• 文献检索
  • 文档翻译
  • 深度研究
  • 学术资讯
  • Suppr Zotero 插件Zotero 插件
  • 邀请有礼
  • 套餐&价格
  • 历史记录
应用&插件
Suppr Zotero 插件Zotero 插件浏览器插件Mac 客户端Windows 客户端微信小程序
定价
高级版会员购买积分包购买API积分包
服务
文献检索文档翻译深度研究API 文档MCP 服务
关于我们
关于 Suppr公司介绍联系我们用户协议隐私条款
关注我们

Suppr 超能文献

核心技术专利:CN118964589B侵权必究
粤ICP备2023148730 号-1Suppr @ 2026

文献检索

告别复杂PubMed语法,用中文像聊天一样搜索,搜遍4000万医学文献。AI智能推荐,让科研检索更轻松。

立即免费搜索

文件翻译

保留排版,准确专业,支持PDF/Word/PPT等文件格式,支持 12+语言互译。

免费翻译文档

深度研究

AI帮你快速写综述,25分钟生成高质量综述,智能提取关键信息,辅助科研写作。

立即免费体验

一种用于预测肝细胞癌患者肝切除术后肝功能衰竭的新模型。

A novel model for predicting posthepatectomy liver failure in patients with hepatocellular carcinoma.

机构信息

Department of Liver Surgery & Liver Transplantation Center, West China Hospital, Sichuan University, Chengdu, Sichuan Province, China.

Department of Ultrasound, West China Hospital, Sichuan University, Chengdu, Sichuan Province, China.

出版信息

PLoS One. 2019 Jul 3;14(7):e0219219. doi: 10.1371/journal.pone.0219219. eCollection 2019.

DOI:10.1371/journal.pone.0219219
PMID:31269063
原文链接:https://pmc.ncbi.nlm.nih.gov/articles/PMC6608969/
Abstract

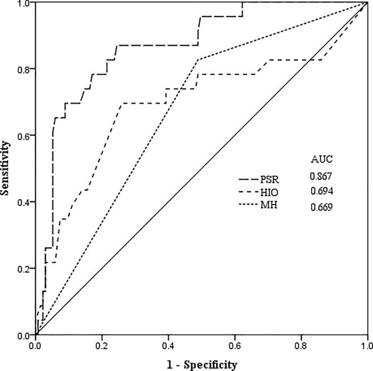
Posthepatectomy liver failure (PHLF) is the most leading cause of mortality following hepatectomy in patients with hepatocellular carcinoma (HCC). Platelet count was reported to be a simple but useful indicator of liver cirrhosis and function of spleen. Spleen stiffness (SS) was used to evaluate the morphological change of spleen and was reported to be related to liver cirrhosis and portal hypertension. However, the predictive value of platelet to spleen stiffness ratio (PSR) on PHLF remains unknown. A retrospective study was performed to analyze 158 patients with HCC following hepatectomy from August 2015 to February 2016. Univariate and multivariate analyses were performed to evaluate the value of each risk factor for predicting PHLF. The predictive efficiency of the risk factors was evaluated by receiver operating characteristic (ROC) curve. PHLF occured in 23 (14.6%) patients. PSR (P<0.001, odds ratio (OR) = 0.622, 95% confidence interval (CI) 0.4930.784), hepatic inflow occlusion (HIO) (P = 0.003, OR = 1.044, 95% CI 1.0151.075) and major hepatectomy (P = 0.019, OR = 5.967, 95% CI 1.346~26.443) were demonstrated to be the independent predictive factors for development of PHLF in a multivariate analysis. Results of the present study suggested PSR is a novel and non-invasive model for predicting PHLF in patients with HCC.

