• 文献检索
  • 文档翻译
  • 深度研究
  • 学术资讯
  • Suppr Zotero 插件Zotero 插件
  • 邀请有礼
  • 套餐&价格
  • 历史记录
应用&插件
Suppr Zotero 插件Zotero 插件浏览器插件Mac 客户端Windows 客户端微信小程序
定价
高级版会员购买积分包购买API积分包
服务
文献检索文档翻译深度研究API 文档MCP 服务
关于我们
关于 Suppr公司介绍联系我们用户协议隐私条款
关注我们

Suppr 超能文献

核心技术专利:CN118964589B侵权必究
粤ICP备2023148730 号-1Suppr @ 2026

文献检索

告别复杂PubMed语法,用中文像聊天一样搜索,搜遍4000万医学文献。AI智能推荐,让科研检索更轻松。

立即免费搜索

文件翻译

保留排版,准确专业,支持PDF/Word/PPT等文件格式,支持 12+语言互译。

免费翻译文档

深度研究

AI帮你快速写综述,25分钟生成高质量综述,智能提取关键信息,辅助科研写作。

立即免费体验

纳米流液相色谱串联质谱分析干燥血斑卡中乙二醛和甲基乙二醛修饰血红蛋白的稳定性。

Stability of glyoxal- and methylglyoxal-modified hemoglobin on dried blood spot cards as analyzed by nanoflow liquid chromatography tandem mass spectrometry.

机构信息

Department of Chemistry and Biochemistry, National Chung Cheng University, 168 University Road, Ming-Hsiung, Chia-Yi 62142, Taiwan.

出版信息

J Food Drug Anal. 2019 Apr;27(2):526-530. doi: 10.1016/j.jfda.2018.10.003. Epub 2018 Oct 27.

DOI:10.1016/j.jfda.2018.10.003
PMID:30987724
原文链接:https://pmc.ncbi.nlm.nih.gov/articles/PMC9296192/
Abstract

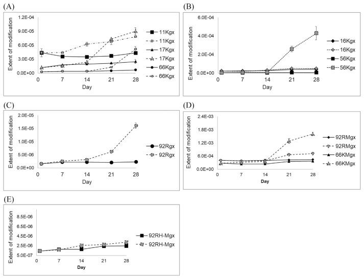
Blood sampling by the dried blood spot (DBS) technique has become commonly applied in newborn screening. It is often used for analysis of small molecules, such as metabolites. Recently, DBS sampling has been applied for quantification of post-translational protein modifications. Glyoxal and methylglyoxal are two simple oxoaldehydes released from glycated proteins in the Maillard reaction. They are widely distributed in the environment (e.g. cigarette smoke) and found in foods and beverages. Glyoxal and methylglyoxal are shown to react with biomolecules including DNA and proteins. In this laboratory, we previously identified the sites of modification by these two oxoaldehydes in human hemoglobin and found that the extents of modification at certain sites of lysine and arginine residues are significantly higher in type 2 diabetes mellitus patients than in nondiabetic individuals. In this study, we examine the stability of these modifications of hemoglobin stored on DBS cards at room temperature or 4 °C in the ambient air. After hemoglobin was extracted from the DBS cards, it was digested by trypsin and analyzed by nanoflow liquid chromatography coupled with nanospray ionization tandem mass spectrometry. The results show that the extents of all these PTMs are stable within 14 and 21 days when stored on DBS at room temperature and at 4 °C, respectively. Extraction of globin from DBS cards is mostly advantageous for hemolytic blood samples. This assay is sensitive as only a quarter of a DBS card containing ca. 12 μL of blood is required. Thus, it is practically useful to measure the extents of glyoxal- and methylglyoxal-induced hemoglobin modifications from DBS cards.

摘要

干血斑(DBS)技术采血已广泛应用于新生儿筛查。它通常用于分析小分子,如代谢物。最近,DBS 采样已应用于翻译后蛋白质修饰的定量分析。乙二醛和甲基乙二醛是美拉德反应中糖化蛋白质释放的两种简单的氧代醛。它们广泛分布于环境(如香烟烟雾)中,并存在于食品和饮料中。乙二醛和甲基乙二醛与包括 DNA 和蛋白质在内的生物分子反应。在本实验室中,我们先前在人血红蛋白中鉴定了这两种氧代醛修饰的位点,并发现某些赖氨酸和精氨酸残基位点的修饰程度在 2 型糖尿病患者中明显高于非糖尿病个体。在这项研究中,我们检查了在室温或 4°C 下在环境空气中保存在 DBS 卡上的血红蛋白修饰的稳定性。从 DBS 卡中提取血红蛋白后,用胰蛋白酶消化,并用纳流液相色谱与纳喷雾电离串联质谱分析。结果表明,在室温下保存在 DBS 卡上时,所有这些 PTM 的程度在 14 天和 21 天内稳定,在 4°C 下保存在 DBS 卡上时,在 14 天和 21 天内稳定。从 DBS 卡中提取球蛋白对溶血血样大多有利。该测定法灵敏,因为仅需四分之一的 DBS 卡(含约 12μL 的血液)即可。因此,从 DBS 卡测量乙二醛和甲基乙二醛诱导的血红蛋白修饰的程度实际上是有用的。

https://cdn.ncbi.nlm.nih.gov/pmc/blobs/d7d2/9296192/a88f8230d7df/jfda-27-02-526f1.jpg
https://cdn.ncbi.nlm.nih.gov/pmc/blobs/d7d2/9296192/a88f8230d7df/jfda-27-02-526f1.jpg
https://cdn.ncbi.nlm.nih.gov/pmc/blobs/d7d2/9296192/a88f8230d7df/jfda-27-02-526f1.jpg

