Suppr超能文献

Sirt6诱导的自噬限制了氧化型低密度脂蛋白处理的内皮细胞中TREM-1介导的细胞焦亡:与急性心肌梗死患者的预后相关性

Sirt6-induced autophagy restricted TREM-1-mediated pyroptosis in ox-LDL-treated endothelial cells: relevance to prognostication of patients with acute myocardial infarction.

作者信息

Zi Ye, Yi-An Yao, Bing Ji, Yan Lai, Jing Tong, Chun-Yu Guan, Fan Ping, Hao Lin, Jia-Ni Tang, Han-Jin Hou, Fei Chen, Xue-Bo Liu

机构信息

Department of Cardiology, Shanghai Tongji Hospital, Tongji University, Shanghai, China.

出版信息

Cell Death Discov. 2019 Apr 12;5:88. doi: 10.1038/s41420-019-0168-4. eCollection 2019.

Abstract

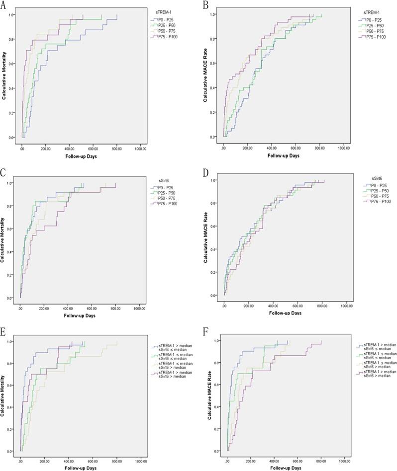
Inflammation mediated by myeloid cells trigger receptors 1 (TREM-1) is important for atherosclerosis development, while sirtuin 6 (Sirt6) levels decrease in atheroscleoritc plaque. Here we demonstrate that oxidatively modified low density lipoprotein (ox-LDL)-treated endothelial cells (ECs) exhibited increased TREM-1-mediated pyroptosis and decreased Sirt6-induced autophagy. We show that high sTREM-1 and low sSirt6 levels were independent predictors of boosted endothelial microparticles (EMPs) on admission, and were associated with increased risk for all-cause mortality and major adverse cardiovascular events (MACE) at median 24 months (interquartile range, 18-26) follow-up in acute myocardial infarction (AMI) patients. Additionally, blockage of Sirt6-induced autophagy led to augmented TREM-1-mediated pyroptosis, whereas Sirt6 overexpression attenuated ECs inflammation and pyroptosis following ox-LDL treatment. Our findings indicate that TREM-1 and in a reversed trend Sirt6 appeared to be markers of endothelial inflammation with potential for use in risk stratification.

摘要

髓样细胞触发受体1(TREM-1)介导的炎症对动脉粥样硬化的发展很重要,而沉默调节蛋白6(Sirt6)在动脉粥样硬化斑块中的水平会降低。在此,我们证明经氧化修饰的低密度脂蛋白(ox-LDL)处理的内皮细胞(ECs)表现出TREM-1介导的细胞焦亡增加以及Sirt6诱导的自噬减少。我们发现,高可溶性TREM-1(sTREM-1)和低可溶性Sirt6(sSirt6)水平是急性心肌梗死(AMI)患者入院时内皮微粒(EMPs)增加的独立预测因素,并且在24个月(四分位间距为18 - 26个月)的中位随访期内与全因死亡率和主要不良心血管事件(MACE)风险增加相关。此外,阻断Sirt6诱导的自噬会导致TREM-1介导的细胞焦亡增加,而Sirt6过表达可减轻ox-LDL处理后ECs的炎症和细胞焦亡。我们的研究结果表明,TREM-1以及呈相反趋势的Sirt6似乎是内皮炎症的标志物,具有用于风险分层的潜力。

https://cdn.ncbi.nlm.nih.gov/pmc/blobs/5acc/6461678/4b6547f08dff/41420_2019_168_Fig1_HTML.jpg

文献检索

告别复杂PubMed语法,用中文像聊天一样搜索,搜遍4000万医学文献。AI智能推荐,让科研检索更轻松。

立即免费搜索

文件翻译

保留排版,准确专业,支持PDF/Word/PPT等文件格式,支持 12+语言互译。

免费翻译文档

深度研究

AI帮你快速写综述,25分钟生成高质量综述,智能提取关键信息,辅助科研写作。

立即免费体验