• 文献检索
  • 文档翻译
  • 深度研究
  • 学术资讯
  • Suppr Zotero 插件Zotero 插件
  • 邀请有礼
  • 套餐&价格
  • 历史记录
应用&插件
Suppr Zotero 插件Zotero 插件浏览器插件Mac 客户端Windows 客户端微信小程序
定价
高级版会员购买积分包购买API积分包
服务
文献检索文档翻译深度研究API 文档MCP 服务
关于我们
关于 Suppr公司介绍联系我们用户协议隐私条款
关注我们

Suppr 超能文献

核心技术专利:CN118964589B侵权必究
粤ICP备2023148730 号-1Suppr @ 2026

文献检索

告别复杂PubMed语法,用中文像聊天一样搜索,搜遍4000万医学文献。AI智能推荐,让科研检索更轻松。

立即免费搜索

文件翻译

保留排版,准确专业,支持PDF/Word/PPT等文件格式,支持 12+语言互译。

免费翻译文档

深度研究

AI帮你快速写综述,25分钟生成高质量综述,智能提取关键信息,辅助科研写作。

立即免费体验

缺血性损伤:一种新方法加速大鼠胫骨骨折模型中的骨愈合。

Ischemia Injury: A New Method Accelerates Bone Healing in a Rat Tibia Fracture Model.

机构信息

Department of Orthopedics, Beijing Chaoyang Hospital, Capital Medical University, Beijing 100020, China.

出版信息

Biomed Res Int. 2019 Apr 16;2019:6592464. doi: 10.1155/2019/6592464. eCollection 2019.

DOI:10.1155/2019/6592464
PMID:31139643
原文链接:https://pmc.ncbi.nlm.nih.gov/articles/PMC6500703/
Abstract

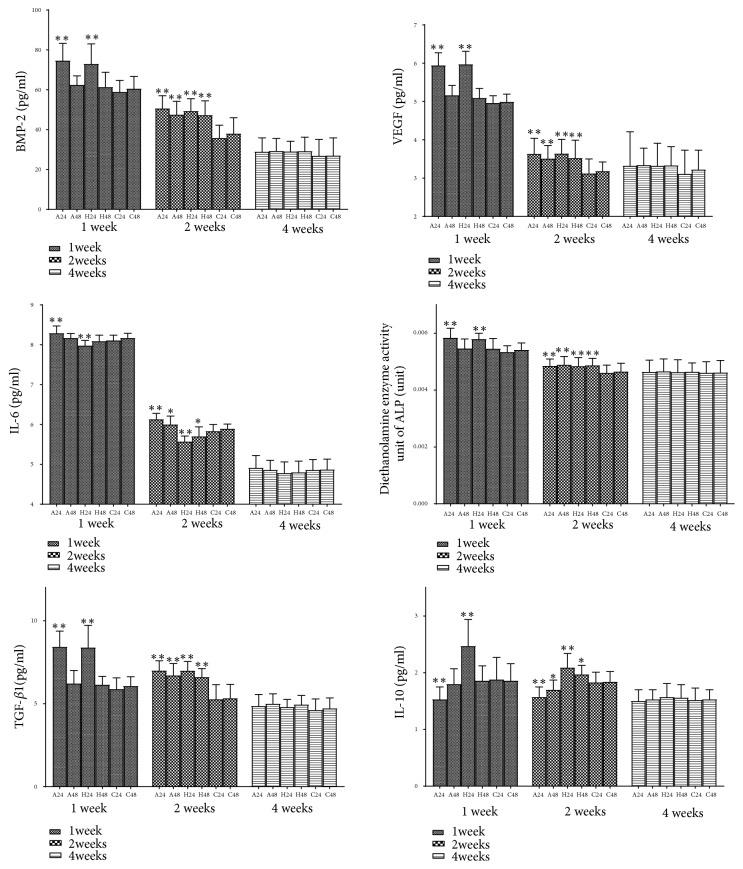
To find a simple and noninvasive method to promote fracture healing, we are trying to explore whether repetitive brief ischemia would promote bone healing. 88 rats divided into 6 groups were used to make right tibia closed fracture caused by the heavy weight collision method. Healthy side groups received homemade tourniquet placed on left and affected side group placed on right thigh 10 min inflated/10 min deflated 3 times every 24 hours or 48 hours after tibia fractured. Rats in control groups received homemade tourniquet uninflated placed on right thigh 1 hour every 24 hours or 48 hours. X-rays were checked at 1, 2, and 4 weeks. Micro-CT inspected the bone healing at 2 and 4 weeks. Serum cytokines, such as bone morphogenetic protein-2 (BMP-2), vascular endothelial growth factor (VEGF), diethanolamine enzyme activity unit of alkaline phosphatase (ALP) and transforming growth factor-1 (TGF-1), interleukin 10 (IL-10) and interleukin 6 (IL-6), were checked at 1, 2, and 4 weeks. Local histology was evaluated at 2 weeks. HE dye and BMP-2, VEGF, TGF-, and ALP immunohistochemical stains were made. Callus areas of posterior-anterior and lateral views were calculated and repetitive brief ischemia increased the callus areas ratio at 1 and 2 weeks. Besides, from micro-CT results, repetitive brief ischemia increased the bone volume (BV) at 2 and 4 weeks and also increased the total bone tissue volume (TV) at 2 weeks and BV/TV at 4 weeks. The serum cytokines, such as BMP-2, VEGF, diethanolamine enzyme activity unit of ALP and TGF-1, have increased by repetitive brief ischemia at 1, 2 weeks. It is opposite of affected side group that the level of serum IL-10 increased and IL-6 decreased in healthy side group at 1, 2 weeks. Repetitive brief ischemia increased the callus area at 2 weeks and boosted the synthesis of BMP-2, VEGF, TGF-, and ALP in the fracture region at 2 weeks from tissue stains. Repetitive brief ischemia promotes bone healing no matter on the affected side or the healthy side limb.

