• 文献检索
  • 文档翻译
  • 深度研究
  • 学术资讯
  • Suppr Zotero 插件Zotero 插件
  • 邀请有礼
  • 套餐&价格
  • 历史记录
应用&插件
Suppr Zotero 插件Zotero 插件浏览器插件Mac 客户端Windows 客户端微信小程序
定价
高级版会员购买积分包购买API积分包
服务
文献检索文档翻译深度研究API 文档MCP 服务
关于我们
关于 Suppr公司介绍联系我们用户协议隐私条款
关注我们

Suppr 超能文献

核心技术专利:CN118964589B侵权必究
粤ICP备2023148730 号-1Suppr @ 2026

文献检索

告别复杂PubMed语法,用中文像聊天一样搜索,搜遍4000万医学文献。AI智能推荐,让科研检索更轻松。

立即免费搜索

文件翻译

保留排版,准确专业,支持PDF/Word/PPT等文件格式,支持 12+语言互译。

免费翻译文档

深度研究

AI帮你快速写综述,25分钟生成高质量综述,智能提取关键信息,辅助科研写作。

立即免费体验

1型发作性睡病活动记录仪记录的最佳时长研究

A study on the optimal length of actigraphic recording in narcolepsy type 1.

作者信息

Leger Damien, Tonetti Lorenzo, Gauriau Caroline, Faraut Brice, Elbaz Maxime, Sauvet Fabien, Natale Vincenzo

机构信息

Université Paris Descartes, APHP, Hôtel Dieu, Centre du Sommeil et de la Vigilance, Centre de référence hypersomnies rares et EA 7330 VIFASOM, 1 place du Parvis Notre-Dame, 75004 Paris, France.

Department of Psychology, University of Bologna, Viale Berti Pichat 5, 40127 Bologna, Italy.

出版信息

Clin Neurophysiol Pract. 2019 May 17;4:114-118. doi: 10.1016/j.cnp.2019.04.004. eCollection 2019.

DOI:10.1016/j.cnp.2019.04.004
PMID:31211287
原文链接:https://pmc.ncbi.nlm.nih.gov/articles/PMC6562260/
Abstract

OBJECTIVE

The aim of the present study was to assess the optimal length of actigraphic recordings in patients with narcolepsy type 1.

METHODS

A secondary analysis was carried out with the previously collected data in eleven patients with narcolepsy type 1. Ten of the 11 patients were medicated at the time of actigraphic recording. Each patient originally wore an Actiwatch AW64 actigraph for at least 28 consecutive days. Overall, the patients were analyzed for 308 nights.

RESULTS

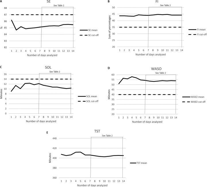
No significant differences were observed between the mean values of the 7-day and 14-day analyzed sets for the parameters sleep efficiency, fragmentation index, sleep onset latency, wake after sleep onset, and total sleep time.

CONCLUSIONS

Our data suggest that 7 days of actigraphic recording could be sufficient for these patients.

SIGNIFICANCE

Our results for the optimal length of actigraphic recording could be useful for both physicians and patients.

摘要

目的

本研究旨在评估1型发作性睡病患者活动记录仪记录的最佳时长。

方法

对之前收集的11例1型发作性睡病患者的数据进行二次分析。11例患者中有10例在进行活动记录仪记录时正在接受药物治疗。每位患者最初佩戴Actiwatch AW64活动记录仪至少连续28天。总体而言,对患者进行了308个夜晚的分析。

结果

在睡眠效率、片段化指数、入睡潜伏期、睡眠中觉醒和总睡眠时间等参数的7天和14天分析组平均值之间未观察到显著差异。

结论

我们的数据表明,7天的活动记录仪记录对这些患者可能就足够了。

意义

我们关于活动记录仪记录最佳时长的结果可能对医生和患者都有用。

https://cdn.ncbi.nlm.nih.gov/pmc/blobs/1b35/6562260/f392915793eb/gr2.jpg
https://cdn.ncbi.nlm.nih.gov/pmc/blobs/1b35/6562260/ee45c9c73b17/gr1.jpg
https://cdn.ncbi.nlm.nih.gov/pmc/blobs/1b35/6562260/f392915793eb/gr2.jpg
https://cdn.ncbi.nlm.nih.gov/pmc/blobs/1b35/6562260/ee45c9c73b17/gr1.jpg
https://cdn.ncbi.nlm.nih.gov/pmc/blobs/1b35/6562260/f392915793eb/gr2.jpg