相似文献

1
Stability of glyoxal- and methylglyoxal-modified hemoglobin on dried blood spot cards as analyzed by nanoflow liquid chromatography tandem mass spectrometry.纳米流液相色谱串联质谱分析干燥血斑卡中乙二醛和甲基乙二醛修饰血红蛋白的稳定性。
J Food Drug Anal. 2019 Apr;27(2):526-530. doi: 10.1016/j.jfda.2018.10.003. Epub 2018 Oct 27.
2
Stability and Application of Reactive Nitrogen and Oxygen Species-Induced Hemoglobin Modifications in Dry Blood Spots As Analyzed by Liquid Chromatography Tandem Mass Spectrometry.液相色谱串联质谱法分析干血斑中活性氮和氧物种诱导的血红蛋白修饰的稳定性及应用
Chem Res Toxicol. 2016 Dec 19;29(12):2157-2163. doi: 10.1021/acs.chemrestox.6b00334. Epub 2016 Nov 21.
3
Mass Spectrometric Analysis of Glyoxal and Methylglyoxal-Induced Modifications in Human Hemoglobin from Poorly Controlled Type 2 Diabetes Mellitus Patients.对来自2型糖尿病控制不佳患者的人血红蛋白中乙二醛和甲基乙二醛诱导修饰的质谱分析。
Chem Res Toxicol. 2015 Dec 21;28(12):2377-89. doi: 10.1021/acs.chemrestox.5b00380. Epub 2015 Nov 10.
4
Correlation between Glyoxal-Induced DNA Cross-Links and Hemoglobin Modifications in Human Blood Measured by Mass Spectrometry.基于质谱检测的人血液中乙二醛诱导的 DNA 交联物与血红蛋白修饰物的相关性研究。
Chem Res Toxicol. 2019 Jan 22;32(1):179-189. doi: 10.1021/acs.chemrestox.8b00264. Epub 2018 Dec 18.
5
Age-Associated Methylation in Human Hemoglobin and Its Stability on Dried Blood Spots As Analyzed by Nanoflow Liquid Chromatography Tandem Mass Spectrometry.纳米流液相色谱串联质谱分析人血红蛋白中与年龄相关的甲基化及其在干血斑上的稳定性。
Chem Res Toxicol. 2018 Nov 19;31(11):1240-1247. doi: 10.1021/acs.chemrestox.8b00224. Epub 2018 Nov 2.
6
Application of automated serial blood sampling and dried blood spot technique with liquid chromatography-tandem mass spectrometry for pharmacokinetic studies in mice.应用自动化连续采血和液相色谱-串联质谱法的干血斑技术进行小鼠药代动力学研究。
J Pharm Biomed Anal. 2011 Nov 1;56(3):604-8. doi: 10.1016/j.jpba.2011.06.022. Epub 2011 Jul 1.
7
Automated high-capacity on-line extraction and bioanalysis of dried blood spot samples using liquid chromatography/high-resolution accurate mass spectrometry.使用液相色谱/高分辨率精确质谱法对干血斑样本进行自动化大容量在线提取和生物分析。
Rapid Commun Mass Spectrom. 2014 Nov 30;28(22):2415-26. doi: 10.1002/rcm.7033.
8
A Stable Isotope Dilution Nanoflow Liquid Chromatography Tandem Mass Spectrometry Assay for the Simultaneous Detection and Quantification of Glyoxal-Induced DNA Cross-Linked Adducts in Leukocytes from Diabetic Patients.一种稳定同位素稀释纳米流液相色谱串联质谱法测定糖尿病患者白细胞中由乙二醛诱导的 DNA 交联加合物。
Anal Chem. 2017 Dec 19;89(24):13082-13088. doi: 10.1021/acs.analchem.6b04296. Epub 2017 Dec 6.
9
Development and validation of a fully automated online human dried blood spot analysis of bosentan and its metabolites using the Sample Card And Prep DBS System.开发并验证了一种全自动在线人类干血斑分析法,可用于分析波生坦及其代谢物,采用的是 Sample Card And Prep DBS 系统。
J Chromatogr B Analyt Technol Biomed Life Sci. 2012 Feb 15;885-886:50-60. doi: 10.1016/j.jchromb.2011.12.012. Epub 2011 Dec 23.
10
Analysis of Chlorination, Nitration, and Nitrosylation of Tyrosine and Oxidation of Methionine and Cysteine in Hemoglobin from Type 2 Diabetes Mellitus Patients by Nanoflow Liquid Chromatography Tandem Mass Spectrometry.采用纳流液相色谱-串联质谱法分析 2 型糖尿病患者血红蛋白中天冬氨酸的氯化、硝化和亚硝化以及蛋氨酸和半胱氨酸的氧化
Anal Chem. 2016 Sep 20;88(18):9276-84. doi: 10.1021/acs.analchem.6b02663. Epub 2016 Aug 30.

