• 文献检索
  • 文档翻译
  • 深度研究
  • 学术资讯
  • Suppr Zotero 插件Zotero 插件
  • 邀请有礼
  • 套餐&价格
  • 历史记录
应用&插件
Suppr Zotero 插件Zotero 插件浏览器插件Mac 客户端Windows 客户端微信小程序
定价
高级版会员购买积分包购买API积分包
服务
文献检索文档翻译深度研究API 文档MCP 服务
关于我们
关于 Suppr公司介绍联系我们用户协议隐私条款
关注我们

Suppr 超能文献

核心技术专利:CN118964589B侵权必究
粤ICP备2023148730 号-1Suppr @ 2026

文献检索

告别复杂PubMed语法,用中文像聊天一样搜索,搜遍4000万医学文献。AI智能推荐,让科研检索更轻松。

立即免费搜索

文件翻译

保留排版,准确专业,支持PDF/Word/PPT等文件格式,支持 12+语言互译。

免费翻译文档

深度研究

AI帮你快速写综述,25分钟生成高质量综述,智能提取关键信息,辅助科研写作。

立即免费体验

苦参毛状根培养物中多酚化合物的评价及药理活性研究

Evaluation of Polyphenolic Compounds and Pharmacological Activities in Hairy Root Cultures of Turcz. f. (Nakai).

机构信息

Department of Epidemic Disease Research, Institutes for Research and Medical Consultations (IRMC), Imam Abdulrahman Bin Faisal University, Dammam 31441, Saudi Arabia.

Department of Applied Bioscience, College of Life and Environmental Sciences, Konkuk University, Seoul 05029, Korea.

出版信息

Molecules. 2019 Apr 22;24(8):1586. doi: 10.3390/molecules24081586.

DOI:10.3390/molecules24081586
PMID:31013652
原文链接:https://pmc.ncbi.nlm.nih.gov/articles/PMC6515212/
Abstract

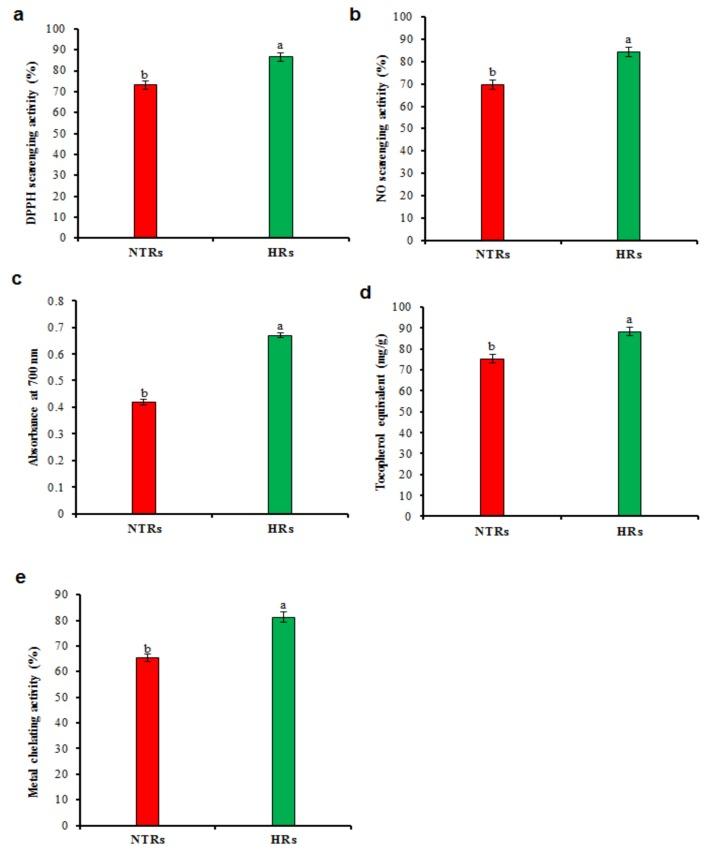
A considerable amount of bioactive compounds have been used for the biopharmaceutical engineering to help human health and nutrition. Hairy root culture (HRC) or transgenic root is a favourable alternative technique for phytochemical production. is a significant source of pharmaceutically important active compounds with an enormous range of health care applications. HRC of was developed using for the production of polyphenolic compounds with antioxidant, antimicrobial, antidiabetic, anticancer and anti-inflammatory pharmaceutical activities. Hairy roots (HRs) were selected by morphological assessment, genetic and molecular analyses. The maximum accumulation of fresh mass (94.15 g/L) and dry mass (9.45 g/L) was recorded in MS liquid medium supplemented with 30 g/L sucrose at 28 days. Furthermore, HRs successfully produced numerous polyphenolic compounds, including six hydroxycinnamic acids, seven flavonols, seven hydroxybenzoic acids, vanillin, resveratrol, pyrogallol, homogentisic, and veratric acids, which were identified by UHPLC analysis. HRs produced higher total phenolic (185.65 mg/g), and flavonoid (5.25 mg/g) contents than non-transformed roots (125.55 mg/g and 3.75 mg/g). As a result of these metabolic changes, pharmaceutical activities were found higher in HRs than non-transformed roots (NTRs). The present study indicates that HRC has the potential to increase the content of beneficial polyphenolic compounds with higher potential pharmaceutical activities. To the best of our knowledge, the present study is the first report on enhancing the production of polyphenolic compounds with pharmaceutical activities from the HRCs of .

