• 文献检索
  • 文档翻译
  • 深度研究
  • 学术资讯
  • Suppr Zotero 插件Zotero 插件
  • 邀请有礼
  • 套餐&价格
  • 历史记录
应用&插件
Suppr Zotero 插件Zotero 插件浏览器插件Mac 客户端Windows 客户端微信小程序
定价
高级版会员购买积分包购买API积分包
服务
文献检索文档翻译深度研究API 文档MCP 服务
关于我们
关于 Suppr公司介绍联系我们用户协议隐私条款
关注我们

Suppr 超能文献

核心技术专利:CN118964589B侵权必究
粤ICP备2023148730 号-1Suppr @ 2026

文献检索

告别复杂PubMed语法,用中文像聊天一样搜索,搜遍4000万医学文献。AI智能推荐,让科研检索更轻松。

立即免费搜索

文件翻译

保留排版,准确专业,支持PDF/Word/PPT等文件格式,支持 12+语言互译。

免费翻译文档

深度研究

AI帮你快速写综述,25分钟生成高质量综述,智能提取关键信息,辅助科研写作。

立即免费体验

青少年慢性创伤性脑损伤认知训练获益的灰质相关性研究。

Exploration of gray matter correlates of cognitive training benefit in adolescents with chronic traumatic brain injury.

机构信息

Ghent University Hospital, Child Rehabilitation Centre K7, Corneel Heymanslaan 10, 9000 Ghent, Belgium.

Ghent University, Department of Experimental Psychology, Faculty of Psychology and Educational Sciences, Henri Dunantlaan 2, 9000 Ghent, Belgium.

出版信息

Neuroimage Clin. 2019;23:101827. doi: 10.1016/j.nicl.2019.101827. Epub 2019 Apr 16.

DOI:10.1016/j.nicl.2019.101827
PMID:31005776
原文链接:https://pmc.ncbi.nlm.nih.gov/articles/PMC6477162/
Abstract

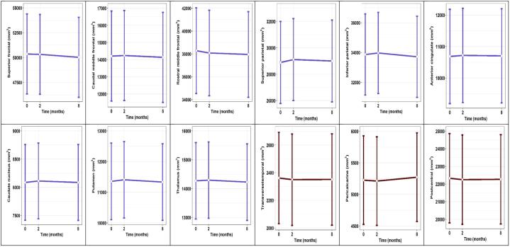
Sustaining a traumatic brain injury (TBI) during adolescence has a profound effect on brain development and can result in persistent executive functioning deficits in daily life. Cognitive recovery from pediatric-TBI relies on the potential of neuroplasticity, which can be fostered by restorative training-programs. However the structural mechanisms underlying cognitive recovery in the immature brain are poorly understood. This study investigated gray matter plasticity following 2 months of cognitive training in young patients with TBI. Sixteen adolescents in the chronic stage of moderate-severe-TBI (9 male, mean age = 15y8m ± 1y7m) were enrolled in a cognitive computerized training program for 8 weeks (5 times/week, 40 min/session). Pre-and post-intervention, and 6 months after completion of the training, participants underwent a comprehensive neurocognitive test-battery and anatomical Magnetic Resonance Imaging scans. We selected 9 cortical-subcortical Regions-Of-Interest associated with Executive Functioning (EF-ROIs) and 3 control regions from the Desikan-Killiany atlas. Baseline analyses showed significant decreased gray matter density in the superior frontal gyri p = 0.033, superior parietal gyri p = 0.015 and thalamus p = 0.006 in adolescents with TBI compared to age and gender matched controls. Linear mixed model analyses of longitudinal volumetric data of the EF-ROI revealed no strong evidence of training-related changes in the group with TBI. However, compared to the change over time in the control regions between post-intervention and 6 months follow-up, the change in the EF-ROIs showed a significant difference. Exploratory analyses revealed a negative correlation between the change on the Digit Symbol Substitution test and the change in volume of the putamen (r = -0.596, p = 0.015). This preliminary study contributes to the insights of training-related plasticity mechanisms after pediatric-TBI.

