Suppr超能文献

用于显微镜的半永久性智能手机适配器:使用裂隙灯生物显微镜的设计演示和工作流程测试

Semi-permanent smartphone adapter for microscopes: Design demonstration and workflow testing using a slit-lamp biomicroscope.

作者信息

Yen Chieh-Hung, Wang Guo-Quan, Lin Tommy Y, Liu Chun-Hsiu

机构信息

Department of Ophthalmology, Chang Gung Memorial Hospital, Linkou Branch, Taoyuan, Taiwan.

Department of Ophthalmology, College of Medicine, Chang Gung University, Taoyuan, Taiwan.

出版信息

Taiwan J Ophthalmol. 2019 Apr-Jun;9(2):111-117. doi: 10.4103/tjo.tjo_19_18.

Abstract

BACKGROUND

A smartphone microscope adapter is an alternative to a permanently mounted camera, which often requires a specially designed light path as well as a computer system for data storage and network connectivity. A common disadvantage of these adapters is that they need to be repeatedly mounted and dismounted; this is inconvenient during serial observations.

PURPOSE

The study purpose is to develop and test a semi-permanent microscope adapter.

METHODS

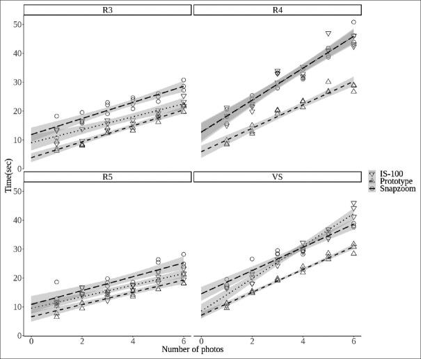
Our prototype was designed using three-dimensional (3D) computer-aided design software and was 3D printed for testing. Two tests were designed to quantify the workflow improvement by measuring the time required to complete specific movements, which simulated the actions of capturing photographs by using an adapter and a slit-lamp biomicroscope. Our prototype was the experimental adapter, and two commercially available products were used as references. A single-shot test measured the average time required to complete a photographing cycle, in which a single photograph was recorded. A multiple-shot test measured the time required to complete cycles in which a different number of photographs were captured; thus, the time required specifically for the preparation phase of photographing was determined. Both tests were performed by 4 researchers.

RESULTS

The average time required to complete a cycle using our prototype in single-shot test was significantly shorter than that using one of the references. For the other reference, significances were shown in 2 testers' results. In the multiple-shot test, the linear regression analysis also showed that the preparation phase of our prototype was significantly shorter than the preparation phase of the two commercially available products ( < 0.001).

CONCLUSIONS

The semi-permanent design may improve the workflow of photography using smartphone adapters, thereby reducing the time and effort required for preparing devices, particularly when making multiple consecutive observations or when the targets disappear fast.

摘要

背景

智能手机显微镜适配器是永久安装相机的一种替代方案,永久安装相机通常需要专门设计的光路以及用于数据存储和网络连接的计算机系统。这些适配器的一个常见缺点是需要反复安装和拆卸;在连续观察过程中这很不方便。

目的

本研究旨在开发并测试一种半永久性显微镜适配器。

方法

我们的原型使用三维(3D)计算机辅助设计软件进行设计,并通过3D打印进行测试。设计了两项测试来量化工作流程的改进,通过测量完成特定动作所需的时间,这些动作模拟了使用适配器和裂隙灯生物显微镜拍摄照片的操作。我们的原型是实验性适配器,使用两款市售产品作为参考。单次测试测量完成一个拍摄周期所需的平均时间,其中记录一张照片。多次拍摄测试测量完成拍摄不同数量照片的周期所需的时间;因此,确定了专门用于拍摄准备阶段所需的时间。两项测试均由4名研究人员进行。

结果

在单次测试中,使用我们的原型完成一个周期所需的平均时间明显短于使用其中一款参考产品。对于另一款参考产品,在2名测试人员的结果中显示出显著差异。在多次拍摄测试中,线性回归分析还表明,我们原型的准备阶段明显短于两款市售产品的准备阶段(<0.001)。

结论

半永久性设计可能会改善使用智能手机适配器进行摄影的工作流程,从而减少设备准备所需的时间和精力,特别是在进行多次连续观察或目标快速消失的情况下。

https://cdn.ncbi.nlm.nih.gov/pmc/blobs/aea0/6557070/3fdb6f9220e6/TJO-9-111-g001.jpg

文献AI研究员

20分钟写一篇综述,助力文献阅读效率提升50倍。

立即体验

用中文搜PubMed

大模型驱动的PubMed中文搜索引擎

马上搜索

文档翻译

学术文献翻译模型,支持多种主流文档格式。

立即体验