摘要

大量生物活性化合物已被用于生物制药工程,以帮助人类健康和营养。发根培养(HRC)或转基因根是植物化学物质生产的一种有利替代技术。 是具有广泛医疗保健应用的药用活性化合物的重要来源。使用 为了生产具有抗氧化、抗菌、抗糖尿病、抗癌和抗炎药物活性的多酚化合物,开发了 的 HRC。通过形态评估、遗传和分子分析选择了发根(HRs)。在补充有 30 g/L 蔗糖的 MS 液体培养基中,在第 28 天记录到最大鲜重(94.15 g/L)和干重(9.45 g/L)积累。此外,HRs 成功地产生了许多多酚化合物,包括六种羟基肉桂酸、七种类黄酮、七种羟基苯甲酸、香草醛、白藜芦醇、焦儿茶酸、原儿茶酸、和藜芦酸,这些化合物通过 UHPLC 分析得到鉴定。HRs 产生的总酚(185.65 mg/g)和类黄酮(5.25 mg/g)含量高于非转化根(125.55 mg/g 和 3.75 mg/g)。由于这些代谢变化,HRs 中的药物活性高于非转化根(NTRs)。本研究表明,HRC 具有增加有益多酚化合物含量的潜力,这些化合物具有更高的潜在药物活性。据我们所知,本研究是首次报道从 的 HRCs 中增强具有药物活性的多酚化合物的生产。

https://cdn.ncbi.nlm.nih.gov/pmc/blobs/9e24/6515212/8a9395805f59/molecules-24-01586-g006.jpg
https://cdn.ncbi.nlm.nih.gov/pmc/blobs/9e24/6515212/6e7e2a66337f/molecules-24-01586-g002.jpg
https://cdn.ncbi.nlm.nih.gov/pmc/blobs/9e24/6515212/b0b38b6e8fbb/molecules-24-01586-g004.jpg
https://cdn.ncbi.nlm.nih.gov/pmc/blobs/9e24/6515212/6c047d67e7c6/molecules-24-01586-g005.jpg
https://cdn.ncbi.nlm.nih.gov/pmc/blobs/9e24/6515212/8a9395805f59/molecules-24-01586-g006.jpg
https://cdn.ncbi.nlm.nih.gov/pmc/blobs/9e24/6515212/6e7e2a66337f/molecules-24-01586-g002.jpg
https://cdn.ncbi.nlm.nih.gov/pmc/blobs/9e24/6515212/b0b38b6e8fbb/molecules-24-01586-g004.jpg
https://cdn.ncbi.nlm.nih.gov/pmc/blobs/9e24/6515212/6c047d67e7c6/molecules-24-01586-g005.jpg
https://cdn.ncbi.nlm.nih.gov/pmc/blobs/9e24/6515212/8a9395805f59/molecules-24-01586-g006.jpg

