• 文献检索
  • 文档翻译
  • 深度研究
  • 学术资讯
  • Suppr Zotero 插件Zotero 插件
  • 邀请有礼
  • 套餐&价格
  • 历史记录
应用&插件
Suppr Zotero 插件Zotero 插件浏览器插件Mac 客户端Windows 客户端微信小程序
定价
高级版会员购买积分包购买API积分包
服务
文献检索文档翻译深度研究API 文档MCP 服务
关于我们
关于 Suppr公司介绍联系我们用户协议隐私条款
关注我们

Suppr 超能文献

核心技术专利:CN118964589B侵权必究
粤ICP备2023148730 号-1Suppr @ 2026

文献检索

告别复杂PubMed语法,用中文像聊天一样搜索,搜遍4000万医学文献。AI智能推荐,让科研检索更轻松。

立即免费搜索

文件翻译

保留排版,准确专业,支持PDF/Word/PPT等文件格式,支持 12+语言互译。

免费翻译文档

深度研究

AI帮你快速写综述,25分钟生成高质量综述,智能提取关键信息,辅助科研写作。

立即免费体验

持续时间记忆巩固的破坏在延长人类时间的长期记忆表征时引入了噪声。

The Disruption of Memory Consolidation of Duration Introduces Noise While Lengthening the Long-Term Memory Representation of Time in Humans.

作者信息

Derouet Joffrey, Doyère Valérie, Droit-Volet Sylvie

机构信息

CNRS, UMR 6024, Laboratoire de Psychologie Sociale et Cognitive, Université Clermont Auvergne, Clermont-Ferrand, France.

CNRS, UMR 9197, Institut des Neurosciences Paris-Saclay, Université Paris-Sud - Université Paris-Saclay, Orsay, France.

出版信息

Front Psychol. 2019 Apr 3;10:745. doi: 10.3389/fpsyg.2019.00745. eCollection 2019.

DOI:10.3389/fpsyg.2019.00745
PMID:31001180
原文链接:https://pmc.ncbi.nlm.nih.gov/articles/PMC6456679/
Abstract

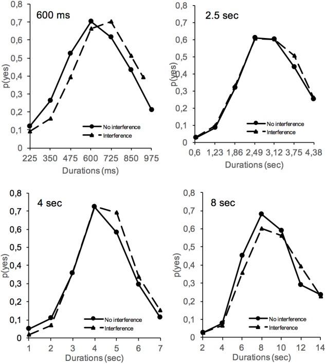
This study examined the effect of an interference task on the consolidation of duration in long-term memory. In a temporal generalization task, the participants performed a learning phase with a reference duration that either was, or was not, followed 30 min later by a 15-min interference task. They were then given a memory test, 24 h later. Using different participant groups, several reference durations were examined, from several hundred milliseconds (600 ms) to several seconds (2.5, 4, and 8 s). The results showed that the scalar timing property (i.e., precision proportional to judged duration) was preserved despite the interference task given during the memory consolidation process. However, the interference task increased the variability of time judgment and tended to produce a lengthening effect in all reference duration conditions. The modeling of individual data with parameters derived from scalar expectancy theory suggests that disrupting the memory consolidation of learned reference durations introduces noise in their representation in memory, with time being specifically distorted toward a lengthened duration.

摘要

本研究考察了一项干扰任务对长期记忆中时长巩固的影响。在一项时间泛化任务中,参与者进行一个学习阶段,其中有一个参考时长,在30分钟后,该参考时长要么紧接着有一个15分钟的干扰任务,要么没有。然后,在24小时后对他们进行记忆测试。使用不同的参与者组,研究了从几百毫秒(600毫秒)到几秒(2.5秒、4秒和8秒)的几个参考时长。结果表明,尽管在记忆巩固过程中进行了干扰任务,但标量计时特性(即精度与判断时长成正比)仍然得以保留。然而,干扰任务增加了时间判断的变异性,并在所有参考时长条件下都倾向于产生延长效应。用从标量期望理论推导出来的参数对个体数据进行建模表明,干扰已学参考时长的记忆巩固会在记忆表征中引入噪声,时间会特别朝着延长的时长发生扭曲。

