• 文献检索
  • 文档翻译
  • 深度研究
  • 学术资讯
  • Suppr Zotero 插件Zotero 插件
  • 邀请有礼
  • 套餐&价格
  • 历史记录
应用&插件
Suppr Zotero 插件Zotero 插件浏览器插件Mac 客户端Windows 客户端微信小程序
定价
高级版会员购买积分包购买API积分包
服务
文献检索文档翻译深度研究API 文档MCP 服务
关于我们
关于 Suppr公司介绍联系我们用户协议隐私条款
关注我们

Suppr 超能文献

核心技术专利:CN118964589B侵权必究
粤ICP备2023148730 号-1Suppr @ 2026

文献检索

告别复杂PubMed语法,用中文像聊天一样搜索,搜遍4000万医学文献。AI智能推荐,让科研检索更轻松。

立即免费搜索

文件翻译

保留排版,准确专业,支持PDF/Word/PPT等文件格式,支持 12+语言互译。

免费翻译文档

深度研究

AI帮你快速写综述,25分钟生成高质量综述,智能提取关键信息,辅助科研写作。

立即免费体验

开发一种CFD-PBPK混合模型,以预测氙气在人体呼吸系统周围向全身区域的传输。

Development of a hybrid CFD-PBPK model to predict the transport of xenon gas around a human respiratory system to systemic regions.

作者信息

Haghnegahdar Ahmadreza, Zhao Jianan, Kozak Max, Williamson Patrick, Feng Yu

机构信息

School of Chemical Engineering, Oklahoma State University, Stillwater, OK 74078, USA.

出版信息

Heliyon. 2019 Apr 10;5(4):e01461. doi: 10.1016/j.heliyon.2019.e01461. eCollection 2019 Apr.

DOI:10.1016/j.heliyon.2019.e01461
PMID:31011641
原文链接:https://pmc.ncbi.nlm.nih.gov/articles/PMC6460377/
Abstract

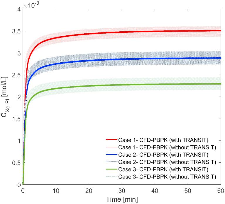
Administering incorrect doses of conventional anesthetic agents through the pulmonary route can cause potential health risks such as blood coagulation, platelet dysfunction, and deteriorating organ function. As an alternative, xenon can minimize the impact on the cardiovascular system and provide the neuroprotective effect, hemodynamic stability, and fast recovery. However, the inhalation pattern still needs to be carefully monitored and controlled to avoid health risks caused by over administering xenon to patients during unconsciousness. Thus, high-resolution lung absorption and whole-body translocation data are critically needed to fully understand how to administer the gas and coordinate with the patient to accurately control the dose. Clinical studies are not able to provide accurate dosimetry data due to their limited operational flexibility and imaging resolution. Therefore, a computational fluid dynamics (CFD) model was employed in this study to simulate the transport and absorption of the inhaled xenon which is connected with a physiologically based pharmacokinetic (PBPK) model to predict the translocation into the systemic regions. To study the effects of different breathing patterns on xenon transport dynamics in the human body, a realistic breathing waveform and two steady-state flow rates with inhalation durations of 2 and 1.5 seconds were selected. For the realistic breathing cycle, the inhalation-exhalation periods are defined for a human at rest and the other two cases have a fixed volumetric flow rate of 15 L/min. As the two latter cases only simulate the inspiratory phase, a 1-second holding time was applied to represent the missing periods of the full breathing time. Simulations were performed in a subject-specific human upper airway configuration from mouth to G6. Numerical results show that with the accurate lung uptake predictions obtained from the CFD model, the hybrid CFD-PBPK model with TRANSIT compartments generates more precise and breath-specific trends compared to simple PBPK models. Numerical results demonstrate that breathing pattern can significantly influence the xenon uptake in the human body, which can be utilized as a critical factor to be coordinated by clinicians to achieve the optimized xenon dose. Furthermore, parametric analyses were performed for the influence of breathing patterns on local airflow distributions, gas species translocations, and lung elimination mechanisms followed by species diffusion into the systemic regions.