摘要

为了寻找一种简单、无创的方法来促进骨折愈合,我们试图探索重复短暂性缺血是否会促进骨愈合。使用 88 只大鼠,通过重物撞击的方法造成右侧胫骨闭合性骨折,将其分为 6 组。健康侧组在左侧和患侧组在右侧大腿使用自制止血带,每 24 小时充气/放气 3 次,每次 10 分钟,在胫骨骨折后即刻开始。对照组每 24 小时在右侧大腿使用自制未充气的止血带 1 小时。在第 1、2、4 周进行 X 射线检查。在第 2 和 4 周使用 micro-CT 检查骨愈合情况。在第 1、2 和 4 周检测血清细胞因子,如骨形态发生蛋白-2(BMP-2)、血管内皮生长因子(VEGF)、二乙醇胺酶活性单位碱性磷酸酶(ALP)和转化生长因子-1(TGF-1)、白细胞介素 10(IL-10)和白细胞介素 6(IL-6)。在第 2 周进行局部组织学评估。进行 HE 染色和 BMP-2、VEGF、TGF-和 ALP 免疫组织化学染色。计算前后位和侧位的骨痂面积,重复短暂性缺血可增加 1 周和 2 周时的骨痂面积比。此外,从 micro-CT 结果来看,重复短暂性缺血可增加 2 周和 4 周时的骨体积(BV),并可增加 2 周时的总骨组织体积(TV)和 4 周时的 BV/TV。重复短暂性缺血可增加血清细胞因子,如 BMP-2、VEGF、ALP 的二乙醇胺酶活性单位和 TGF-1,在 1 周和 2 周时增加。在健康侧组中,与患侧组相反,血清 IL-10 在 1 周和 2 周时增加,IL-6 减少。重复短暂性缺血可增加 2 周时的骨痂面积,并从组织染色中增加 2 周时骨折区域 BMP-2、VEGF、TGF-和 ALP 的合成。重复短暂性缺血无论在患侧还是健侧肢体均能促进骨愈合。

