%。预计到本世纪末,植被活跃期将比目前提前约3周开始,结束时间推迟10天。我们发现干旱加剧和土壤霜冻天数减少的风险。我们的结果表明,未来北方森林生态系统服务的供应存在相当大的不确定性。

https://cdn.ncbi.nlm.nih.gov/pmc/blobs/3831/6443878/e8e3c44f1e6e/fpls-10-00343-g001.jpg

文献AI研究员

20分钟写一篇综述,助力文献阅读效率提升50倍。

立即体验

用中文搜PubMed

大模型驱动的PubMed中文搜索引擎

马上搜索

文档翻译

学术文献翻译模型,支持多种主流文档格式。

立即体验