• 文献检索
  • 文档翻译
  • 深度研究
  • 学术资讯
  • Suppr Zotero 插件Zotero 插件
  • 邀请有礼
  • 套餐&价格
  • 历史记录
应用&插件
Suppr Zotero 插件Zotero 插件浏览器插件Mac 客户端Windows 客户端微信小程序
定价
高级版会员购买积分包购买API积分包
服务
文献检索文档翻译深度研究API 文档MCP 服务
关于我们
关于 Suppr公司介绍联系我们用户协议隐私条款
关注我们

Suppr 超能文献

核心技术专利:CN118964589B侵权必究
粤ICP备2023148730 号-1Suppr @ 2026

文献检索

告别复杂PubMed语法,用中文像聊天一样搜索,搜遍4000万医学文献。AI智能推荐,让科研检索更轻松。

立即免费搜索

文件翻译

保留排版,准确专业,支持PDF/Word/PPT等文件格式,支持 12+语言互译。

免费翻译文档

深度研究

AI帮你快速写综述,25分钟生成高质量综述,智能提取关键信息,辅助科研写作。

立即免费体验

一项针对野生环境中养殖和野生大西洋鲑鱼的大规模共同花园研究揭示了对幼鲑产量的影响以及适应性特征的变化。

An extensive common-garden study with domesticated and wild Atlantic salmon in the wild reveals impact on smolt production and shifts in fitness traits.

作者信息

Skaala Øystein, Besnier Francois, Borgstrøm Reidar, Barlaup BjørnTorgeir, Sørvik Anne Grete, Normann Eirik, Østebø Britt Iren, Hansen Michael Møller, Glover Kevin Alan

机构信息

Institute of Marine Research Nordnes, Bergen Norway.

Faculty of Environmental Sciences and Natural Resource Management Ås Norway.

出版信息

Evol Appl. 2019 Mar 6;12(5):1001-1016. doi: 10.1111/eva.12777. eCollection 2019 Jun.

DOI:10.1111/eva.12777
PMID:31080511
原文链接:https://pmc.ncbi.nlm.nih.gov/articles/PMC6503829/
Abstract

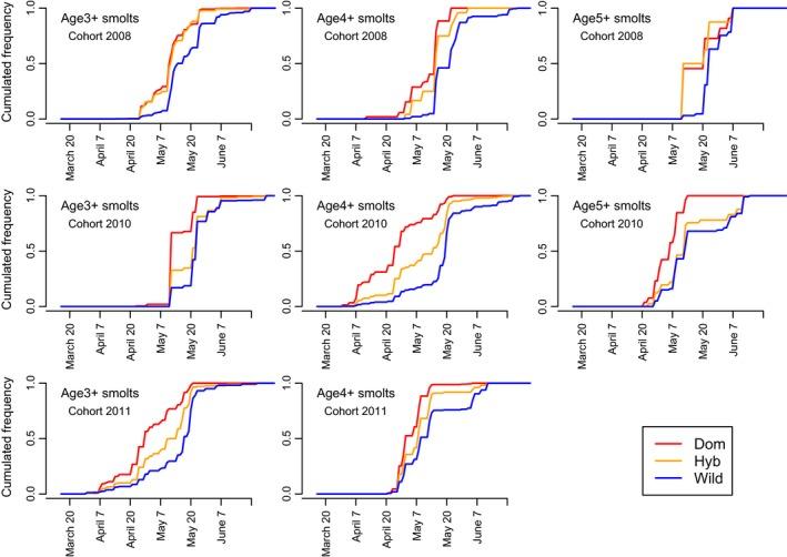
Interactions between domesticated escapees and wild conspecifics represent a threat to the genetic integrity and fitness of native populations. For Atlantic salmon, the recurrent presence of large numbers of domesticated escapees in the wild makes it necessary to better understand their impacts on native populations. We planted 254,400 eggs from 75 families of domesticated, F1-hybrid, and wild salmon in a river containing up- and downstream traps. Additionally, 41,630 hatchery smolts of the same pedigrees were released into the river. Over 8 years, 6,669 out-migrating smolts and 356 returning adults were recaptured and identified to their families of origin with DNA. In comparison with wild salmon, domesticated fish had substantially lower egg to smolt survival (1.8% vs. 3.8% across cohorts), they migrated earlier in the year (11.8 days earlier across years), but they only displayed marginally larger smolt sizes and marginally lower smolt ages. Upon return to freshwater, domesticated salmon were substantially larger at age than wild salmon (2.4 vs. 2.0, 4.8 vs. 3.2, and 8.5 vs. 5.6 kg across sexes for 1, 2, and 3 sea-winter fish) and displayed substantially lower released smolt to adult survival (0.41% vs. 0.94% across releases). Overall, egg-to-returning adult survival ratios were 1:0.76:0.30 and 1:0.44:0.21 for wild:F1-hybrid:domesticated salmon, respectively, using two different types of data. This study represents the most updated and extensive analysis of domesticated, hybrid, and wild salmon in the wild and provides the first documentation of a clear genetic difference in the timing of smolt migration-an adaptive trait presumed to be linked with optimal timing of entry to seawater. We conclude that spawning and hybridization of domesticated escapees can lead to (i) reduced wild smolt output and therefore wild adult abundance, through resource competition in freshwater, (ii) reduced total adult abundance due to freshwater competition and reduced marine survival of domesticated salmon, and (iii) maladaptive changes in phenotypic traits.

