Suppr超能文献

一种用于个体化和复杂喂养方案的自动化和并行 DIY 给药装置:构建、验证和应用。

An automated and parallelised DIY-dosing unit for individual and complex feeding profiles: Construction, validation and applications.

机构信息

TU Munich, Systems Biotechnology, Faculty of Mechanical Engineering, Garching, Germany.

TU Munich, Biochemical Engineering, Faculty of Mechanical Engineering, Garching, Germany.

出版信息

PLoS One. 2019 Jun 19;14(6):e0217268. doi: 10.1371/journal.pone.0217268. eCollection 2019.

Abstract

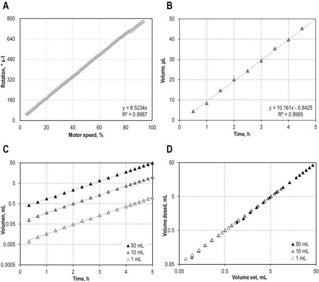
Since biotechnological research becomes more and more important for industrial applications, there is an increasing need for scalable and controllable laboratory procedures. A widely used approach in biotechnological research to improve the performance of a process is to vary the growth rates in order to find the right balance between growth and the production. This can be achieved by the application of a suitable feeding strategy. During this initial bioprocess development, it is beneficial to have at hand cheap and easy setups that work in parallel (e.g. in shaking flasks). Unfortunately, there is a gap between these easy setups and defined and controllable processes, which are necessary for up-scaling to an industrial relevant volume. One prerequisite to test and evaluate different process strategies apart from batch-mode is the availability of pump systems that allow for defined feeding profiles in shaking flasks. To our knowledge, there is no suitable dosing device on the market which fulfils the requirements of being cheap, precise, programmable, and parallelizable. Commercially available dosing units are either already integrated in bioreactors and therefore inflexible, or not programmable, or expensive, or a combination of those. Here, we present a LEGO-MINDSTORMS-based syringe pump, which has the potential of being widely used in daily laboratory routine due to its low price, programmability, and parallelisability. The acquisition costs do not exceed 350 € for up to four dosing units, that are independently controllable with one EV3 block. The system covers flow rates ranging from 0.7 μL min-1 up to 210 mL min-1 with a reliable flux. One dosing unit can convey at maximum a volume of 20 mL (using all 4 units even up to 80 mL in total) over the whole process time. The design of the dosing unit enables the user to perform experiments with up to four different growth rates in parallel (each measured in triplicates) per EV3-block used. We estimate, that the LEGO-MINDSTORMS-based dosing unit with 12 syringes in parallel is reducing the costs up to 50-fold compared to a trivial version of a commercial pump system (~1500 €) which fits the same requirements. Using the pump, we set the growth rates of a E. coli HMS174/DE3 culture to values between 0.1 and 0.4 h-1 with a standard deviation of at best 0.35% and an average discrepancy of 13.2%. Additionally, we determined the energy demand of a culture for the maintenance of the pTRA-51hd plasmid by quantifying the changes in biomass yield with different growth rates set. Around 25% of total substrate taken up is used for plasmid maintenance. To present possible applications and show the flexibility of the system, we applied a constant feed to perform microencapsulation of Pseudomonas putida and an individual dosing profile for the purification of a his-tagged eGFP via IMAC. This smart and versatile dosing unit, which is ready-to-use without any prior knowledge in electronics and control, is affordable for everyone and due to its flexibility and broad application range a valuable addition to the laboratory routine.

摘要

由于生物技术研究对于工业应用变得越来越重要,因此对于可扩展和可控的实验室程序的需求也在不断增加。在生物技术研究中,一种广泛用于提高工艺性能的方法是改变生长速率,以在生长和生产之间找到合适的平衡。这可以通过应用合适的进料策略来实现。在这个初始的生物工艺开发过程中,手头有便宜且易于操作的并行设置(例如在摇瓶中)是很有帮助的。不幸的是,这些简单的设置与定义明确且可控的过程之间存在差距,这些过程对于扩大到工业相关的规模是必要的。除了分批模式之外,测试和评估不同工艺策略的一个前提是需要有可以在摇瓶中实现定义的进料曲线的泵系统。据我们所知,市场上没有合适的定量装置能够满足便宜、精确、可编程和并行的要求。市售的定量装置要么已经集成在生物反应器中,因此不灵活,要么不可编程,要么昂贵,或者是它们的组合。在这里,我们展示了一种基于 LEGO-MINDSTORMS 的注射器泵,由于其价格低廉、可编程性和可并行性,它具有在日常实验室常规中广泛使用的潜力。购置成本不超过 350 欧元,最多可控制四个独立的剂量单元,每个剂量单元都可以通过一个 EV3 模块进行控制。该系统的流量范围从 0.7 μL min-1 到 210 mL min-1,通量可靠。一个剂量单元最多可以在整个过程中输送 20 mL 的体积(使用所有 4 个单元甚至总共 80 mL)。剂量单元的设计允许用户在每个使用的 EV3 模块上并行进行多达四个不同生长速率的实验(每个实验测量三次)。我们估计,与满足相同要求的简单版商业泵系统(约 1500 欧元)相比,基于 LEGO-MINDSTORMS 的 12 个注射器并行剂量单元将成本降低了 50 倍。使用该泵,我们将大肠杆菌 HMS174/DE3 培养物的生长速率设置为 0.1 至 0.4 h-1 之间,标准偏差最好为 0.35%,平均差异为 13.2%。此外,我们通过定量测量不同生长速率下生物量产量的变化来确定培养物维持 pTRA-51hd 质粒所需的能量需求。大约 25%的总吸收基质用于质粒维持。为了展示可能的应用并展示系统的灵活性,我们应用恒速进料来进行恶臭假单胞菌的微囊化,并通过 IMAC 应用单独的剂量曲线来纯化 his 标记的 eGFP。这种智能且多功能的定量装置无需任何电子和控制方面的先验知识即可使用,价格实惠,适用于所有人,并且由于其灵活性和广泛的应用范围,是实验室常规的有价值的补充。

https://cdn.ncbi.nlm.nih.gov/pmc/blobs/6133/6583958/46c04d767bf3/pone.0217268.g001.jpg

文献AI研究员

20分钟写一篇综述,助力文献阅读效率提升50倍。

立即体验

用中文搜PubMed

大模型驱动的PubMed中文搜索引擎

马上搜索

文档翻译

学术文献翻译模型,支持多种主流文档格式。

立即体验