https://cdn.ncbi.nlm.nih.gov/pmc/blobs/fecb/6500703/8261f0d7aa07/BMRI2019-6592464.008.jpg
https://cdn.ncbi.nlm.nih.gov/pmc/blobs/fecb/6500703/6577b90bdd72/BMRI2019-6592464.001.jpg
https://cdn.ncbi.nlm.nih.gov/pmc/blobs/fecb/6500703/978622adc4dd/BMRI2019-6592464.002.jpg
https://cdn.ncbi.nlm.nih.gov/pmc/blobs/fecb/6500703/96ce832ab9d9/BMRI2019-6592464.003.jpg
https://cdn.ncbi.nlm.nih.gov/pmc/blobs/fecb/6500703/ac5b97d68cf8/BMRI2019-6592464.004.jpg
https://cdn.ncbi.nlm.nih.gov/pmc/blobs/fecb/6500703/4f134a461148/BMRI2019-6592464.005.jpg
https://cdn.ncbi.nlm.nih.gov/pmc/blobs/fecb/6500703/cb80114577f9/BMRI2019-6592464.006.jpg
https://cdn.ncbi.nlm.nih.gov/pmc/blobs/fecb/6500703/ce3054e9a192/BMRI2019-6592464.007.jpg
https://cdn.ncbi.nlm.nih.gov/pmc/blobs/fecb/6500703/8261f0d7aa07/BMRI2019-6592464.008.jpg
https://cdn.ncbi.nlm.nih.gov/pmc/blobs/fecb/6500703/6577b90bdd72/BMRI2019-6592464.001.jpg
https://cdn.ncbi.nlm.nih.gov/pmc/blobs/fecb/6500703/978622adc4dd/BMRI2019-6592464.002.jpg
https://cdn.ncbi.nlm.nih.gov/pmc/blobs/fecb/6500703/96ce832ab9d9/BMRI2019-6592464.003.jpg
https://cdn.ncbi.nlm.nih.gov/pmc/blobs/fecb/6500703/ac5b97d68cf8/BMRI2019-6592464.004.jpg
https://cdn.ncbi.nlm.nih.gov/pmc/blobs/fecb/6500703/4f134a461148/BMRI2019-6592464.005.jpg
https://cdn.ncbi.nlm.nih.gov/pmc/blobs/fecb/6500703/cb80114577f9/BMRI2019-6592464.006.jpg
https://cdn.ncbi.nlm.nih.gov/pmc/blobs/fecb/6500703/ce3054e9a192/BMRI2019-6592464.007.jpg
https://cdn.ncbi.nlm.nih.gov/pmc/blobs/fecb/6500703/8261f0d7aa07/BMRI2019-6592464.008.jpg

相似文献

1
Ischemia Injury: A New Method Accelerates Bone Healing in a Rat Tibia Fracture Model.缺血性损伤:一种新方法加速大鼠胫骨骨折模型中的骨愈合。
Biomed Res Int. 2019 Apr 16;2019:6592464. doi: 10.1155/2019/6592464. eCollection 2019.
2
Morphologic and molecular alteration during tibia fracture healing in rat.大鼠胫骨骨折愈合过程中的形态和分子改变。
Eur Rev Med Pharmacol Sci. 2018 Mar;22(5):1233-1240. doi: 10.26355/eurrev_201803_14463.
3
Repetitive brief ischemia accelerates tibial shaft fracture healing: a 5-years prospective preliminary clinical trial (PCT).反复短暂性缺血加速胫骨骨干骨折愈合:一项 5 年前瞻性初步临床试验 (PCT)。
BMC Musculoskelet Disord. 2021 Jul 20;22(1):631. doi: 10.1186/s12891-021-04515-y.
4
[Effects of isopsoralen on tibial fracture and vascular healing in mice].[补骨脂素对小鼠胫骨骨折及血管愈合的影响]
Zhongguo Gu Shang. 2023 Dec 25;36(12):1169-76. doi: 10.12200/j.issn.1003-0034.2023.12.012.
5
Knockout of TLR4 promotes fracture healing by activating Wnt/β-catenin signaling pathway.TLR4 基因敲除通过激活 Wnt/β-catenin 信号通路促进骨折愈合。
Pathol Res Pract. 2020 Feb;216(2):152766. doi: 10.1016/j.prp.2019.152766. Epub 2019 Nov 26.
6
Green Tea Catechin (-)-Epigallocatechin-3-Gallate (EGCG) Facilitates Fracture Healing.绿茶儿茶素 (-)-表没食子儿茶素-3-没食子酸酯(EGCG)促进骨折愈合。
Biomolecules. 2020 Apr 16;10(4):620. doi: 10.3390/biom10040620.
7
[Effect of brain injury on expression of bone morphogenetic protein 2 in fracture healing process].[脑损伤对骨折愈合过程中骨形态发生蛋白2表达的影响]
Zhongguo Xiu Fu Chong Jian Wai Ke Za Zhi. 2007 Oct;21(10):1040-4.
8
Differential bone turnover in an angulated fracture model in the rat.大鼠成角骨折模型中的骨转换差异
Calcif Tissue Int. 2004 Jul;75(1):50-9. doi: 10.1007/s00223-004-0206-x.
9
The effect of semaphorin 3A on fracture healing in osteoporotic rats.信号素3A对骨质疏松大鼠骨折愈合的影响。
J Orthop Sci. 2015 Nov;20(6):1114-21. doi: 10.1007/s00776-015-0771-z. Epub 2015 Sep 11.
10
Local administration of activin promotes fracture healing in the rat fibula fracture model.在大鼠腓骨骨折模型中,局部给予激活素可促进骨折愈合。
Bone. 1999 Aug;25(2):191-6. doi: 10.1016/s8756-3282(99)00152-0.