摘要

养殖逃逸个体与野生同种个体之间的相互作用对本地种群的遗传完整性和适应性构成了威胁。对于大西洋鲑鱼而言,野外大量养殖逃逸个体的反复出现使得有必要更好地了解它们对本地种群的影响。我们在一条设有上下游陷阱的河流中投放了来自75个家系的养殖鲑鱼、F1杂交鲑鱼和野生鲑鱼的254,400枚鱼卵。此外,还向河中放流了41,630尾相同谱系的孵化场培育的幼鲑。在8年的时间里,共捕获了6,669尾洄游的幼鲑和356尾洄游的成年鲑鱼,并通过DNA鉴定出它们的原家系。与野生鲑鱼相比,养殖鱼的鱼卵到幼鲑的存活率显著较低(各群体分别为1.8%和3.8%),它们在一年中洄游得更早(多年平均提前11.8天),但幼鲑的体型仅略大,年龄略小。回到淡水区域后,养殖鲑鱼在成年时的体型比野生鲑鱼大得多(1龄、2龄和3龄越冬鱼的雌雄个体体重分别为2.4千克对2.0千克、4.8千克对3.2千克、8.5千克对5.6千克),且放流的幼鲑到成年的存活率显著较低(各放流批次分别为0.41%和0.94%)。总体而言,使用两种不同类型的数据,野生鲑鱼、F1杂交鲑鱼和养殖鲑鱼从鱼卵到洄游成年鲑鱼的存活率分别为1:0.76:0.30和1:0.44:0.21。这项研究代表了对野外养殖、杂交和野生鲑鱼的最新且广泛的分析,并首次记录了幼鲑洄游时间上明显的遗传差异——这是一种被认为与进入海水的最佳时间相关的适应性特征。我们得出结论,养殖逃逸个体的产卵和杂交可能导致:(i)由于淡水环境中的资源竞争,野生幼鲑产量减少以及野生成年鲑鱼数量减少;(ii)由于淡水竞争和养殖鲑鱼海洋存活率降低,成年鲑鱼总数减少;(iii)表型性状的适应不良变化。