引用本文的文献

1
Formation, Characterization, and Occurrence of β-Carboline Alkaloids Derived from α-Dicarbonyl Compounds and l-Tryptophan.β-咔啉生物碱的形成、表征及α-二羰基化合物和 l-色氨酸衍生的存在。
J Agric Food Chem. 2022 Jul 27;70(29):9143-9153. doi: 10.1021/acs.jafc.2c03187. Epub 2022 Jul 12.
2
Glycated Hemoglobin and Methods for Its Point of Care Testing.糖化血红蛋白及即时检测方法。
Biosensors (Basel). 2021 Mar 4;11(3):70. doi: 10.3390/bios11030070.

本文引用的文献

1
A Stable Isotope Dilution Nanoflow Liquid Chromatography Tandem Mass Spectrometry Assay for the Simultaneous Detection and Quantification of Glyoxal-Induced DNA Cross-Linked Adducts in Leukocytes from Diabetic Patients.一种稳定同位素稀释纳米流液相色谱串联质谱法测定糖尿病患者白细胞中由乙二醛诱导的 DNA 交联加合物。
Anal Chem. 2017 Dec 19;89(24):13082-13088. doi: 10.1021/acs.analchem.6b04296. Epub 2017 Dec 6.
2
Stability and Application of Reactive Nitrogen and Oxygen Species-Induced Hemoglobin Modifications in Dry Blood Spots As Analyzed by Liquid Chromatography Tandem Mass Spectrometry.液相色谱串联质谱法分析干血斑中活性氮和氧物种诱导的血红蛋白修饰的稳定性及应用
Chem Res Toxicol. 2016 Dec 19;29(12):2157-2163. doi: 10.1021/acs.chemrestox.6b00334. Epub 2016 Nov 21.
3
Mass Spectrometric Analysis of Glyoxal and Methylglyoxal-Induced Modifications in Human Hemoglobin from Poorly Controlled Type 2 Diabetes Mellitus Patients.对来自2型糖尿病控制不佳患者的人血红蛋白中乙二醛和甲基乙二醛诱导修饰的质谱分析。
Chem Res Toxicol. 2015 Dec 21;28(12):2377-89. doi: 10.1021/acs.chemrestox.5b00380. Epub 2015 Nov 10.
4
The use of mass spectrometry to analyze dried blood spots.利用质谱分析法分析干血斑。
Mass Spectrom Rev. 2016 May-Jun;35(3):361-438. doi: 10.1002/mas.21441. Epub 2014 Sep 22.
5
Therapeutic drug monitoring by dried blood spot: progress to date and future directions.干血斑治疗药物监测:迄今进展与未来方向
Clin Pharmacokinet. 2014 Nov;53(11):961-73. doi: 10.1007/s40262-014-0177-7.
6
Advanced glycation endproducts in food and their effects on health.食品中的晚期糖基化终产物及其对健康的影响。
Food Chem Toxicol. 2013 Oct;60:10-37. doi: 10.1016/j.fct.2013.06.052. Epub 2013 Jul 16.
7
Reactive nitrogen oxide species-induced post-translational modifications in human hemoglobin and the association with cigarette smoking.活性氮氧化物诱导的人血红蛋白的翻译后修饰及其与吸烟的关系。
Anal Chem. 2012 Sep 18;84(18):7881-90. doi: 10.1021/ac301597r. Epub 2012 Sep 7.
8
Quantification of N2-carboxymethyl-2'-deoxyguanosine in calf thymus DNA and cultured human kidney epithelial cells by capillary high-performance liquid chromatography-tandem mass spectrometry coupled with stable isotope dilution method.采用毛细管高效液相色谱-串联质谱法(HPLC-MS/MS)结合稳定同位素稀释法测定小牛胸腺 DNA 和人肾上皮细胞中 N2-羧甲基-2'-脱氧鸟苷的含量。
Chem Res Toxicol. 2010 Jan;23(1):74-81. doi: 10.1021/tx900286c.
9
Analysis of glyoxal-induced DNA cross-links by capillary liquid chromatography nanospray ionization tandem mass spectrometry.通过毛细管液相色谱-纳喷雾电离串联质谱法分析乙二醛诱导的DNA交联。
Chem Res Toxicol. 2009 Jul;22(7):1334-41. doi: 10.1021/tx900129e.
10
Hemoglobin adducts of benzene oxide in neonatal and adult dried blood spots.新生儿和成人干血斑中苯氧化物的血红蛋白加合物。
Cancer Epidemiol Biomarkers Prev. 2008 Aug;17(8):1896-901. doi: 10.1158/1055-9965.EPI-08-0356.