相似文献

1
A study on the optimal length of actigraphic recording in narcolepsy type 1.1型发作性睡病活动记录仪记录的最佳时长研究
Clin Neurophysiol Pract. 2019 May 17;4:114-118. doi: 10.1016/j.cnp.2019.04.004. eCollection 2019.
2
Actigraphic assessment of sleep/wake behavior in central disorders of hypersomnolence.发作性睡病中枢性障碍中睡眠/觉醒行为的活动记录仪评估
Sleep Med. 2015 Jan;16(1):126-30. doi: 10.1016/j.sleep.2014.08.017. Epub 2014 Nov 13.
3
The role of actigraphy in the assessment of primary insomnia: a retrospective study.动作活动记录仪在原发性失眠评估中的作用:一项回顾性研究。
Sleep Med. 2014 Jan;15(1):111-5. doi: 10.1016/j.sleep.2013.08.792. Epub 2013 Nov 15.
4
Polysomnographic and actigraphic characteristics of patients with H1N1-vaccine-related and sporadic narcolepsy.H1N1疫苗相关和散发性发作性睡病患者的多导睡眠图和活动记录仪特征
Sleep Med. 2015 Jan;16(1):39-44. doi: 10.1016/j.sleep.2014.07.024. Epub 2014 Nov 7.
5
Using actigraphy to assess sleep and wake rhythms of narcolepsy type 1 patients: a comparison with primary insomniacs and healthy controls.使用活动记录仪评估 1 型发作性睡病患者的睡眠和觉醒节律:与原发性失眠症患者和健康对照者的比较。
Sleep Med. 2018 Dec;52:88-91. doi: 10.1016/j.sleep.2018.07.024. Epub 2018 Aug 31.
6
The difference between in bed and out of bed activity as a behavioral marker of cancer patients: A comparative actigraphic study.作为癌症患者行为标志物的卧床与下床活动差异:一项对比活动记录仪研究。
Chronobiol Int. 2015;32(7):925-33. doi: 10.3109/07420528.2015.1053909.
7
Actigraphy in the assessment of insomnia: a quantitative approach.活动记录仪在失眠评估中的应用:一种定量方法。
Sleep. 2009 Jun;32(6):767-71. doi: 10.1093/sleep/32.6.767.
8
Sex differences in subjective and actigraphic sleep measures: a population-based study of elderly persons.主观睡眠测量与活动记录仪睡眠测量中的性别差异:一项基于人群的老年人研究。
Sleep. 2009 Oct;32(10):1367-75. doi: 10.1093/sleep/32.10.1367.
9
Actigraphic estimates of sleep and the sleep-wake rhythm, and 6-sulfatoxymelatonin levels in healthy Dutch children.荷兰健康儿童的睡眠和睡眠-觉醒节律的活动记录仪估计值以及6-硫酸氧褪黑素水平。
Chronobiol Int. 2020 May;37(5):660-672. doi: 10.1080/07420528.2020.1727916. Epub 2020 Mar 4.
10
Optimizing actigraphic estimates of polysomnographic sleep features in insomnia disorder.优化失眠症多导睡眠图睡眠特征的活动记录仪估计值。
Sleep. 2020 Nov 12;43(11). doi: 10.1093/sleep/zsaa090.

引用本文的文献

1
Assessing sleep in primary brain tumor patients using smart wearables and patient-reported data: Feasibility and interim analysis of an observational study.使用智能可穿戴设备和患者报告数据评估原发性脑肿瘤患者的睡眠情况:一项观察性研究的可行性和中期分析。
Neurooncol Pract. 2024 May 24;11(5):640-651. doi: 10.1093/nop/npae048. eCollection 2024 Oct.
2
Measuring Sleep Quality in the Hospital Environment with Wearable and Non-Wearable Devices in Adults with Stroke Undergoing Inpatient Rehabilitation.使用可穿戴和不可穿戴设备测量住院康复中风成人的医院环境中的睡眠质量。
Int J Environ Res Public Health. 2023 Feb 23;20(5):3984. doi: 10.3390/ijerph20053984.
3