https://cdn.ncbi.nlm.nih.gov/pmc/blobs/59cc/6503829/9b68e08de529/EVA-12-1001-g007.jpg
https://cdn.ncbi.nlm.nih.gov/pmc/blobs/59cc/6503829/685c2575c568/EVA-12-1001-g001.jpg
https://cdn.ncbi.nlm.nih.gov/pmc/blobs/59cc/6503829/becc926287fb/EVA-12-1001-g002.jpg
https://cdn.ncbi.nlm.nih.gov/pmc/blobs/59cc/6503829/e365b76a039e/EVA-12-1001-g003.jpg
https://cdn.ncbi.nlm.nih.gov/pmc/blobs/59cc/6503829/32b4fd9be046/EVA-12-1001-g004.jpg
https://cdn.ncbi.nlm.nih.gov/pmc/blobs/59cc/6503829/2ca7d6070ffc/EVA-12-1001-g005.jpg
https://cdn.ncbi.nlm.nih.gov/pmc/blobs/59cc/6503829/a669bfb2a075/EVA-12-1001-g006.jpg
https://cdn.ncbi.nlm.nih.gov/pmc/blobs/59cc/6503829/9b68e08de529/EVA-12-1001-g007.jpg
https://cdn.ncbi.nlm.nih.gov/pmc/blobs/59cc/6503829/685c2575c568/EVA-12-1001-g001.jpg
https://cdn.ncbi.nlm.nih.gov/pmc/blobs/59cc/6503829/becc926287fb/EVA-12-1001-g002.jpg
https://cdn.ncbi.nlm.nih.gov/pmc/blobs/59cc/6503829/e365b76a039e/EVA-12-1001-g003.jpg
https://cdn.ncbi.nlm.nih.gov/pmc/blobs/59cc/6503829/32b4fd9be046/EVA-12-1001-g004.jpg
https://cdn.ncbi.nlm.nih.gov/pmc/blobs/59cc/6503829/2ca7d6070ffc/EVA-12-1001-g005.jpg
https://cdn.ncbi.nlm.nih.gov/pmc/blobs/59cc/6503829/a669bfb2a075/EVA-12-1001-g006.jpg
https://cdn.ncbi.nlm.nih.gov/pmc/blobs/59cc/6503829/9b68e08de529/EVA-12-1001-g007.jpg

相似文献

1
An extensive common-garden study with domesticated and wild Atlantic salmon in the wild reveals impact on smolt production and shifts in fitness traits.一项针对野生环境中养殖和野生大西洋鲑鱼的大规模共同花园研究揭示了对幼鲑产量的影响以及适应性特征的变化。
Evol Appl. 2019 Mar 6;12(5):1001-1016. doi: 10.1111/eva.12777. eCollection 2019 Jun.
2
Introgression of domesticated salmon changes life history and phenology of a wild salmon population.驯化鲑鱼的基因渗入改变了野生鲑鱼种群的生活史和物候。
Evol Appl. 2022 Apr 11;15(5):853-864. doi: 10.1111/eva.13375. eCollection 2022 May.
3
Comparing the migration behavior and survival of Atlantic salmon (Salmo salar) and brown trout (Salmo trutta) smolts.比较大西洋鲑(Salmo salar)和褐鳟(Salmo trutta)幼鱼的洄游行为和存活情况。
J Fish Biol. 2024 Apr 15. doi: 10.1111/jfb.15749.
4
Modeling fitness changes in wild Atlantic salmon populations faced by spawning intrusion of domesticated escapees.模拟野生大西洋鲑鱼种群因养殖逃逸者的产卵入侵而面临的适应性变化。
Evol Appl. 2018 Mar 23;11(6):1010-1025. doi: 10.1111/eva.12615. eCollection 2018 Jul.
5
Judging a salmon by its spots: environmental variation is the primary determinant of spot patterns in Salmo salar.以貌取人:环境变化是决定三文鱼斑点模式的主要因素。
BMC Ecol. 2018 Apr 12;18(1):14. doi: 10.1186/s12898-018-0170-3.
6
Domestication-induced reduction in eye size revealed in multiple common garden experiments: The case of Atlantic salmon ( L.).在多个共同花园实验中揭示的驯化导致的眼睛大小减小:以大西洋鲑(L.)为例
Evol Appl. 2021 Sep 21;14(9):2319-2332. doi: 10.1111/eva.13297. eCollection 2021 Sep.
7
Out of sync: monitoring the time of sea entry of wild and hatchery salmon Salmo salar smolt using floating passive-integrated transponder antennae.不同步:使用漂浮式被动集成应答器天线监测野生和孵化场养殖的大西洋鲑幼鲑入海时间
J Fish Biol. 2018 Sep;93(3):455-464. doi: 10.1111/jfb.13648.
8
Implications for introgression: has selection for fast growth altered the size threshold for precocious male maturation in domesticated Atlantic salmon?基因渐渗的影响:快速生长的选择是否改变了养殖大西洋鲑鱼雄性早熟的大小阈值?
BMC Evol Biol. 2018 Dec 18;18(1):188. doi: 10.1186/s12862-018-1294-y.
9
Predicting how environmental conditions and smolt body length when entering the marine environment impact individual Atlantic salmon Salmo salar adult return rates.预测进入海洋环境时的环境条件和幼鱼体长如何影响大西洋鲑鱼 Salmo salar 个体的成鱼回游率。
J Fish Biol. 2022 Aug;101(2):378-388. doi: 10.1111/jfb.14946. Epub 2021 Nov 28.
10
Estimating multiple years, tributary-specific, and overall Atlantic salmon smolt abundance in a large Canadian catchment using capture-mark-recapture experiments.利用标记重捕实验估算加拿大一个大型集水区内多年来、特定支流以及整个大西洋鲑幼鱼的数量。
J Fish Biol. 2024 Mar;104(3):681-697. doi: 10.1111/jfb.15586. Epub 2023 Nov 28.