相似文献

1
Evaluation of Polyphenolic Compounds and Pharmacological Activities in Hairy Root Cultures of Turcz. f. (Nakai).苦参毛状根培养物中多酚化合物的评价及药理活性研究
Molecules. 2019 Apr 22;24(8):1586. doi: 10.3390/molecules24081586.
2
Production of anthraquinones, phenolic compounds and biological activities from hairy root cultures of Polygonum multiflorum Thunb.何首乌毛状根培养物中蒽醌、酚类化合物的产生及生物活性
Protoplasma. 2014 May;251(3):555-66. doi: 10.1007/s00709-013-0554-3. Epub 2013 Oct 3.
3
Genetic Transformation and Hairy Root Induction Enhance the Antioxidant Potential of L.遗传转化和毛状根诱导增强了L.的抗氧化潜力
Oxid Med Cell Longev. 2017;2017:5604746. doi: 10.1155/2017/5604746. Epub 2017 Aug 1.
4
Effect of silver nanoparticles on phenolic compounds production and biological activities in hairy root cultures of Cucumis anguria.银纳米颗粒对刺角瓜毛状根培养物中酚类化合物生成及生物活性的影响。
Acta Biol Hung. 2018 Mar;69(1):97-109. doi: 10.1556/018.68.2018.1.8.
5
Influence of silver nanoparticles on the enhancement and transcriptional changes of glucosinolates and phenolic compounds in genetically transformed root cultures of Brassica rapa ssp. rapa.银纳米粒子对 Brassica rapa ssp. rapa 遗传转化根培养物中硫代葡萄糖苷和酚类化合物的增强和转录变化的影响。
Bioprocess Biosyst Eng. 2018 Nov;41(11):1665-1677. doi: 10.1007/s00449-018-1991-3. Epub 2018 Jul 28.
6
Evaluation of polyphenol composition and biological activities of two samples from summer and winter seasons of Ligularia fischeri var. Spiciformis Nakai.蹄叶橐吾变种(Ligularia fischeri var. Spiciformis Nakai)夏季和冬季两个样本的多酚成分及生物活性评估
Acta Biol Hung. 2015 Jun;66(2):179-91. doi: 10.1556/018.66.2015.2.5.
7
Effect of different strains for hairy root induction, total phenolic, flavonoids contents, antibacterial and antioxidant activity of ().不同菌株对()毛状根诱导、总酚含量、黄酮类化合物含量、抗菌和抗氧化活性的影响。
Saudi J Biol Sci. 2020 Nov;27(11):2972-2979. doi: 10.1016/j.sjbs.2020.08.050. Epub 2020 Sep 6.
8
Induction of hairy roots by -mediated transformation of spine gourd ( Roxb. ex. willd) for the assessment of phenolic compounds and biological activities.通过农杆菌介导的苦瓜(Roxb. ex. willd)转化诱导毛状根以评估酚类化合物和生物活性。
Sci Hortic. 2016 Jan 26;198:132-141. doi: 10.1016/j.scienta.2015.11.035. Epub 2015 Dec 14.
9
Enhanced production of phenolic compounds in hairy root cultures of Polygonum multiflorum and its metabolite discrimination using HPLC and FT-IR methods.采用 HPLC 和 FT-IR 方法提高何首乌毛状根培养物中酚类化合物的产量及其代谢产物的鉴别。
Appl Microbiol Biotechnol. 2018 Nov;102(22):9563-9575. doi: 10.1007/s00253-018-9359-9. Epub 2018 Sep 14.
10
Methyl jasmonate enhances ursolic, oleanolic and rosmarinic acid production and sucrose induced biomass accumulation, in hairy roots of .茉莉酸甲酯可提高毛状根中熊果酸、齐墩果酸和迷迭香酸的产量以及蔗糖诱导的生物量积累。
PeerJ. 2021 Apr 27;9:e11279. doi: 10.7717/peerj.11279. eCollection 2021.