摘要

通过肺部途径给予不正确剂量的传统麻醉剂可能会导致潜在的健康风险,如血液凝固、血小板功能障碍和器官功能恶化。作为一种替代方法,氙气可以将对心血管系统的影响降至最低,并提供神经保护作用、血流动力学稳定性和快速恢复。然而,吸入模式仍需仔细监测和控制,以避免在患者无意识期间过量给予氙气而导致健康风险。因此,迫切需要高分辨率的肺部吸收和全身转运数据,以充分了解如何给予这种气体并与患者协调以准确控制剂量。由于临床研究的操作灵活性和成像分辨率有限,无法提供准确的剂量测定数据。因此,本研究采用计算流体动力学(CFD)模型来模拟吸入氙气的传输和吸收,并将其与基于生理的药代动力学(PBPK)模型相结合,以预测其向全身区域的转运。为了研究不同呼吸模式对人体中氙气传输动力学的影响,选择了一个真实的呼吸波形以及两种稳态流速,吸入持续时间分别为2秒和1.5秒。对于真实的呼吸周期,定义了人体休息时的吸气-呼气周期,另外两种情况的固定体积流速为15升/分钟。由于后两种情况仅模拟吸气阶段,因此应用1秒的保持时间来代表完整呼吸时间中缺失的阶段。在从口腔到G6的特定个体的人体上呼吸道构型中进行了模拟。数值结果表明,通过CFD模型获得准确的肺部摄取预测,与简单的PBPK模型相比,具有TRANSIT隔室的混合CFD-PBPK模型产生更精确且特定于呼吸的趋势。数值结果表明,呼吸模式可显著影响人体对氙气的摄取,这可作为临床医生进行协调以实现优化氙气剂量的关键因素。此外,还对呼吸模式对局部气流分布、气体物种转运以及随后物种扩散到全身区域的肺部清除机制的影响进行了参数分析。

https://cdn.ncbi.nlm.nih.gov/pmc/blobs/8158/6460377/8d70e8914e60/gr13.jpg
https://cdn.ncbi.nlm.nih.gov/pmc/blobs/8158/6460377/5f524ffa3359/gr1.jpg
https://cdn.ncbi.nlm.nih.gov/pmc/blobs/8158/6460377/b1f11223b29d/gr2.jpg
https://cdn.ncbi.nlm.nih.gov/pmc/blobs/8158/6460377/05b99b61c255/gr3.jpg
https://cdn.ncbi.nlm.nih.gov/pmc/blobs/8158/6460377/758ce09239f2/gr4.jpg
https://cdn.ncbi.nlm.nih.gov/pmc/blobs/8158/6460377/9d6d0bd68aba/gr5.jpg
https://cdn.ncbi.nlm.nih.gov/pmc/blobs/8158/6460377/493e4d0e131d/gr6.jpg
https://cdn.ncbi.nlm.nih.gov/pmc/blobs/8158/6460377/5353a4d344be/gr7.jpg
https://cdn.ncbi.nlm.nih.gov/pmc/blobs/8158/6460377/dad650d9e882/gr8.jpg
https://cdn.ncbi.nlm.nih.gov/pmc/blobs/8158/6460377/17f71b0b4385/gr9.jpg
https://cdn.ncbi.nlm.nih.gov/pmc/blobs/8158/6460377/727a6ade8d4f/gr10.jpg
https://cdn.ncbi.nlm.nih.gov/pmc/blobs/8158/6460377/af9892c384bf/gr11.jpg
https://cdn.ncbi.nlm.nih.gov/pmc/blobs/8158/6460377/d1779aca96c8/gr12.jpg
https://cdn.ncbi.nlm.nih.gov/pmc/blobs/8158/6460377/8d70e8914e60/gr13.jpg
https://cdn.ncbi.nlm.nih.gov/pmc/blobs/8158/6460377/5f524ffa3359/gr1.jpg
https://cdn.ncbi.nlm.nih.gov/pmc/blobs/8158/6460377/b1f11223b29d/gr2.jpg
https://cdn.ncbi.nlm.nih.gov/pmc/blobs/8158/6460377/05b99b61c255/gr3.jpg
https://cdn.ncbi.nlm.nih.gov/pmc/blobs/8158/6460377/758ce09239f2/gr4.jpg
https://cdn.ncbi.nlm.nih.gov/pmc/blobs/8158/6460377/9d6d0bd68aba/gr5.jpg
https://cdn.ncbi.nlm.nih.gov/pmc/blobs/8158/6460377/493e4d0e131d/gr6.jpg
https://cdn.ncbi.nlm.nih.gov/pmc/blobs/8158/6460377/5353a4d344be/gr7.jpg
https://cdn.ncbi.nlm.nih.gov/pmc/blobs/8158/6460377/dad650d9e882/gr8.jpg
https://cdn.ncbi.nlm.nih.gov/pmc/blobs/8158/6460377/17f71b0b4385/gr9.jpg
https://cdn.ncbi.nlm.nih.gov/pmc/blobs/8158/6460377/727a6ade8d4f/gr10.jpg
https://cdn.ncbi.nlm.nih.gov/pmc/blobs/8158/6460377/af9892c384bf/gr11.jpg
https://cdn.ncbi.nlm.nih.gov/pmc/blobs/8158/6460377/d1779aca96c8/gr12.jpg
https://cdn.ncbi.nlm.nih.gov/pmc/blobs/8158/6460377/8d70e8914e60/gr13.jpg

