Suppr超能文献

坦桑尼亚确诊和疑似结核病患者的护理途径和相关费用:一项横断面研究。

Pathways and associated costs of care in patients with confirmed and presumptive tuberculosis in Tanzania: A cross-sectional study.

机构信息

Ifakara Health Institute, Dar es Salaam, Tanzania.

Swiss Tropical and Public Health Institute, Basel, Switzerland.

出版信息

BMJ Open. 2019 Apr 20;9(4):e025079. doi: 10.1136/bmjopen-2018-025079.

Abstract

OBJECTIVE

To assess pathways and associated costs of seeking care from the onset of symptoms to diagnosis in patients with confirmed and presumptive tuberculosis (TB).

DESIGN

Cross-sectional study.

SETTING

District hospital in Dar es Salaam, Tanzania.

PARTICIPANTS

Bacteriologically confirmed TB and presumptive TB patients.

PRIMARY AND SECONDARY OUTCOME MEASURES

We calculated distance in metres and visualised pathways to healthcare up to five visits for the current episode of sickness. Costs were described by medians and IQRs, with comparisons by gender and poverty status.

RESULTS

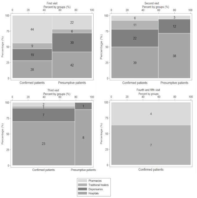
Of 100 confirmed and 100 presumptive TB patients, 44% of confirmed patients sought care first at pharmacies after the onset of symptoms, and 42% of presumptive patients did so at hospitals. The median visits made by confirmed patients was 2 (range 1-5) and 2 (range 1-3) by presumptive patients. Patients spent a median of 31% of their monthly household income on health expenditures for all visits. The median total direct costs were higher in confirmed compared with presumptive patients (USD 27.4 [IQR 18.7-48.4] vs USD 19.8 [IQR 13.8-34.0], p=0.02), as were the indirect costs (USD 66.9 [IQR 35.5-150.0] vs USD 46.8 [IQR 20.1-115.3], p<0.001). The indirect costs were higher in men compared with women (USD 64.6 [IQR 31.8-159.1] vs USD 55.6 [IQR 25.1-141.1], p<0.001). The median total distance from patients' household to healthcare facilities for patients with confirmed and presumptive TB was 2338 m (IQR 1373-4122) and 2009 m (IQR 986-2976) respectively.

CONCLUSIONS

Patients with confirmed TB have complex pathways and higher costs of care compared with patients with presumptive TB, but the costs of the latter are also substantial. Improving access to healthcare and ensuring integration of different healthcare providers including private, public health practitioners and patients themselves could help in reducing the complex pathways during healthcare seeking and optimal healthcare utilisation.

摘要

目的

评估从症状出现到确诊为确诊和疑似结核病(TB)患者就诊的途径和相关费用。

设计

横断面研究。

地点

坦桑尼亚达累斯萨拉姆区医院。

参与者

细菌学确诊的 TB 和疑似 TB 患者。

主要和次要结果

我们计算了当前疾病发作时到医疗保健的米数,并可视化了最多五次就诊的途径。按性别和贫困状况比较了成本中位数和 IQR。

结果

在 100 名确诊和 100 名疑似 TB 患者中,44%的确诊患者在出现症状后首先在药店寻求治疗,而 42%的疑似患者在医院寻求治疗。确诊患者的平均就诊次数为 2 次(范围 1-5),疑似患者为 2 次(范围 1-3)。所有就诊的患者平均花费其月家庭收入的 31%用于医疗支出。与疑似患者相比,确诊患者的总直接费用中位数更高(27.4 美元[IQR 18.7-48.4] 与 19.8 美元[IQR 13.8-34.0],p=0.02),间接费用也是如此(66.9 美元[IQR 35.5-150.0] 与 46.8 美元[IQR 20.1-115.3],p<0.001)。与女性相比,男性的间接费用更高(64.6 美元[IQR 31.8-159.1] 与 55.6 美元[IQR 25.1-141.1],p<0.001)。确诊和疑似 TB 患者从家庭到医疗机构的中位总距离分别为 2338 米(IQR 1373-4122)和 2009 米(IQR 986-2976)。

结论

与疑似 TB 患者相比,确诊 TB 患者的就诊途径复杂,医疗费用更高,但后者的费用也相当可观。改善医疗保健的可及性,并确保包括私人、公共卫生从业人员和患者自身在内的不同医疗服务提供者的整合,有助于减少医疗保健寻求过程中的复杂途径和优化医疗保健的利用。

https://cdn.ncbi.nlm.nih.gov/pmc/blobs/d1af/6528007/55f8937b66f7/bmjopen-2018-025079f01.jpg

文献AI研究员

20分钟写一篇综述,助力文献阅读效率提升50倍。

立即体验

用中文搜PubMed

大模型驱动的PubMed中文搜索引擎

马上搜索

文档翻译

学术文献翻译模型,支持多种主流文档格式。

立即体验