引用本文的文献

1
Houtt. Transformed Hairy Root Cultures as an Effective Platform for Producing Phenolic Compounds with Strong Bactericidal Properties.侯特。转化毛状根培养物作为生产具有强杀菌特性酚类化合物的有效平台。
Int J Mol Sci. 2025 Jan 3;26(1):362. doi: 10.3390/ijms26010362.
2
Production of Phenolic Compounds and Antioxidant Activity in Hairy Root Cultures of ..毛状根培养物中酚类化合物的产生及抗氧化活性
Plants (Basel). 2023 Nov 13;12(22):3840. doi: 10.3390/plants12223840.
3
Phytochemicals and bioactive constituents in food packaging - A systematic review.

本文引用的文献

1
Induction of hairy roots by -mediated transformation of spine gourd ( Roxb. ex. willd) for the assessment of phenolic compounds and biological activities.通过农杆菌介导的苦瓜(Roxb. ex. willd)转化诱导毛状根以评估酚类化合物和生物活性。
Sci Hortic. 2016 Jan 26;198:132-141. doi: 10.1016/j.scienta.2015.11.035. Epub 2015 Dec 14.
2
Elicitation of silver nanoparticles enhanced the secondary metabolites and pharmacological activities in cell suspension cultures of bitter gourd.银纳米颗粒的诱导增强了苦瓜细胞悬浮培养物中的次生代谢产物和药理活性。
3 Biotech. 2018 Oct;8(10):412. doi: 10.1007/s13205-018-1439-0. Epub 2018 Sep 14.
3
食品包装中的植物化学物质和生物活性成分——一项系统综述。
Heliyon. 2023 Oct 24;9(11):e21196. doi: 10.1016/j.heliyon.2023.e21196. eCollection 2023 Nov.
4
Hairy Root Cultures as a Source of Phenolic Antioxidants: Simple Phenolics, Phenolic Acids, Phenylethanoids, and Hydroxycinnamates.发根培养物作为酚类抗氧化剂的来源:简单酚类、酚酸、苯乙醇类和羟基肉桂酸酯。
Int J Mol Sci. 2023 Apr 7;24(8):6920. doi: 10.3390/ijms24086920.
5
Identification of drought-responsive phenolic compounds and their biosynthetic regulation under drought stress in .干旱胁迫下[具体植物名称未给出]中干旱响应酚类化合物的鉴定及其生物合成调控
Front Plant Sci. 2023 Feb 13;14:1140509. doi: 10.3389/fpls.2023.1140509. eCollection 2023.
6
Phytochemical Composition and Antioxidant and Anti-Inflammatory Activities of Turcz: A Comparison between Leaf and Root Extracts.Turcz的植物化学成分、抗氧化及抗炎活性:叶提取物与根提取物的比较
Plants (Basel). 2022 Nov 7;11(21):3005. doi: 10.3390/plants11213005.
7
Hairy Root Cultures as a Source of Polyphenolic Antioxidants: Flavonoids, Stilbenoids and Hydrolyzable Tannins.毛状根培养物作为多酚类抗氧化剂的来源:黄酮类、芪类和可水解单宁。
Plants (Basel). 2022 Jul 27;11(15):1950. doi: 10.3390/plants11151950.
8
Response of physiological parameters in Dionaea muscipula J. Ellis teratomas transformed with rolB oncogene.匙叶茅膏菜 rolB 癌基因转化体生理参数的响应。
BMC Plant Biol. 2021 Nov 29;21(1):564. doi: 10.1186/s12870-021-03320-y.
9