相似文献

1
Development of a hybrid CFD-PBPK model to predict the transport of xenon gas around a human respiratory system to systemic regions.开发一种CFD-PBPK混合模型,以预测氙气在人体呼吸系统周围向全身区域的传输。
Heliyon. 2019 Apr 10;5(4):e01461. doi: 10.1016/j.heliyon.2019.e01461. eCollection 2019 Apr.
2
Coupled in silico platform: Computational fluid dynamics (CFD) and physiologically-based pharmacokinetic (PBPK) modelling.耦合的计算平台:计算流体动力学 (CFD) 和基于生理的药代动力学 (PBPK) 建模。
Eur J Pharm Sci. 2018 Feb 15;113:171-184. doi: 10.1016/j.ejps.2017.10.022. Epub 2017 Oct 17.
3
Use of a hybrid computational fluid dynamics and physiologically based inhalation model for interspecies dosimetry comparisons of ester vapors.使用混合计算流体动力学和基于生理学的吸入模型进行酯类蒸气种间剂量测定比较。
Toxicol Appl Pharmacol. 2002 Aug 15;183(1):23-40. doi: 10.1006/taap.2002.9451.
4
A hybrid computational fluid dynamics and physiologically based pharmacokinetic model for comparison of predicted tissue concentrations of acrylic acid and other vapors in the rat and human nasal cavities following inhalation exposure.一种用于比较大鼠和人类吸入暴露后鼻腔中丙烯酸及其他蒸气预测组织浓度的计算流体动力学与基于生理的药代动力学混合模型。
Inhal Toxicol. 2001 May;13(5):359-76. doi: 10.1080/08958370151126248.
5
Comparison of realistic and idealized breathing patterns in computational models of airflow and vapor dosimetry in the rodent upper respiratory tract.啮齿动物上呼吸道气流与蒸汽剂量测定计算模型中实际呼吸模式与理想化呼吸模式的比较。
Inhal Toxicol. 2016;28(4):192-202. doi: 10.3109/08958378.2016.1150367.
6
Investigation of inhalation and exhalation flow pattern in a realistic human upper airway model by PIV experiments and CFD simulations.通过粒子图像测速(PIV)实验和计算流体动力学(CFD)模拟对逼真的人体上呼吸道模型中的吸气和呼气流动模式进行研究。
Biomech Model Mechanobiol. 2020 Oct;19(5):1679-1695. doi: 10.1007/s10237-020-01299-3. Epub 2020 Feb 5.
7
Comparative Risks of Aldehyde Constituents in Cigarette Smoke Using Transient Computational Fluid Dynamics/Physiologically Based Pharmacokinetic Models of the Rat and Human Respiratory Tracts.使用大鼠和人类呼吸道的瞬态计算流体动力学/基于生理的药代动力学模型比较香烟烟雾中醛类成分的风险
Toxicol Sci. 2015 Jul;146(1):65-88. doi: 10.1093/toxsci/kfv071. Epub 2015 Apr 8.
8
Numerical investigation of transient transport and deposition of microparticles under unsteady inspiratory flow in human upper airways.人体上呼吸道非定常吸气流动下微粒瞬态输运与沉积的数值研究。
Respir Physiol Neurobiol. 2017 Oct;244:56-72. doi: 10.1016/j.resp.2017.06.005. Epub 2017 Jul 1.
9
Use of a physiologically based model to predict systemic uptake and respiratory elimination of perchloroethylene.使用基于生理学的模型预测全氯乙烯的全身摄取和呼吸消除。
Toxicol Appl Pharmacol. 1994 Sep;128(1):60-8. doi: 10.1006/taap.1994.1180.
10
A CFD-PBPK hybrid model for simulating gas and vapor uptake in the rat nose.
Toxicol Appl Pharmacol. 1998 May;150(1):133-45. doi: 10.1006/taap.1998.8407.

