Suppr超能文献

定义 EGFR 扩增状态以纳入临床试验。

Defining EGFR amplification status for clinical trial inclusion.

机构信息

Department of Neurology, Erasmus Medical Center Cancer Institute, Rotterdam, Netherlands.

Carlo Besta Neurological Institute, Milan, Italy.

出版信息

Neuro Oncol. 2019 Oct 9;21(10):1263-1272. doi: 10.1093/neuonc/noz096.

Abstract

BACKGROUND

Precision medicine trials targeting the epidermal growth factor receptor (EGFR) in glioblastoma patients require selection for EGFR-amplified tumors. However, there is currently no gold standard in determining the amplification status of EGFR or variant III (EGFRvIII) expression. Here, we aimed to determine which technique and which cutoffs are suitable to determine EGFR amplification status.

METHODS

We compared fluorescence in-situ hybridization (FISH) and real-time quantitative (RT-q)PCR data from patients screened for trial inclusion into the Intellance 2 clinical trial, with data from a panel-based next generation sequencing (NGS) platform (both DNA and RNA).

RESULTS

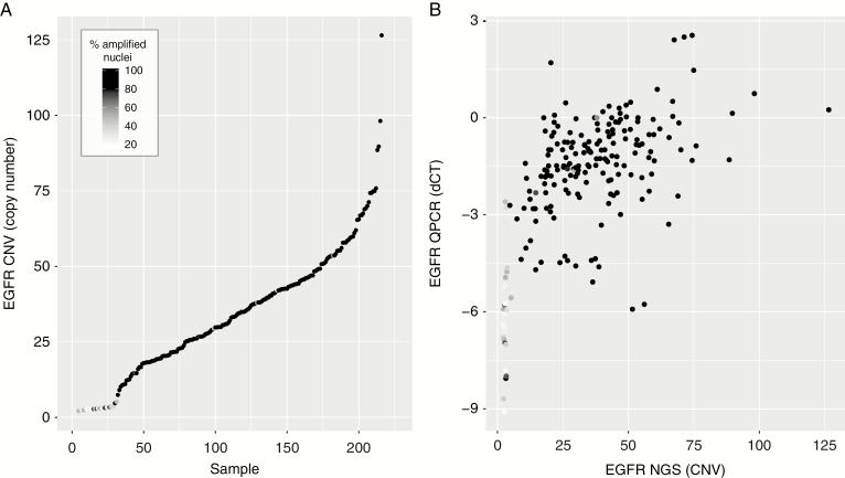
By using data from >1000 samples, we show that at least 50% of EGFR amplified nuclei should be present to define EGFR gene amplification by FISH. Gene amplification (as determined by FISH) correlates with EGFR expression levels (as determined by RT-qPCR) with receiver operating characteristics analysis showing an area under the curve of up to 0.902. EGFR expression as assessed by RT-qPCR therefore may function as a surrogate marker for EGFR amplification. Our NGS data show that EGFR copy numbers can strongly vary between tumors, with levels ranging from 2 to more than 100 copies per cell. Levels exceeding 5 gene copies can be used to define EGFR-amplification by NGS; below this level, FISH detects very few (if any) EGFR amplified nuclei and none of the samples express EGFRvIII.

CONCLUSION

Our data from central laboratories and diagnostic sequencing facilities, using material from patients eligible for clinical trial inclusion, help define the optimal cutoff for various techniques to determine EGFR amplification for diagnostic purposes.

摘要

背景

针对胶质母细胞瘤患者表皮生长因子受体 (EGFR) 的精准医学试验需要针对 EGFR 扩增肿瘤进行选择。然而,目前尚无确定 EGFR 扩增状态或变体 III(EGFRvIII)表达的金标准。在这里,我们旨在确定哪种技术和哪种截止值适合确定 EGFR 扩增状态。

方法

我们比较了筛选参加 Intellance 2 临床试验的患者的荧光原位杂交 (FISH) 和实时定量 (RT-q)PCR 数据与基于面板的下一代测序 (NGS) 平台的数据(DNA 和 RNA)。

结果

通过使用来自>1000 个样本的数据,我们表明,通过 FISH 定义 EGFR 基因扩增至少需要存在 50%的 EGFR 扩增核。基因扩增(通过 FISH 确定)与 EGFR 表达水平相关(通过 RT-qPCR 确定),接受者操作特征分析显示曲线下面积高达 0.902。因此,通过 RT-qPCR 评估的 EGFR 表达可作为 EGFR 扩增的替代标志物。我们的 NGS 数据显示,肿瘤之间的 EGFR 拷贝数可以强烈变化,水平范围从每个细胞 2 个到 100 多个拷贝。可以使用超过 5 个基因拷贝数来通过 NGS 定义 EGFR 扩增;低于此水平,FISH 检测到非常少(如果有的话)EGFR 扩增核,并且没有一个样本表达 EGFRvIII。