MeJA Elicitation of Chicory Hairy Roots Promotes Efficient Increase of 3,5-diCQA Accumulation, a Potent Antioxidant and Antibacterial Molecule.茉莉酸甲酯诱导菊苣毛状根促进高效增加3,5-二咖啡酰奎宁酸的积累,3,5-二咖啡酰奎宁酸是一种有效的抗氧化和抗菌分子。
Antibiotics (Basel). 2020 Sep 30;9(10):659. doi: 10.3390/antibiotics9100659.
10
Role of Resveratrol in Regulating Cutaneous Functions.白藜芦醇在调节皮肤功能中的作用。
Evid Based Complement Alternat Med. 2020 Apr 14;2020:2416837. doi: 10.1155/2020/2416837. eCollection 2020.
Influence of different strains on hairy root induction and analysis of phenolic and flavonoid compounds in marshmallow ( L.).
不同菌株对药用蜀葵毛状根诱导的影响及酚类和黄酮类化合物分析
3 Biotech. 2018 Aug;8(8):351. doi: 10.1007/s13205-018-1375-z. Epub 2018 Jul 31.
4
Flavonoids as Therapeutic Agents in Alzheimer's and Parkinson's Diseases: A Systematic Review of Preclinical Evidences.黄酮类化合物作为阿尔茨海默病和帕金森病的治疗剂:临床前证据的系统评价。
Oxid Med Cell Longev. 2018 May 10;2018:7043213. doi: 10.1155/2018/7043213. eCollection 2018.
5
Antioxidant activity, total phenolics and flavonoids contents: Should we ban in vitro screening methods?抗氧化活性、总酚和类黄酮含量:我们是否应该禁止体外筛选方法?
Food Chem. 2018 Oct 30;264:471-475. doi: 10.1016/j.foodchem.2018.04.012. Epub 2018 Apr 11.
6
L. hairy root culture as a source of compounds with antiviral activity against influenza virus subtypes А(H5N1) and А(H3N2).毛状根培养作为抗甲型(H5N1)和甲型(H3N2)流感病毒亚型的具有抗病毒活性化合物的来源。
3 Biotech. 2018 Jun;8(6):260. doi: 10.1007/s13205-018-1280-5. Epub 2018 May 15.
7
Elite hairy roots of (L.) as a source of antioxidants and flavonoids.作为抗氧化剂和黄酮类化合物来源的精英毛状根。(这里原文中植物名缺失,括号内应该是植物学名,翻译时按实际学名补上即可)
3 Biotech. 2018 Feb;8(2):128. doi: 10.1007/s13205-018-1153-y. Epub 2018 Feb 13.
8
Inhibition of α-glucosidase, α-amylase, and aldose reductase by potato polyphenolic compounds.马铃薯多酚化合物对α-葡萄糖苷酶、α-淀粉酶和醛糖还原酶的抑制作用。
PLoS One. 2018 Jan 25;13(1):e0191025. doi: 10.1371/journal.pone.0191025. eCollection 2018.
9
Enhanced production of phenolic acids in cell suspension culture of Salvia leriifolia Benth. using growth regulators and sucrose.利用生长调节剂和蔗糖提高糙苏细胞悬浮培养中酚酸的产量。
Cytotechnology. 2018 Apr;70(2):741-750. doi: 10.1007/s10616-017-0178-0. Epub 2018 Jan 18.
10
Determination of lignans, phenolic acids and antioxidant capacity in transformed hairy root culture of Linum usitatissimum.亚麻转基因毛状根培养物中木脂素、酚酸及抗氧化能力的测定
Nat Prod Res. 2018 Aug;32(15):1867-1871. doi: 10.1080/14786419.2017.1405405. Epub 2017 Nov 20.