摘要

术后肝衰竭(PHLF)是肝细胞癌(HCC)患者肝切除术后死亡的主要原因。血小板计数被报道为一种简单但有用的肝硬化和脾脏功能的指标。脾脏硬度(SS)用于评估脾脏的形态变化,据报道与肝硬化和门静脉高压有关。然而,血小板与脾脏硬度比值(PSR)对 PHLF 的预测价值尚不清楚。本回顾性研究分析了 2015 年 8 月至 2016 年 2 月接受肝切除术的 158 例 HCC 患者。进行单因素和多因素分析,以评估每个危险因素预测 PHLF 的价值。通过接收者操作特征(ROC)曲线评估危险因素的预测效率。23 例(14.6%)患者发生 PHLF。PSR(P<0.001,比值比(OR)=0.622,95%置信区间(CI)0.4930.784)、肝入肝阻断(HIO)(P=0.003,OR=1.044,95%CI 1.0151.075)和大范围肝切除术(P=0.019,OR=5.967,95%CI 1.346~26.443)在多因素分析中被证明是 PHLF 发生的独立预测因素。本研究结果表明,PSR 是预测 HCC 患者 PHLF 的一种新的非侵入性模型。

https://cdn.ncbi.nlm.nih.gov/pmc/blobs/230d/6608969/1f59d7e76b3c/pone.0219219.g002.jpg
https://cdn.ncbi.nlm.nih.gov/pmc/blobs/230d/6608969/8b2981ef2c7c/pone.0219219.g001.jpg
https://cdn.ncbi.nlm.nih.gov/pmc/blobs/230d/6608969/1f59d7e76b3c/pone.0219219.g002.jpg
https://cdn.ncbi.nlm.nih.gov/pmc/blobs/230d/6608969/8b2981ef2c7c/pone.0219219.g001.jpg
https://cdn.ncbi.nlm.nih.gov/pmc/blobs/230d/6608969/1f59d7e76b3c/pone.0219219.g002.jpg

相似文献

1
A novel model for predicting posthepatectomy liver failure in patients with hepatocellular carcinoma.一种用于预测肝细胞癌患者肝切除术后肝功能衰竭的新模型。
PLoS One. 2019 Jul 3;14(7):e0219219. doi: 10.1371/journal.pone.0219219. eCollection 2019.
2
Spleen stiffness and volume help to predict posthepatectomy liver failure in patients with hepatocellular carcinoma.脾脏硬度和体积有助于预测肝细胞癌患者肝切除术后的肝衰竭。
Medicine (Baltimore). 2019 May;98(18):e15458. doi: 10.1097/MD.0000000000015458.
3
Nomogram based on liver stiffness and spleen area with ultrasound for posthepatectomy liver failure: A multicenter study.基于肝脏硬度和脾脏超声面积的列线图预测肝切除术后肝衰竭:一项多中心研究
World J Gastroenterol. 2024 Jul 21;30(27):3314-3325. doi: 10.3748/wjg.v30.i27.3314.
4
The critical value of remnant liver volume-to-body weight ratio to estimate posthepatectomy liver failure in cirrhotic patients.残余肝体积与体重比对肝硬化患者肝切除术后肝功能衰竭的预测价值。
J Surg Res. 2014 May 15;188(2):489-95. doi: 10.1016/j.jss.2014.01.023. Epub 2014 Jan 24.
5
Prediction of posthepatectomy liver failure based on liver stiffness measurement in patients with hepatocellular carcinoma.基于肝脏硬度测量对肝细胞癌患者肝切除术后肝衰竭的预测
Surgery. 2016 Feb;159(2):399-408. doi: 10.1016/j.surg.2015.06.024. Epub 2015 Jul 21.
6
An ordinal model to predict the risk of symptomatic liver failure in patients with cirrhosis undergoing hepatectomy.一种用于预测行肝切除术的肝硬化患者发生症状性肝衰竭风险的有序模型。
J Hepatol. 2019 Nov;71(5):920-929. doi: 10.1016/j.jhep.2019.06.003. Epub 2019 Jun 14.
7
A Comparative Study of Albumin-Bilirubin Score with Child-Pugh Score, Model for End-Stage Liver Disease Score and Indocyanine Green R15 in Predicting Posthepatectomy Liver Failure for Hepatocellular Carcinoma Patients.白蛋白-胆红素评分与Child-Pugh评分、终末期肝病模型评分及吲哚菁绿R15在预测肝细胞癌患者肝切除术后肝衰竭中的比较研究
Dig Dis. 2018;36(3):236-243. doi: 10.1159/000486590. Epub 2018 Mar 1.
8
Usefulness of Mac-2 Binding Protein Glycosylation Isomer for Prediction of Posthepatectomy Liver Failure in Patients With Hepatocellular Carcinoma.用于预测肝癌患者肝切除术后肝衰竭的 Mac-2 结合蛋白糖基化异构体的有用性。
Ann Surg. 2017 Jun;265(6):1201-1208. doi: 10.1097/SLA.0000000000001836.
9
The value of liver stiffness measured by two-dimensional shear wave elastography for predicting symptomatic posthepatectomy liver failure in patients with hepatocellular carcinoma.二维剪切波弹性成像测量肝脏硬度值预测肝细胞癌患者肝切除术后肝功能衰竭的价值。
Eur J Radiol. 2022 May;150:110248. doi: 10.1016/j.ejrad.2022.110248. Epub 2022 Mar 12.
10
Spleen volume is a predictor of posthepatectomy liver failure and short-term mortality for hepatocellular carcinoma.脾脏体积是预测肝癌患者肝切除术后肝功能衰竭和短期死亡率的指标。
Langenbecks Arch Surg. 2023 Aug 7;408(1):297. doi: 10.1007/s00423-023-03025-w.