引用本文的文献

1
Replacement Process of Carbonate Apatite by Alveolar Bone in a Rat Extraction Socket.大鼠拔牙窝内牙槽骨对碳酸磷灰石的替代过程
Materials (Basel). 2021 Aug 9;14(16):4457. doi: 10.3390/ma14164457.
2
Repetitive brief ischemia accelerates tibial shaft fracture healing: a 5-years prospective preliminary clinical trial (PCT).反复短暂性缺血加速胫骨骨干骨折愈合:一项 5 年前瞻性初步临床试验 (PCT)。
BMC Musculoskelet Disord. 2021 Jul 20;22(1):631. doi: 10.1186/s12891-021-04515-y.

本文引用的文献

1
Hypoxic preconditioning enhances cell hypoxia tolerance and correlated lncRNA and mRNA analysis.低氧预处理增强细胞耐缺氧能力及相关长链非编码 RNA 和信使 RNA 分析。
Life Sci. 2018 Sep 1;208:46-54. doi: 10.1016/j.lfs.2018.07.014. Epub 2018 Jul 9.
2
MicroRNA-218 Promotes Osteogenic Differentiation of Mesenchymal Stem Cells and Accelerates Bone Fracture Healing.微小 RNA-218 促进间充质干细胞的成骨分化并加速骨折愈合。
Calcif Tissue Int. 2018 Aug;103(2):227-236. doi: 10.1007/s00223-018-0410-8. Epub 2018 Mar 9.
3
H NMR metabolic signature of cerebrospinal fluid following repetitive lower-limb remote ischemia preconditioning.
重复下肢远程缺血预处理后脑脊液的 1H NMR 代谢特征。
Neurochem Int. 2018 Jun;116:95-103. doi: 10.1016/j.neuint.2018.02.009. Epub 2018 Feb 22.
4
Bone morphogenetic protein 7-transduced human dermal-derived fibroblast cells differentiate into osteoblasts and form bone in vivo.骨形态发生蛋白7转导的人真皮来源成纤维细胞在体内分化为成骨细胞并形成骨组织。
Connect Tissue Res. 2018 May;59(3):223-232. doi: 10.1080/03008207.2017.1353085. Epub 2017 Jul 31.
5
Role of Mesenchymal Stem Cells in Bone Regenerative Medicine: What Is the Evidence?间充质干细胞在骨再生医学中的作用:证据有哪些?
Cells Tissues Organs. 2017;204(2):59-83. doi: 10.1159/000469704. Epub 2017 Jun 24.
6
Low-intensity pulsed ultrasound does not influence bone healing by distraction osteogenesis: a multicentre double-blind randomised control trial.低强度脉冲超声不影响牵张成骨的骨愈合:一项多中心双盲随机对照试验。
Bone Joint J. 2017 Apr;99-B(4):494-502. doi: 10.1302/0301-620X.99B4.BJJ-2016-0559.R1.
7
The impact of fragility fracture and approaches to osteoporosis risk assessment worldwide.脆性骨折的影响及全球骨质疏松风险评估方法。
Bone. 2017 Nov;104:29-38. doi: 10.1016/j.bone.2017.01.024. Epub 2017 Jan 22.
8
Preconditioning in neuroprotection: From hypoxia to ischemia.预处理在神经保护中的作用:从低氧到缺血。
Prog Neurobiol. 2017 Oct;157:79-91. doi: 10.1016/j.pneurobio.2017.01.001. Epub 2017 Jan 18.
9
Osteoporosis: fracture epidemiology update 2016.骨质疏松症:2016 年骨折流行病学更新。
Curr Opin Rheumatol. 2017 Mar;29(2):150-156. doi: 10.1097/BOR.0000000000000365.
10
Remote ischemic conditioning: the enigmatic transfer of protection.远程缺血预处理:保护作用的神秘传递。
Cardiovasc Res. 2017 Jan;113(1):1-2. doi: 10.1093/cvr/cvw240.