https://cdn.ncbi.nlm.nih.gov/pmc/blobs/74e7/6456679/deef8aae3228/fpsyg-10-00745-g005.jpg
https://cdn.ncbi.nlm.nih.gov/pmc/blobs/74e7/6456679/ee6686d5b358/fpsyg-10-00745-g001.jpg
https://cdn.ncbi.nlm.nih.gov/pmc/blobs/74e7/6456679/46241a01124d/fpsyg-10-00745-g002.jpg
https://cdn.ncbi.nlm.nih.gov/pmc/blobs/74e7/6456679/712a6224d400/fpsyg-10-00745-g003.jpg
https://cdn.ncbi.nlm.nih.gov/pmc/blobs/74e7/6456679/351b4996ebe8/fpsyg-10-00745-g004.jpg
https://cdn.ncbi.nlm.nih.gov/pmc/blobs/74e7/6456679/deef8aae3228/fpsyg-10-00745-g005.jpg
https://cdn.ncbi.nlm.nih.gov/pmc/blobs/74e7/6456679/ee6686d5b358/fpsyg-10-00745-g001.jpg
https://cdn.ncbi.nlm.nih.gov/pmc/blobs/74e7/6456679/46241a01124d/fpsyg-10-00745-g002.jpg
https://cdn.ncbi.nlm.nih.gov/pmc/blobs/74e7/6456679/712a6224d400/fpsyg-10-00745-g003.jpg
https://cdn.ncbi.nlm.nih.gov/pmc/blobs/74e7/6456679/351b4996ebe8/fpsyg-10-00745-g004.jpg
https://cdn.ncbi.nlm.nih.gov/pmc/blobs/74e7/6456679/deef8aae3228/fpsyg-10-00745-g005.jpg

相似文献

1
The Disruption of Memory Consolidation of Duration Introduces Noise While Lengthening the Long-Term Memory Representation of Time in Humans.持续时间记忆巩固的破坏在延长人类时间的长期记忆表征时引入了噪声。
Front Psychol. 2019 Apr 3;10:745. doi: 10.3389/fpsyg.2019.00745. eCollection 2019.
2
Memory consolidation for duration.记忆持续时间的巩固。
Q J Exp Psychol (Hove). 2014;67(7):1401-14. doi: 10.1080/17470218.2013.863375. Epub 2014 Mar 11.
3
Emotion and long-term memory for duration: resistance against interference.情绪与时长的长期记忆:抗干扰能力。
Behav Processes. 2013 Jul;97:6-10. doi: 10.1016/j.beproc.2013.03.010. Epub 2013 Apr 2.
4
The effects of interference and retention delay on temporal generalization performance.干扰和保持延迟对时间泛化性能的影响。
Atten Percept Psychophys. 2010 Oct;72(7):1903-12. doi: 10.3758/APP.72.7.1903.
5
Scalar timing without reference memory? Episodic temporal generalization and bisection in humans.没有参考记忆的标量计时?人类的情景性时间泛化与二分法。
Q J Exp Psychol B. 2001 Nov;54(4):289-309. doi: 10.1080/02724990042000173.
6
The remembrance of times past: interference in temporal reference memory.对过去时光的回忆:对时间参照记忆的干扰。
J Exp Psychol Hum Percept Perform. 2008 Dec;34(6):1524-44. doi: 10.1037/a0010347.
7
Beyond a mask and against the bottleneck: retroactive dual-task interference during working memory consolidation of a masked visual target.超越掩码并突破瓶颈:掩码视觉目标工作记忆巩固过程中的追溯性双任务干扰
J Exp Psychol Gen. 2014 Jun;143(3):1409-1427. doi: 10.1037/a0035257. Epub 2013 Dec 23.
8
When Learning Disturbs Memory - Temporal Profile of Retroactive Interference of Learning on Memory Formation.学习干扰记忆时——学习对记忆形成的逆向干扰的时间特征
Front Psychol. 2018 Feb 16;9:82. doi: 10.3389/fpsyg.2018.00082. eCollection 2018.
9
Adaptation to visuomotor transformations: consolidation, interference, and forgetting.对视觉运动转换的适应:巩固、干扰和遗忘。
J Neurosci. 2005 Jan 12;25(2):473-8. doi: 10.1523/JNEUROSCI.4218-04.2005.
10
The right dorsolateral prefrontal cortex is essential in seconds range timing, but not in milliseconds range timing: An investigation with transcranial direct current stimulation.右侧背外侧前额叶皮质在秒级时间估计中必不可少,但在毫秒级时间估计中并非如此:经颅直流电刺激的研究。
Brain Cogn. 2019 Oct;135:103568. doi: 10.1016/j.bandc.2019.05.006. Epub 2019 Jun 25.