摘要

青少年时期持续遭受创伤性脑损伤(TBI)会对大脑发育产生深远影响,并可能导致日常生活中持续存在执行功能缺陷。儿科 TBI 的认知康复依赖于神经可塑性的潜力,而这可以通过修复性训练计划来促进。然而,未成熟大脑中认知康复的结构机制仍知之甚少。本研究调查了 16 名处于中度至重度 TBI 慢性期的青少年患者在接受 2 个月认知训练后的灰质可塑性。这些患者均为男性(9 名),平均年龄为 15 岁 8 个月±1 岁 7 个月,他们参加了为期 8 周的认知计算机训练计划(每周 5 次,每次 40 分钟)。在干预前、干预后和训练完成后 6 个月,参与者接受了全面的神经认知测试和解剖磁共振成像扫描。我们从 Desikan-Killiany 图谱中选择了与执行功能(EF)相关的 9 个皮质下区域(EF-ROI)和 3 个对照区域。基线分析显示,与年龄和性别匹配的对照组相比,TBI 青少年的额上回(p=0.033)、顶上回(p=0.015)和丘脑(p=0.006)的灰质密度显著降低。对 EF-ROI 纵向体积数据的线性混合模型分析显示,TBI 组没有强烈的训练相关变化证据。然而,与干预后和 6 个月随访之间对照区域的时间变化相比,EF-ROI 的变化显示出显著差异。探索性分析显示,数字符号替代测验的变化与壳核体积的变化呈负相关(r=-0.596,p=0.015)。这项初步研究为儿科 TBI 后的训练相关可塑性机制提供了新的见解。

https://cdn.ncbi.nlm.nih.gov/pmc/blobs/41f5/6477162/c78f328362d5/gr3.jpg
https://cdn.ncbi.nlm.nih.gov/pmc/blobs/41f5/6477162/bae874d51ff8/gr1.jpg
https://cdn.ncbi.nlm.nih.gov/pmc/blobs/41f5/6477162/93a4e295a11b/gr2.jpg
https://cdn.ncbi.nlm.nih.gov/pmc/blobs/41f5/6477162/c78f328362d5/gr3.jpg
https://cdn.ncbi.nlm.nih.gov/pmc/blobs/41f5/6477162/bae874d51ff8/gr1.jpg
https://cdn.ncbi.nlm.nih.gov/pmc/blobs/41f5/6477162/93a4e295a11b/gr2.jpg
https://cdn.ncbi.nlm.nih.gov/pmc/blobs/41f5/6477162/c78f328362d5/gr3.jpg