引用本文的文献

1
Genetic Recovery of Two Wild Seatrout Populations Following Long-Term Stocking With Non-Native Conspecifics.长期投放非本地同种个体后两个野生海鳟种群的遗传恢复
Mol Ecol. 2025 Sep;34(17):e70036. doi: 10.1111/mec.70036. Epub 2025 Jul 12.
2
A common garden experiment in the wild reveals heritable differences in migration tendencies among brown trout populations.一项野外的共同花园实验揭示了褐鳟种群在洄游倾向方面的可遗传差异。
J Fish Biol. 2025 Jun;106(6):1816-1830. doi: 10.1111/jfb.16068. Epub 2025 Feb 6.
3
Genetic evidence of a hybrid swarm between Alpine ibex () and domestic goat ().

本文引用的文献

1
Cryptic introgression: evidence that selection and plasticity mask the full phenotypic potential of domesticated Atlantic salmon in the wild.隐性基因渐渗:选择和可塑性掩盖了野生驯化大西洋三文鱼全部表型潜能的证据。
Sci Rep. 2018 Sep 18;8(1):13966. doi: 10.1038/s41598-018-32467-2.
2
Modeling fitness changes in wild Atlantic salmon populations faced by spawning intrusion of domesticated escapees.模拟野生大西洋鲑鱼种群因养殖逃逸者的产卵入侵而面临的适应性变化。
Evol Appl. 2018 Mar 23;11(6):1010-1025. doi: 10.1111/eva.12615. eCollection 2018 Jul.
3
Timing of Atlantic salmon Salmo salar smolt migration predicts successful passage through a reservoir.
阿尔卑斯野山羊()和家山羊()之间杂交群的遗传证据。
Evol Appl. 2024 Jul 28;17(8):e13761. doi: 10.1111/eva.13761. eCollection 2024 Aug.
4
Genetic analyses verify sexually mature escaped farmed Atlantic cod and farmed cod eggs in the natural environment.基因分析证实,在自然环境中存在性成熟的逃逸养殖大西洋鳕鱼和养殖鳕鱼卵。
Evol Appl. 2024 Apr 17;17(4):e13688. doi: 10.1111/eva.13688. eCollection 2024 Apr.
5
Genomic evidence of recent European introgression into North American farmed and wild Atlantic salmon.近期欧洲基因渗入北美养殖和野生大西洋鲑鱼的基因组证据。
Evol Appl. 2022 Aug 24;15(9):1436-1448. doi: 10.1111/eva.13454. eCollection 2022 Sep.
6
Introgression of domesticated salmon changes life history and phenology of a wild salmon population.驯化鲑鱼的基因渗入改变了野生鲑鱼种群的生活史和物候。
Evol Appl. 2022 Apr 11;15(5):853-864. doi: 10.1111/eva.13375. eCollection 2022 May.
7
Time series covering up to four decades reveals major changes and drivers of marine growth and proportion of repeat spawners in an Atlantic salmon population.长达四十年的时间序列揭示了大西洋鲑鱼种群中海洋生长和重复产卵者比例的主要变化及驱动因素。
Ecol Evol. 2022 Apr 2;12(4):e8780. doi: 10.1002/ece3.8780. eCollection 2022 Apr.
8
Ecological regime shift in the Northeast Atlantic Ocean revealed from the unprecedented reduction in marine growth of Atlantic salmon.大西洋鲑鱼海洋生长的空前减少揭示了东北大西洋的生态 regime 转变。 注:这里“regime”不太明确准确意思,可结合上下文进一步确定准确译名,比如“状态、模式、机制”等。