本文引用的文献

1
Prospective memory in narcolepsy type 1 patients.1型发作性睡病患者的前瞻性记忆。
J Psychosom Res. 2019 Feb;117:30-31. doi: 10.1016/j.jpsychores.2018.12.008. Epub 2018 Dec 21.
2
Using actigraphy to assess sleep and wake rhythms of narcolepsy type 1 patients: a comparison with primary insomniacs and healthy controls.使用活动记录仪评估 1 型发作性睡病患者的睡眠和觉醒节律:与原发性失眠症患者和健康对照者的比较。
Sleep Med. 2018 Dec;52:88-91. doi: 10.1016/j.sleep.2018.07.024. Epub 2018 Aug 31.
3
Use of Actigraphy for the Evaluation of Sleep Disorders and Circadian Rhythm Sleep-Wake Disorders: An American Academy of Sleep Medicine Systematic Review, Meta-Analysis, and GRADE Assessment.
Detection and Monitoring of Viral Infections via Wearable Devices and Biometric Data.
通过可穿戴设备和生物特征数据进行病毒感染的检测和监测。
Annu Rev Biomed Eng. 2022 Jun 6;24:1-27. doi: 10.1146/annurev-bioeng-103020-040136. Epub 2021 Dec 21.
4
Factors Associated with Depression and Sub-Dimension Symptoms in Adolescent Narcolepsy.青少年发作性睡病中与抑郁及亚维度症状相关的因素
Nat Sci Sleep. 2021 Jul 6;13:1075-1082. doi: 10.2147/NSS.S312000. eCollection 2021.
5
Diagnosing narcolepsy in the active duty military population.诊断现役军人中的嗜睡症。
Sleep Breath. 2021 Jun;25(2):995-1002. doi: 10.1007/s11325-020-02163-5. Epub 2021 Feb 25.
使用活动记录仪评估睡眠障碍和昼夜节律睡眠-觉醒障碍:美国睡眠医学学会的系统评价、荟萃分析和 GRADE 评估。
J Clin Sleep Med. 2018 Jul 15;14(7):1209-1230. doi: 10.5664/jcsm.7228.
4
In-field assessment of sodium oxybate effect in pediatric type 1 narcolepsy: an actigraphic study.现场评估钠缬草酸盐对 1 型小儿发作性睡病的影响:一项活动记录仪研究。
Sleep. 2018 Jun 1;41(6). doi: 10.1093/sleep/zsy050.
5
Hypocretin-1 Levels Associate with Fragmented Sleep in Patients with Narcolepsy Type 1.1型发作性睡病患者的下丘脑分泌素-1水平与睡眠片段化相关。
Sleep. 2016 May 1;39(5):1047-50. doi: 10.5665/sleep.5750.
6
Actigraphic assessment of sleep/wake behavior in central disorders of hypersomnolence.发作性睡病中枢性障碍中睡眠/觉醒行为的活动记录仪评估
Sleep Med. 2015 Jan;16(1):126-30. doi: 10.1016/j.sleep.2014.08.017. Epub 2014 Nov 13.
7
The role of actigraphy in the assessment of primary insomnia: a retrospective study.动作活动记录仪在原发性失眠评估中的作用:一项回顾性研究。
Sleep Med. 2014 Jan;15(1):111-5. doi: 10.1016/j.sleep.2013.08.792. Epub 2013 Nov 15.
8
Comparison of 7 versus 14 days wrist actigraphy monitoring in a sleep disorders clinic population.睡眠障碍门诊人群中7天与14天手腕活动记录仪监测的比较。
Chronobiol Int. 2014 Apr;31(3):356-62. doi: 10.3109/07420528.2013.858163. Epub 2013 Dec 4.
9
Actigraphy in the assessment of insomnia: a quantitative approach.活动记录仪在失眠评估中的应用:一种定量方法。
Sleep. 2009 Jun;32(6):767-71. doi: 10.1093/sleep/32.6.767.
10
Comparison of two different actigraphs with polysomnography in healthy young subjects.健康年轻受试者中两种不同活动记录仪与多导睡眠图的比较。
Chronobiol Int. 2008 Feb;25(1):145-53. doi: 10.1080/07420520801897228.