相似文献

1
Exploration of gray matter correlates of cognitive training benefit in adolescents with chronic traumatic brain injury.青少年慢性创伤性脑损伤认知训练获益的灰质相关性研究。
Neuroimage Clin. 2019;23:101827. doi: 10.1016/j.nicl.2019.101827. Epub 2019 Apr 16.
2
Cognitive training benefit depends on brain injury location in adolescents with traumatic brain injury: a pilot study.认知训练对创伤性脑损伤青少年的获益取决于脑损伤部位:一项初步研究。
Eur J Phys Rehabil Med. 2019 Oct;55(5):585-594. doi: 10.23736/S1973-9087.18.05548-X. Epub 2018 Dec 14.
3
Training in Goal-Oriented Attention Self-Regulation Improves Executive Functioning in Veterans with Chronic Traumatic Brain Injury.目标导向的注意力自我调节训练可改善慢性创伤性脑损伤退伍军人的执行功能。
J Neurotrauma. 2018 Dec 1;35(23):2784-2795. doi: 10.1089/neu.2017.5529. Epub 2018 Jul 23.
4
Neuroplasticity of cognitive control networks following cognitive training for chronic traumatic brain injury.认知训练对慢性创伤性脑损伤后认知控制网络的神经可塑性影响。
Neuroimage Clin. 2018 Jan 31;18:262-278. doi: 10.1016/j.nicl.2018.01.030. eCollection 2018.
5
Regional Gray Matter Volume Loss Is Associated with Gait Impairments in Young Brain-Injured Individuals.局部灰质体积减少与年轻脑损伤个体的步态障碍有关。
J Neurotrauma. 2017 Mar 1;34(5):1022-1034. doi: 10.1089/neu.2016.4500. Epub 2016 Oct 18.
6
Music Therapy Enhances Executive Functions and Prefrontal Structural Neuroplasticity after Traumatic Brain Injury: Evidence from a Randomized Controlled Trial.音乐治疗增强创伤性脑损伤后执行功能和前额叶结构神经可塑性:一项随机对照试验的证据。
J Neurotrauma. 2020 Feb 15;37(4):618-634. doi: 10.1089/neu.2019.6413. Epub 2019 Dec 5.
7
Cognitive rehabilitation post traumatic brain injury: A systematic review for emerging use of virtual reality technology.创伤性脑损伤后的认知康复:虚拟现实技术新兴应用的系统评价。
J Clin Neurosci. 2019 Aug;66:209-219. doi: 10.1016/j.jocn.2019.04.026. Epub 2019 May 10.
8
Executive function training in chronic traumatic brain injury patients: study protocol.慢性创伤性脑损伤患者执行功能训练:研究方案。
Trials. 2019 Jul 15;20(1):435. doi: 10.1186/s13063-019-3526-x.
9
Relationship of Cerebral Blood Flow to Cognitive Function and Recovery in Early Chronic Traumatic Brain Injury.早期慢性创伤性脑损伤中脑血流与认知功能和恢复的关系。
J Neurotrauma. 2020 Oct 15;37(20):2180-2187. doi: 10.1089/neu.2020.7031. Epub 2020 Jun 11.
10
White matter integrity and cognition in chronic traumatic brain injury: a diffusion tensor imaging study.慢性创伤性脑损伤中的白质完整性与认知:一项扩散张量成像研究
Brain. 2007 Oct;130(Pt 10):2508-19. doi: 10.1093/brain/awm216. Epub 2007 Sep 14.

引用本文的文献

1
Structural and functional alterations in the contralateral hemisphere following pediatric intracranial surgery: a pilot longitudinal neuroimaging study.小儿颅内手术后对侧半球的结构和功能改变:一项纵向神经影像学初步研究
Front Hum Neurosci. 2025 Mar 7;19:1568945. doi: 10.3389/fnhum.2025.1568945. eCollection 2025.
2
Neuroimaging Correlates of Functional Outcome Following Pediatric TBI.儿童创伤性脑损伤后功能结局的神经影像学相关性研究。
Adv Neurobiol. 2024;42:33-84. doi: 10.1007/978-3-031-69832-3_3.
3
Network analysis of structural MRI predicts executive function in paediatric traumatic brain injury.