结论

我们来自中央实验室和诊断测序设施的数据,使用有资格参加临床试验的患者的材料,有助于为诊断目的确定各种技术确定 EGFR 扩增的最佳截止值。

https://cdn.ncbi.nlm.nih.gov/pmc/blobs/b5b4/6784284/14294550b1f6/noz096f0001.jpg

相似文献

1
Defining EGFR amplification status for clinical trial inclusion.
Neuro Oncol. 2019 Oct 9;21(10):1263-1272. doi: 10.1093/neuonc/noz096.
2
Simultaneous detection of EGFR amplification and EGFRvIII variant using digital PCR-based method in glioblastoma.
Acta Neuropathol Commun. 2020 Apr 17;8(1):52. doi: 10.1186/s40478-020-00917-6.
3
Epidermal growth factor receptor (EGFR) amplification rates observed in screening patients for randomized trials in glioblastoma.
J Neurooncol. 2019 Aug;144(1):205-210. doi: 10.1007/s11060-019-03222-y. Epub 2019 Jul 4.
4
New pattern of EGFR amplification in glioblastoma and the relationship of gene copy number with gene expression profile.
Mod Pathol. 2010 Jun;23(6):856-65. doi: 10.1038/modpathol.2010.62. Epub 2010 Mar 19.
5
Comparison of Biomarker Assays for : Implications for Precision Medicine in Patients with Glioblastoma.
Clin Cancer Res. 2019 Jun 1;25(11):3259-3265. doi: 10.1158/1078-0432.CCR-18-3034. Epub 2019 Feb 22.
8
Beyond sequence variation: assessment of copy number variation in adult glioblastoma through targeted tumor somatic profiling.
Hum Pathol. 2019 Apr;86:170-181. doi: 10.1016/j.humpath.2018.12.004. Epub 2018 Dec 27.
10
Clinical significance of EGFR amplification and the aberrant EGFRvIII transcript in conventionally treated astrocytic gliomas.
J Mol Med (Berl). 2005 Nov;83(11):917-26. doi: 10.1007/s00109-005-0700-2. Epub 2005 Aug 26.

引用本文的文献

2
Pyrotinib targeted EGFR/GRP78 mediated cell apoptosis in high EGFR gene copy number gastric cancer.
J Exp Clin Cancer Res. 2025 Aug 19;44(1):245. doi: 10.1186/s13046-025-03485-6.
4
Rapid diagnosis of adult-type diffuse glioma using a layered scheme.
BMC Med. 2025 Jun 2;23(1):325. doi: 10.1186/s12916-025-04124-9.
5
Transcriptomic analysis of co-expression and activation in glioblastoma reveals associations with its ligands.
Neurooncol Adv. 2024 Dec 28;7(1):vdae229. doi: 10.1093/noajnl/vdae229. eCollection 2025 Jan-Dec.
6
Multikinase Treatment of Glioblastoma: Evaluating the Rationale for Regorafenib.
Cancers (Basel). 2025 Jan 23;17(3):375. doi: 10.3390/cancers17030375.
7
The clinical impact of EGFR alterations in elderly glioblastoma patients: results from a real-life cohort.
J Neurooncol. 2025 Feb;171(3):619-628. doi: 10.1007/s11060-024-04879-w. Epub 2024 Nov 16.
9
Molecular diversity in isocitrate dehydrogenase-wild-type glioblastoma.
Brain Commun. 2024 Mar 27;6(2):fcae108. doi: 10.1093/braincomms/fcae108. eCollection 2024.

本文引用的文献

1
Targeted next-generation sequencing panel (TruSight Tumor 170) in diffuse glioma: a single institutional experience of 135 cases.
J Neurooncol. 2019 May;142(3):445-454. doi: 10.1007/s11060-019-03114-1. Epub 2019 Feb 1.
2
Finding the Right Way to Target EGFR in Glioblastomas; Lessons from Lung Adenocarcinomas.
Cancers (Basel). 2018 Dec 4;10(12):489. doi: 10.3390/cancers10120489.
9
Extrachromosomal oncogene amplification drives tumour evolution and genetic heterogeneity.
Nature. 2017 Mar 2;543(7643):122-125. doi: 10.1038/nature21356. Epub 2017 Feb 8.
10
Clonal evolution of glioblastoma under therapy.
Nat Genet. 2016 Jul;48(7):768-76. doi: 10.1038/ng.3590. Epub 2016 Jun 6.

文献AI研究员

20分钟写一篇综述,助力文献阅读效率提升50倍。

立即体验

用中文搜PubMed

大模型驱动的PubMed中文搜索引擎

马上搜索

文档翻译

学术文献翻译模型,支持多种主流文档格式。

立即体验