Sci Adv. 2022 Mar 4;8(9):eabk2542. doi: 10.1126/sciadv.abk2542.
9
Introgression from farmed escapees affects the full life cycle of wild Atlantic salmon.养殖逃逸鱼的基因渗入会影响野生大西洋鲑的整个生命周期。
Sci Adv. 2021 Dec 24;7(52):eabj3397. doi: 10.1126/sciadv.abj3397. Epub 2021 Dec 22.
10
Environment-driven reprogramming of gamete DNA methylation occurs during maturation and is transmitted intergenerationally in Atlantic Salmon.环境驱动的配子 DNA 甲基化重编程发生在成熟过程中,并在大西洋鲑鱼中世代传递。
G3 (Bethesda). 2021 Dec 8;11(12). doi: 10.1093/g3journal/jkab353.
大西洋鲑鱼幼鲑洄游的时间预测其能否成功通过水库。
J Fish Biol. 2018 May;92(5):1651-1656. doi: 10.1111/jfb.13606. Epub 2018 Apr 6.
4
Timing is everything: Fishing-season placement may represent the most important angling-induced evolutionary pressure on Atlantic salmon populations.时机至关重要:垂钓季节的安排可能是对大西洋鲑鱼种群最重要的由垂钓引发的进化压力。
Ecol Evol. 2017 Aug 11;7(18):7490-7502. doi: 10.1002/ece3.3304. eCollection 2017 Sep.
5
Gene flow from domesticated escapes alters the life history of wild Atlantic salmon.来自驯化逃逸个体的基因流动改变了野生大西洋鲑的生活史。
Nat Ecol Evol. 2017 Apr 10;1(5):124. doi: 10.1038/s41559-017-0124.
6
Assessment of interbreeding and introgression of farm genes into a small Scottish Atlantic salmon Salmo salar stock: ad hoc samples - ad hoc results?对农场基因渗入和杂交进入一小群苏格兰大西洋鲑(Salmo salar)种群的评估:临时样本——临时结果?
J Fish Biol. 2016 Dec;89(6):2680-2696. doi: 10.1111/jfb.13173. Epub 2016 Oct 12.
7
A common garden design reveals population-specific variability in potential impacts of hybridization between populations of farmed and wild Atlantic salmon, Salmo salar L.一种常见的园圃设计揭示了养殖大西洋鲑(Salmo salar L.)和野生大西洋鲑种群之间杂交潜在影响的种群特异性变异性。
Evol Appl. 2016 Jan 27;9(3):435-49. doi: 10.1111/eva.12346. eCollection 2016 Mar.
8
Thermal plasticity in farmed, wild and hybrid Atlantic salmon during early development: has domestication caused divergence in low temperature tolerance?养殖、野生和杂交大西洋鲑早期发育过程中的热可塑性:驯化是否导致了低温耐受性的差异?
BMC Evol Biol. 2016 Feb 16;16:38. doi: 10.1186/s12862-016-0607-2.
9
The vgll3 Locus Controls Age at Maturity in Wild and Domesticated Atlantic Salmon (Salmo salar L.) Males.vgll3基因座控制野生和养殖大西洋鲑(Salmo salar L.)雄鱼的成熟年龄。
PLoS Genet. 2015 Nov 9;11(11):e1005628. doi: 10.1371/journal.pgen.1005628. eCollection 2015 Nov.
10
Sex-dependent dominance at a single locus maintains variation in age at maturity in salmon.性别的单一基因座优势维持了鲑鱼成熟年龄的变异。
Nature. 2015 Dec 17;528(7582):405-8. doi: 10.1038/nature16062. Epub 2015 Nov 4.