Department of Public Health, College of Health Sciences, University of Massachusetts Lowell, Lowell, MA, USA.
Department of Environmental Health, College of Public Health, Imam Abdulrahman Bin Faisal University, Dammam, Saudi Arabia.
Ann Work Expo Health. 2019 May 21;63(5):505-520. doi: 10.1093/annweh/wxz033.
Excessive heat exposure poses significant risks to workers in hot climates. This study assessed the intensity and duration of heat stress exposure among workers performing residential construction in southeastern Saudi Arabia (SA) during the summer, June-September 2016. Objectives were to: identify work factors related to heat stress exposure; measure environmental heat exposure at the construction sites; assess the heat stress risk among workers using the wet bulb globe temperature (WBGT) index; and determine if temperature-humidity indices can be appropriate alternatives to WBGT for managing heat stress risk at the construction sites.
Worksite walkthrough surveys and environmental monitoring were performed, indoors and outdoors, at 10 construction sites in Al-Ahsa Province. A heat stress exposure assessment was conducted according to the American Conference of Governmental Industrial Hygienists (ACGIH®) guidelines, which uses the WBGT index. WBGT measurements from two instruments were compared. Alternative heat stress indices were compared to the WBGT: the heat index (HI) and humidex (HD) index.
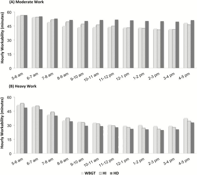
Construction workers were exposed to excessive heat stress, indoors and outdoors over a large part of the work day. Complying with a midday outdoor work ban (12-3 p.m.) was not effective in reducing heat stress risk. The highest intensity of exposure was outdoors from 9 a.m. to 12 p.m.; a period identified with the highest hourly mean WBGT values (31-33°C) and the least allowable working time according to ACGIH® guidelines. Comparison of the alternative indices showed that the HI is more reliable than the HD as a surrogate for the WBGT index in the climate studied.
The extreme heat exposure represents a serious risk. The severity of heat stress and its impact are projected to increase due to climate change, emphasizing the need for immediate improvement of the current required protective measures and the development of occupational heat stress exposure guidelines in SA.
高温环境会对在炎热气候下工作的工人造成重大风险。本研究评估了 2016 年 6 月至 9 月沙特阿拉伯东南部(SA)从事住宅建筑工人的热应激暴露强度和持续时间。目的是:确定与热应激暴露相关的工作因素;测量建筑工地的环境热暴露;使用湿球黑球温度(WBGT)指数评估工人的热应激风险;并确定温度湿度指数是否可以作为替代 WBGT 来管理建筑工地的热应激风险。
在 Al-Ahsa 省的 10 个建筑工地进行了现场巡查调查和环境监测,包括室内和室外。根据美国政府工业卫生学家会议(ACGIH®)指南进行了热应激暴露评估,该指南使用 WBGT 指数。比较了两种仪器的 WBGT 测量值。替代热应激指数与 WBGT 进行了比较:热指数(HI)和湿球温度指数(HD)。
建筑工人在很大一部分工作日内都暴露在室内和室外的过度热应激中。遵守中午户外工作禁令(12-3 点)并不能有效降低热应激风险。暴露强度最高的是从上午 9 点到 12 点的室外;这一时间段被确定为每小时平均 WBGT 值(31-33°C)最高和根据 ACGIH®指南允许的工作时间最短的时间段。替代指数的比较表明,在研究的气候条件下,HI 比 HD 更可靠,是 WBGT 指数的替代指标。
极端高温暴露是一个严重的风险。由于气候变化,热应激的严重程度及其影响预计会增加,这强调了立即改进当前所需的保护措施和制定沙特阿拉伯职业热应激暴露指南的必要性。