• 文献检索
  • 文档翻译
  • 深度研究
  • 学术资讯
  • Suppr Zotero 插件Zotero 插件
  • 邀请有礼
  • 套餐&价格
  • 历史记录
应用&插件
Suppr Zotero 插件Zotero 插件浏览器插件Mac 客户端Windows 客户端微信小程序
定价
高级版会员购买积分包购买API积分包
服务
文献检索文档翻译深度研究API 文档MCP 服务
关于我们
关于 Suppr公司介绍联系我们用户协议隐私条款
关注我们

Suppr 超能文献

核心技术专利:CN118964589B侵权必究
粤ICP备2023148730 号-1Suppr @ 2026

文献检索

告别复杂PubMed语法,用中文像聊天一样搜索,搜遍4000万医学文献。AI智能推荐,让科研检索更轻松。

立即免费搜索

文件翻译

保留排版,准确专业,支持PDF/Word/PPT等文件格式,支持 12+语言互译。

免费翻译文档

深度研究

AI帮你快速写综述,25分钟生成高质量综述,智能提取关键信息,辅助科研写作。

立即免费体验

鉴定和验证一种免疫细胞浸润评分,用于预测肺腺癌患者的生存情况。

Identification and validation of an immune cell infiltrating score predicting survival in patients with lung adenocarcinoma.

机构信息

Department of Thoracic Surgery, Zhongshan Hospital, Fudan University, No. 180, Fenglin Road, Shanghai, 200032, China.

出版信息

J Transl Med. 2019 Jul 8;17(1):217. doi: 10.1186/s12967-019-1964-6.

DOI:10.1186/s12967-019-1964-6
PMID:31286969
原文链接:https://pmc.ncbi.nlm.nih.gov/articles/PMC6615164/
Abstract

BACKGROUND

Immune infiltration may predict survival and have clinical significance in lung cancer. However, immune signatures derived from immune profiling based on bulk tumor transcriptomes have not been systematically established in lung adenocarcinoma. We aimed to construct an immune cell infiltrating score, using a new algorithm for evaluating immune infiltration, to improve the prognostic model of lung adenocarcinoma.

METHODS

Public datasets of lung adenocarcinoma from the Gene Expression Omnibus and The Cancer Genome Atlas were adopted as the training and validation cohorts. Fractions of different immune cell subtypes in each sample were estimated using the CIBERSORT algorithm. The immune infiltrating score was further developed by a least absolute shrinkage and selection operator regression model. The prognostic value and clinical relationship of the model was then further explored.

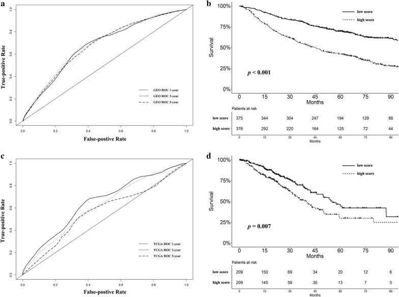
RESULTS

An immune infiltrating score model was established on the basis of the immune cells in the training cohort. A high score was associated with significantly worse survival in patients with lung adenocarcinoma (P < 0.001). The prognostic value of the score was confirmed in the validation cohort. The immune infiltrating score could improve the accuracy of predictions of survival when combined with the staging system. Furthermore, the score was potentially associated with patient smoking status and histologic subtype of lung adenocarcinoma. Its possible association with the efficacy of adjuvant chemotherapy was not statistically significant.

CONCLUSION

The immune cell infiltrating score has prognostic significance in predicting overall survival in patients with lung adenocarcinoma.

摘要

背景

免疫浸润可能预测肺癌的生存情况并具有临床意义。然而,基于肿瘤转录组的免疫分析得出的免疫特征在肺腺癌中尚未得到系统的建立。我们旨在构建一种免疫细胞浸润评分,使用一种新的评估免疫浸润的算法,以改进肺腺癌的预后模型。

方法

采用来自基因表达综合数据库和癌症基因组图谱的公共肺腺癌数据集作为训练和验证队列。使用 CIBERSORT 算法估计每个样本中不同免疫细胞亚群的分数。通过最小绝对收缩和选择算子回归模型进一步开发免疫浸润评分。然后进一步探讨了该模型的预后价值和临床相关性。

结果

基于训练队列中的免疫细胞建立了一个免疫浸润评分模型。高评分与肺腺癌患者的生存显著恶化相关(P<0.001)。该评分的预后价值在验证队列中得到了证实。评分与分期系统相结合可以提高生存预测的准确性。此外,该评分可能与患者的吸烟状况和肺腺癌的组织学亚型有关。其与辅助化疗疗效的可能相关性在统计学上无显著意义。