引用本文的文献

1
Judgment of duration and passage of time in prospective and retrospective conditions and its predictors for short and long durations.前瞻性和回溯性条件下对时长和时段流逝的判断及其对短时间和长时间的预测因素。
Sci Rep. 2022 Dec 23;12(1):22241. doi: 10.1038/s41598-022-25913-9.
2
Asymmetry in updating long-term memory for time.时间长时记忆更新的不对称性。
Learn Mem. 2021 Jan 15;28(2):40-43. doi: 10.1101/lm.051789.120. Print 2021 Feb.

本文引用的文献

1
Sleep-dependent consolidation benefits fast transfer of time interval training.睡眠依赖性巩固有利于时间间隔训练的快速迁移。
Exp Brain Res. 2017 Mar;235(3):661-672. doi: 10.1007/s00221-016-4832-0. Epub 2016 Nov 16.
2
Acquisition versus consolidation of auditory perceptual learning using mixed-training regimens.使用混合训练方案进行听觉感知学习的习得与巩固
PLoS One. 2015 Mar 24;10(3):e0121953. doi: 10.1371/journal.pone.0121953. eCollection 2015.
3
Post-study caffeine administration enhances memory consolidation in humans.
研究后摄入咖啡因可增强人类的记忆巩固。
Nat Neurosci. 2014 Feb;17(2):201-3. doi: 10.1038/nn.3623. Epub 2014 Jan 12.
4
Memory consolidation for duration.记忆持续时间的巩固。
Q J Exp Psychol (Hove). 2014;67(7):1401-14. doi: 10.1080/17470218.2013.863375. Epub 2014 Mar 11.
5
Hippocampus, time, and memory--a retrospective analysis.海马体、时间与记忆——一项回顾性分析
Behav Neurosci. 2013 Oct;127(5):642-54. doi: 10.1037/a0034201.
6
The role of consolidation for perceptual learning in temporal discrimination within and across modalities.巩固在跨模态和模态内时间辨别中的感知学习作用。
Acta Psychol (Amst). 2014 Mar;147:75-9. doi: 10.1016/j.actpsy.2013.06.018. Epub 2013 Jul 30.
7
Detection of a temporal error triggers reconsolidation of amygdala-dependent memories.检测到时间错误会触发杏仁核依赖性记忆的再巩固。
Curr Biol. 2013 Mar 18;23(6):467-72. doi: 10.1016/j.cub.2013.01.053. Epub 2013 Feb 28.
8
What is the best and easiest method of preventing counting in different temporal tasks?防止在不同时间任务中数数的最佳和最简单方法是什么?
Behav Res Methods. 2012 Mar;44(1):67-80. doi: 10.3758/s13428-011-0135-3.
9
Behavioral and in vivo electrophysiological evidence for presymptomatic alteration of prefrontostriatal processing in the transgenic rat model for huntington disease.行为和体内电生理证据表明亨廷顿病转基因大鼠模型前额叶-纹状体处理的早期改变。
J Neurosci. 2011 Jun 15;31(24):8986-97. doi: 10.1523/JNEUROSCI.1238-11.2011.
10
Keeping time in your sleep: overnight consolidation of temporal rhythm.保持睡眠中的时间感:时间节律的夜间巩固。
Neuropsychologia. 2011 Jan;49(1):115-23. doi: 10.1016/j.neuropsychologia.2010.10.025. Epub 2010 Oct 23.