Abene Esala Ezekiel, Gimba Zumnan Mark, Bello Ruth Nabe, Maga Alidzi Iliya, Agaba Emmanuel Idoko
Department of Medicine, Jos University Teaching Hospital, Jos, Plateau, Nigeria.
Renal Unit, Dalhatu Araf Specialist Hospital, Lafia, Nasarawa, Nigeria.
Niger Med J. 2017 Sep-Oct;58(5):156-159. doi: 10.4103/nmj.NMJ_236_16.
Hemodialysis (HD) is the main form of renal replacement therapy available in Nigeria. However, this is still largely unaffordable by individuals with resultant poor outcomes.
This was a retrospective study of all patients with renal failure who had dialysis in the renal unit of Dalhatu Araf Specialist Hospital over the past 2 years. Information retrieved included sex, age, cause of renal failure, human immunodeficiency virus status, hepatitis B surface antigen status, antibodies to hepatitis C virus status, number of sessions, total duration on dialysis (in weeks), use of erythropoietin (EPO), common problems encountered on the dialysis machine, and the outcome of the patient.
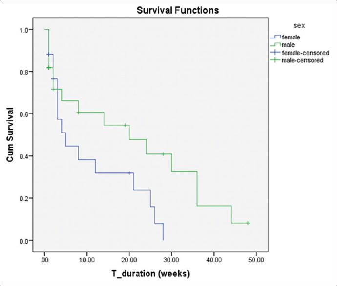
A total of 68 patients (50% males) were enrolled in the study. The mean age was 41 ± 15 years (17-75), and mean weight in kilograms was 64.3 ± 10.9 (42-87). Acute kidney injury was seen in 18 (26.5%), while 50 (73.5%) had end-stage renal disease (ESRD). Chronic glomerulonephritis was the leading cause of ESRD (46%) with autosomal dominant polycystic kidney disease being the least (2%). The mean packed cell volume at the start of dialysis was 25.7% ± 5.9%. Tunneled necklines were in 11 (16.8%) and femoral catheters were in 48 (70.6%). The median total number of sessions was 4.0 (1-136), while the median duration on dialysis was 1 week (1-48) with both sexes having the same duration on dialysis ( = 0.44). The average frequency of dialysis among those with ESRD was twice weekly. Only 15 (30.0%) of those with ESRD continued dialysis after 3 months. The median survival time for females was 5 weeks while that for the males was 20 weeks ( = 0.108). EPO use was in 12 (17.7%) being 4000 IU once weekly. Cramps complicated the first sessions of dialysis in 27 (39.7%) patients.
The survival of patients on HD in our environment is poor due largely to poor affordability despite its availability.
血液透析(HD)是尼日利亚可用的主要肾脏替代治疗形式。然而,这对个人来说仍然大多难以负担,导致治疗效果不佳。
这是一项对过去两年在达尔哈图·阿拉夫专科医院肾脏科接受透析的所有肾衰竭患者的回顾性研究。检索到的信息包括性别、年龄、肾衰竭病因、人类免疫缺陷病毒状态、乙肝表面抗原状态、丙肝病毒抗体状态、透析次数、透析总时长(以周计)、促红细胞生成素(EPO)的使用情况、透析机上遇到的常见问题以及患者的治疗结果。
共有68例患者(50%为男性)纳入研究。平均年龄为41±15岁(17 - 75岁),平均体重为64.3±10.9千克(42 - 87千克)。18例(26.5%)为急性肾损伤,而50例(73.5%)患有终末期肾病(ESRD)。慢性肾小球肾炎是ESRD的主要病因(46%),常染色体显性多囊肾病最少(2%)。透析开始时的平均红细胞压积为25.7%±5.9%。11例(16.8%)采用隧道式颈内导管,48例(70.6%)采用股静脉导管。透析总次数的中位数为4.0次(1 - 136次),透析时长的中位数为1周(1 - 48周),男女透析时长相同(P = 0.44)。ESRD患者的平均透析频率为每周两次。ESRD患者中只有15例(30.0%)在3个月后继续透析。女性的中位生存时间为5周,男性为20周(P = 0.108)。12例(17.7%)使用EPO,剂量为每周一次4000国际单位。27例(39.7%)患者在首次透析时出现痉挛。
在我们所处的环境中,尽管有血液透析可用,但由于可负担性差,接受HD治疗的患者生存率较低。