引用本文的文献

1
Multivariable prognostic models for post-hepatectomy liver failure: An updated systematic review.肝切除术后肝衰竭的多变量预后模型:一项更新的系统评价。
World J Hepatol. 2025 Apr 27;17(4):103330. doi: 10.4254/wjh.v17.i4.103330.
2
The impact of hepatic and splenic volumetric assessment in imaging for chronic liver disease: a narrative review.肝脏和脾脏容积评估在慢性肝病影像学检查中的影响:一项叙述性综述
Insights Imaging. 2024 Jun 18;15(1):146. doi: 10.1186/s13244-024-01727-3.
3
Gut microbiome dysbiosis in patients with hepatitis B virus-related hepatocellular carcinoma after extended hepatectomy liver failure.

本文引用的文献

1
Current Pattern of Use and Impact of Pringle Maneuver in Liver Resections in the United States.美国肝脏切除术应用普雷灵手法的现状及影响。
J Surg Res. 2019 Jul;239:253-260. doi: 10.1016/j.jss.2019.01.043. Epub 2019 Mar 8.
2
Albumin-Indocyanine Green Evaluation (ALICE) grade combined with portal hypertension to predict post-hepatectomy liver failure.白蛋白-吲哚菁绿评估(ALICE)分级联合门静脉高压预测肝切除术后肝衰竭。
Hepatol Res. 2019 Aug;49(8):942-949. doi: 10.1111/hepr.13327. Epub 2019 Apr 7.
3
Portal hypertension in hepatitis B-related cirrhosis: Diagnostic accuracy of liver and spleen stiffness by 2-D shear-wave elastography.
乙肝病毒相关肝细胞癌患者扩大肝切除术后肝衰竭时的肠道微生物群失调
Ann Transl Med. 2022 May;10(10):549. doi: 10.21037/atm-22-1958.
4
Hepatocellular Carcinoma in 2021: An Exhaustive Update.2021年肝细胞癌:详尽的最新进展
Cureus. 2021 Nov 5;13(11):e19274. doi: 10.7759/cureus.19274. eCollection 2021 Nov.
5
Liver Stiffness Measured by Two-Dimensional Shear Wave Elastography for Predicting Symptomatic Post-hepatectomy Liver Failure in Patients with Hepatocellular Carcinoma.二维剪切波弹性成像测量肝脏硬度以预测肝细胞癌患者肝切除术后症状性肝衰竭
Ann Surg Oncol. 2022 Jan;29(1):327-336. doi: 10.1245/s10434-021-10563-4. Epub 2021 Aug 11.
6
Prediction of Post-hepatectomy Liver Failure in Patients With Hepatocellular Carcinoma Based on Radiomics Using Gd-EOB-DTPA-Enhanced MRI: The Liver Failure Model.基于钆塞酸二钠增强MRI的影像组学预测肝细胞癌患者肝切除术后肝衰竭:肝衰竭模型
Front Oncol. 2021 Mar 10;11:605296. doi: 10.3389/fonc.2021.605296. eCollection 2021.
7
New frontiers in liver resection for hepatocellular carcinoma.肝细胞癌肝切除术的新前沿
JHEP Rep. 2020 Jun 4;2(4):100134. doi: 10.1016/j.jhepr.2020.100134. eCollection 2020 Aug.
8
