Suppr超能文献

婴儿从坐立到行走过程中姿势和互动行为的变化:一项纵向研究。

Changes in Posture and Interactive Behaviors as Infants Progress From Sitting to Walking: A Longitudinal Study.

作者信息

Thurman Sabrina L, Corbetta Daniela

机构信息

Department of Psychology, Elon University, Elon, NC, United States.

Department of Psychology, The University of Tennessee, Knoxville, Knoxville, TN, United States.

出版信息

Front Psychol. 2019 Apr 12;10:822. doi: 10.3389/fpsyg.2019.00822. eCollection 2019.

Abstract

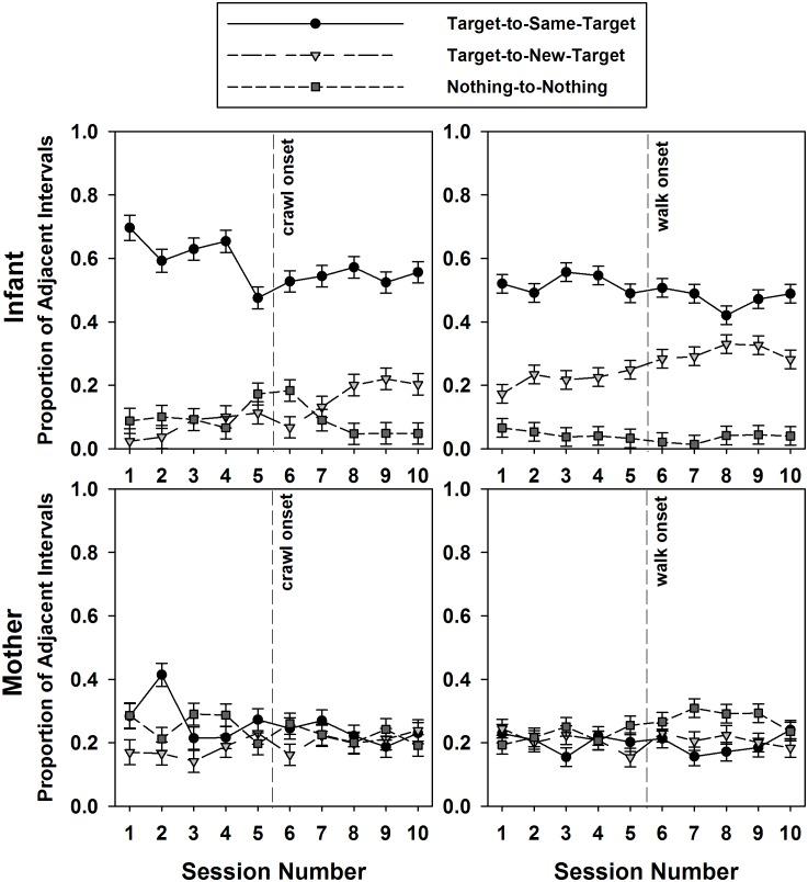
This longitudinal study assessed how infants and mothers used different postures and modulated their interactions with their surroundings as the infants progressed from sitting to walking. Thirteen infants and their mothers were observed biweekly throughout this developmental period during 10 min laboratory free-play sessions. For every session, we tracked the range of postures mothers and infants produced (e.g., sitting, kneeling, and standing), we assessed the type of interactions they naturally engaged in (no interactions, passive involvement, fine motor manipulation, or gross motor activity), and documented all target transitions. During the crawling transition period, when infants used sitting postures, they engaged mainly in fine motor manipulations of targets and often maintained their activity on the same target. As infants became mobile, their rate of fine motor manipulation declined during sitting but increased while kneeling/squatting. During the walking transition, their interactions with targets became more passive, particularly when sitting and standing, but they also engaged in greater gross motor activity while continuing to use squatting/kneeling postures for fine motor manipulations. The walking period was also marked by an increase in target changes and more frequent posture changes during object interactions. Throughout this developmental period, mothers produced mainly no or passive activity during sitting, kneeling/squatting, and standing. As expected, during this developmental span, infants used their body in increasingly varied ways to explore and interact with their environment, but more importantly, progression in posture variations significantly altered how infants manually interacted with their surrounding world.

摘要

这项纵向研究评估了随着婴儿从坐立发展到行走,婴儿和母亲如何使用不同姿势并调节他们与周围环境的互动。在10分钟的实验室自由玩耍环节中,在这个发育阶段每两周对13名婴儿及其母亲进行观察。对于每个环节,我们追踪母亲和婴儿所呈现的姿势范围(例如,坐、跪和站),评估他们自然参与的互动类型(无互动、被动参与、精细运动操作或大运动活动),并记录所有目标转变。在爬行过渡阶段,当婴儿采用坐姿时,他们主要进行对目标的精细运动操作,并且经常在同一目标上保持活动。随着婴儿开始活动,他们在坐姿时的精细运动操作频率下降,但在跪姿/蹲姿时增加。在行走过渡阶段,他们与目标的互动变得更加被动,尤其是在坐和站的时候,但他们在继续使用蹲姿/跪姿进行精细运动操作的同时,也进行了更多的大运动活动。行走阶段的特点还包括目标变化增加以及在物体互动期间姿势变化更频繁。在整个发育阶段,母亲在坐、跪/蹲和站时主要表现为无活动或被动活动。正如预期的那样,在这个发育阶段,婴儿越来越多地以不同方式使用身体来探索和与环境互动,但更重要的是,姿势变化的进展显著改变了婴儿与周围世界的手动互动方式。

https://cdn.ncbi.nlm.nih.gov/pmc/blobs/13d9/6473077/378ca8ec7235/fpsyg-10-00822-g001.jpg

文献检索

告别复杂PubMed语法,用中文像聊天一样搜索,搜遍4000万医学文献。AI智能推荐,让科研检索更轻松。

立即免费搜索

文件翻译

保留排版,准确专业,支持PDF/Word/PPT等文件格式,支持 12+语言互译。

免费翻译文档

深度研究

AI帮你快速写综述,25分钟生成高质量综述,智能提取关键信息,辅助科研写作。

立即免费体验