本文引用的文献

1
Cognitive training benefit depends on brain injury location in adolescents with traumatic brain injury: a pilot study.认知训练对创伤性脑损伤青少年的获益取决于脑损伤部位:一项初步研究。
Eur J Phys Rehabil Med. 2019 Oct;55(5):585-594. doi: 10.23736/S1973-9087.18.05548-X. Epub 2018 Dec 14.
2
Infant fMRI: A Model System for Cognitive Neuroscience.婴儿 fMRI:认知神经科学的模型系统。
Trends Cogn Sci. 2018 May;22(5):375-387. doi: 10.1016/j.tics.2018.01.005. Epub 2018 Feb 24.
3
Evidence for Training-Dependent Structural Neuroplasticity in Brain-Injured Patients: A Critical Review.
结构磁共振成像的网络分析预测儿童创伤性脑损伤的执行功能。
Neuroimage Clin. 2024;44:103685. doi: 10.1016/j.nicl.2024.103685. Epub 2024 Oct 9.
4
Training-Induced Neural Plasticity in Youth: A Systematic Review of Structural and Functional MRI Studies.青少年训练诱导的神经可塑性:结构和功能磁共振成像研究的系统综述
Front Hum Neurosci. 2021 Jan 18;14:497245. doi: 10.3389/fnhum.2020.497245. eCollection 2020.
5
Effects of Transcranial Direct Current Stimulation on Brain Networks Related to Creative Thinking.经颅直流电刺激对与创造性思维相关脑网络的影响。
Front Hum Neurosci. 2020 Oct 16;14:541052. doi: 10.3389/fnhum.2020.541052. eCollection 2020.
6
Neuroimaging and Neuropsychological Outcomes Following Clinician-Delivered Cognitive Training for Six Patients With Mild Brain Injury: A Multiple Case Study.六例轻度脑损伤患者接受临床医生提供的认知训练后的神经影像学和神经心理学结果:一项多案例研究
Front Hum Neurosci. 2020 Jun 24;14:229. doi: 10.3389/fnhum.2020.00229. eCollection 2020.
7
Network diffusion modeling predicts neurodegeneration in traumatic brain injury.网络扩散模型预测创伤性脑损伤中的神经退行性变。
Ann Clin Transl Neurol. 2020 Mar;7(3):270-279. doi: 10.1002/acn3.50984. Epub 2020 Feb 27.
8
Chd8 Rescued TBI-Induced Neurological Deficits by Suppressing Apoptosis and Autophagy Via Wnt Signaling Pathway.Chd8 通过抑制 Wnt 信号通路的细胞凋亡和自噬来挽救 TBI 引起的神经功能缺损。
Cell Mol Neurobiol. 2020 Oct;40(7):1165-1184. doi: 10.1007/s10571-020-00806-5. Epub 2020 Feb 7.
脑损伤患者的训练依赖性结构神经可塑性的证据:批判性评价。
Neurorehabil Neural Repair. 2018 Feb;32(2):99-114. doi: 10.1177/1545968317753076. Epub 2018 Jan 22.
4
Development of subcortical volumes across adolescence in males and females: A multisample study of longitudinal changes.男性和女性青少年皮质下体积的发展:多样本纵向变化研究。
Neuroimage. 2018 May 15;172:194-205. doi: 10.1016/j.neuroimage.2018.01.020. Epub 2018 Feb 3.
5
Reduced subcortical volumes among preschool-age girls and boys with ADHD.注意缺陷多动障碍(ADHD)学龄前男童和女童的皮质下体积减小。
Psychiatry Res Neuroimaging. 2018 Jan 30;271:67-74. doi: 10.1016/j.pscychresns.2017.10.013. Epub 2017 Nov 2.
6
Expansion and Renormalization of Human Brain Structure During Skill Acquisition.技能习得过程中人类大脑结构的扩展与重整化
Trends Cogn Sci. 2017 Dec;21(12):930-939. doi: 10.1016/j.tics.2017.09.008.
7
Increased engagement of the cognitive control network associated with music training in children during an fMRI Stroop task.在功能磁共振成像(fMRI)的斯特鲁普任务中,与儿童音乐训练相关的认知控制网络的参与度增加。
PLoS One. 2017 Oct 30;12(10):e0187254. doi: 10.1371/journal.pone.0187254. eCollection 2017.
8
Principles of plasticity in the developing brain.发育中大脑的可塑性原理。
Dev Med Child Neurol. 2017 Dec;59(12):1218-1223. doi: 10.1111/dmcn.13546. Epub 2017 Sep 13.
9
Psychosocial and Executive Function Recovery Trajectories One Year after Pediatric Traumatic Brain Injury: The Influence of Age and Injury Severity.儿童创伤性脑损伤后一年的心理社会和执行功能恢复轨迹:年龄和损伤严重程度的影响。
J Neurotrauma. 2018 Jan 15;35(2):286-296. doi: 10.1089/neu.2017.5265. Epub 2017 Oct 16.
10
Behavioral and Neural Correlates of Executive Function: Interplay between Inhibition and Updating Processes.执行功能的行为与神经关联:抑制与更新过程之间的相互作用
Front Neurosci. 2017 Jun 30;11:378. doi: 10.3389/fnins.2017.00378. eCollection 2017.