Safety and feasibility of laparoscopic liver resection for hepatocellular carcinoma with clinically significant portal hypertension: a propensity score-matched study.腹腔镜肝切除术治疗伴有临床显著门脉高压症的肝细胞癌的安全性和可行性:一项倾向评分匹配研究。
Surg Endosc. 2021 Jul;35(7):3267-3278. doi: 10.1007/s00464-020-07763-6. Epub 2020 Jul 6.
9
Hepatoprotective effects and mechanisms of Ixeris denticulate water extract on liver cirrhosis in experimental rat.齿叶橐吾水提物对实验性大鼠肝硬化的保肝作用及机制。
BMC Complement Med Ther. 2020 Jun 5;20(1):175. doi: 10.1186/s12906-020-02957-w.
乙型肝炎相关肝硬化门静脉高压症:二维剪切波弹性成像对肝脏和脾脏硬度的诊断准确性
Hepatol Res. 2019 May;49(5):540-549. doi: 10.1111/hepr.13306. Epub 2019 Jan 28.
4
Prediction of posthepatectomy liver failure: Role of SSM and LSPS.肝切除术后肝衰竭的预测:SSM和LSPS的作用。
J Surg Oncol. 2019 Mar;119(3):400-401. doi: 10.1002/jso.25345. Epub 2018 Dec 18.
5
Preoperative Thrombocytopenia May Predict Poor Surgical Outcome after Extended Hepatectomy.术前血小板减少可能预示着扩大肝切除术后的手术结局不佳。
Can J Gastroenterol Hepatol. 2018 Nov 1;2018:1275720. doi: 10.1155/2018/1275720. eCollection 2018.
6
Global cancer statistics 2018: GLOBOCAN estimates of incidence and mortality worldwide for 36 cancers in 185 countries.全球癌症统计数据 2018:GLOBOCAN 对全球 185 个国家/地区 36 种癌症的发病率和死亡率的估计。
CA Cancer J Clin. 2018 Nov;68(6):394-424. doi: 10.3322/caac.21492. Epub 2018 Sep 12.
7
Deciphering Platelet Kinetics in Diagnostic and Prognostic Evaluation of Hepatocellular Carcinoma.解析血小板动力学在肝细胞癌的诊断和预后评估中的作用。
Can J Gastroenterol Hepatol. 2018 Jun 27;2018:9142672. doi: 10.1155/2018/9142672. eCollection 2018.
8
Meta-analysis of the prognostic role of perioperative platelet count in posthepatectomy liver failure and mortality.血小板计数对肝切除术后肝衰竭和死亡率的预后作用的荟萃分析。
Br J Surg. 2018 Sep;105(10):1254-1261. doi: 10.1002/bjs.10906. Epub 2018 Jul 12.
9
Pathological findings that contribute to tissue stiffness in the spleen of liver cirrhosis patients.导致肝硬化患者脾脏组织硬度增加的病理发现。
Hepatol Res. 2018 Nov;48(12):1000-1007. doi: 10.1111/hepr.13195. Epub 2018 Jun 7.
10
Global prevalence, treatment, and prevention of hepatitis B virus infection in 2016: a modelling study.2016 年全球乙型肝炎病毒感染的流行率、治疗和预防:一项建模研究。
Lancet Gastroenterol Hepatol. 2018 Jun;3(6):383-403. doi: 10.1016/S2468-1253(18)30056-6. Epub 2018 Mar 27.