引用本文的文献

1
Subject-Specific Multi-Scale Modeling of the Fate of Inhaled Aerosols.吸入气溶胶命运的特定主体多尺度建模
J Aerosol Sci. 2025 Jan;183. doi: 10.1016/j.jaerosci.2024.106471. Epub 2024 Sep 19.
2
Airborne transmission of biological agents within the indoor built environment: a multidisciplinary review.室内建筑环境中生物制剂的空气传播:多学科综述
Air Qual Atmos Health. 2023;16(3):477-533. doi: 10.1007/s11869-022-01286-w. Epub 2022 Nov 28.
3
Predicting Regional Respiratory Tissue and Systemic Concentrations of Orally Inhaled Drugs through a Novel PBPK Model.

本文引用的文献

1
Computational Analysis of Deposition and Translocation of Inhaled Nicotine and Acrolein in the Human Body with E-cigarette Puffing Topographies.基于电子烟抽吸形貌的人体吸入尼古丁和丙烯醛沉积与转运的计算分析
Aerosol Sci Technol. 2018;52(5):483-493. doi: 10.1080/02786826.2018.1447644. Epub 2018 Mar 26.
2
An In Silico Subject-Variability Study of Upper Airway Morphological Influence on the Airflow Regime in a Tracheobronchial Tree.气管支气管树中气道形态对气流状态影响的计算机模拟受试者变异性研究
Bioengineering (Basel). 2017 Nov 16;4(4):90. doi: 10.3390/bioengineering4040090.
3
Realistic glottal motion and airflow rate during human breathing.
通过新型 PBPK 模型预测口服吸入药物的区域性呼吸组织和全身浓度。
Drug Metab Dispos. 2022 May;50(5):519-528. doi: 10.1124/dmd.121.000789. Epub 2022 Mar 4.
人类呼吸过程中逼真的声门运动和气流速率。
Med Eng Phys. 2015 Sep;37(9):829-39. doi: 10.1016/j.medengphy.2015.05.014. Epub 2015 Jul 7.
4
Pharmacokinetic analysis of the chronic administration of the inert gases Xe and Ar using a physiological based model.使用基于生理学的模型对惰性气体氙气(Xe)和氩气(Ar)进行长期给药的药代动力学分析。
Med Gas Res. 2015 May 29;5:8. doi: 10.1186/s13618-015-0029-z. eCollection 2015.
5
Xenon consumption during general surgery: a retrospective observational study.普通外科手术中的氙气消耗:一项回顾性观察研究。
Med Gas Res. 2013 Jun 11;3(1):12. doi: 10.1186/2045-9912-3-12.
6
Theoretical context-sensitive elimination times for inhalation anaesthetics.吸入麻醉剂的理论上下文敏感消除时间。
Br J Anaesth. 2010 May;104(5):648-55. doi: 10.1093/bja/aeq051. Epub 2010 Mar 16.
7
The neuroprotective effects of xenon and helium in an in vitro model of traumatic brain injury.氙气和氦气在创伤性脑损伤体外模型中的神经保护作用。
Crit Care Med. 2008 Feb;36(2):588-95. doi: 10.1097/01.CCM.0B013E3181611F8A6.
8
Implementation of a transit compartment model for describing drug absorption in pharmacokinetic studies.用于在药代动力学研究中描述药物吸收的转运室模型的实施。
J Pharmacokinet Pharmacodyn. 2007 Oct;34(5):711-26. doi: 10.1007/s10928-007-9066-0. Epub 2007 Jul 26.
9
Xenon: elemental anaesthesia in clinical practice.氙气:临床实践中的元素麻醉
Br Med Bull. 2005 Feb 22;71:115-35. doi: 10.1093/bmb/ldh034. Print 2004.
10
Xenon: no stranger to anaesthesia.氙气:麻醉领域并不陌生的物质。
Br J Anaesth. 2003 Nov;91(5):709-17. doi: 10.1093/bja/aeg232.