结论

免疫细胞浸润评分对预测肺腺癌患者的总生存具有预后意义。

https://cdn.ncbi.nlm.nih.gov/pmc/blobs/b89d/6615164/858374d2f461/12967_2019_1964_Fig4_HTML.jpg
https://cdn.ncbi.nlm.nih.gov/pmc/blobs/b89d/6615164/bf66ef73c814/12967_2019_1964_Fig1_HTML.jpg
https://cdn.ncbi.nlm.nih.gov/pmc/blobs/b89d/6615164/25badf572dbd/12967_2019_1964_Fig2_HTML.jpg
https://cdn.ncbi.nlm.nih.gov/pmc/blobs/b89d/6615164/d7d993a5e20a/12967_2019_1964_Fig3_HTML.jpg
https://cdn.ncbi.nlm.nih.gov/pmc/blobs/b89d/6615164/858374d2f461/12967_2019_1964_Fig4_HTML.jpg
https://cdn.ncbi.nlm.nih.gov/pmc/blobs/b89d/6615164/bf66ef73c814/12967_2019_1964_Fig1_HTML.jpg
https://cdn.ncbi.nlm.nih.gov/pmc/blobs/b89d/6615164/25badf572dbd/12967_2019_1964_Fig2_HTML.jpg
https://cdn.ncbi.nlm.nih.gov/pmc/blobs/b89d/6615164/d7d993a5e20a/12967_2019_1964_Fig3_HTML.jpg
https://cdn.ncbi.nlm.nih.gov/pmc/blobs/b89d/6615164/858374d2f461/12967_2019_1964_Fig4_HTML.jpg

相似文献

1
Identification and validation of an immune cell infiltrating score predicting survival in patients with lung adenocarcinoma.鉴定和验证一种免疫细胞浸润评分,用于预测肺腺癌患者的生存情况。
J Transl Med. 2019 Jul 8;17(1):217. doi: 10.1186/s12967-019-1964-6.
2
Pan-Cancer Analysis of Immune Cell Infiltration Identifies a Prognostic Immune-Cell Characteristic Score (ICCS) in Lung Adenocarcinoma.泛癌症分析免疫细胞浸润鉴定出肺腺癌预后免疫细胞特征评分(ICCS)。
Front Immunol. 2020 Jun 30;11:1218. doi: 10.3389/fimmu.2020.01218. eCollection 2020.
3
An immune cell infiltration-based immune score model predicts prognosis and chemotherapy effects in breast cancer.基于免疫细胞浸润的免疫评分模型预测乳腺癌的预后和化疗效果。
Theranostics. 2020 Oct 25;10(26):11938-11949. doi: 10.7150/thno.49451. eCollection 2020.
4
Identification of an immune signature predicting prognosis risk of patients in lung adenocarcinoma.鉴定出一种免疫特征,可预测肺腺癌患者的预后风险。
J Transl Med. 2019 Mar 4;17(1):70. doi: 10.1186/s12967-019-1824-4.
5
A B7-CD28 family based signature demonstrates significantly different prognoses and tumor immune landscapes in lung adenocarcinoma.基于 B7-CD28 家族的特征可明显区分肺腺癌的不同预后和肿瘤免疫图谱。
Int J Cancer. 2018 Nov 15;143(10):2592-2601. doi: 10.1002/ijc.31764. Epub 2018 Sep 17.
6
Significance of tumor-infiltrating immunocytes for predicting prognosis of hepatitis B virus-related hepatocellular carcinoma.肿瘤浸润免疫细胞对乙型肝炎病毒相关性肝细胞癌预后预测的意义。
World J Gastroenterol. 2019 Sep 21;25(35):5266-5282. doi: 10.3748/wjg.v25.i35.5266.
7
Prognostic significance of tumor-infiltrating immune cells in muscle-invasive bladder cancer.肿瘤浸润免疫细胞在肌层浸润性膀胱癌中的预后意义
Am J Transl Res. 2020 Oct 15;12(10):6524-6536. eCollection 2020.
8
The Clinical Prediction Value of the Ubiquitination Model Reflecting the Immune Traits in LUAD.反映 LUAD 免疫特征的泛素化模型的临床预测价值。
Front Immunol. 2022 Feb 25;13:846402. doi: 10.3389/fimmu.2022.846402. eCollection 2022.
9
A large cohort study identifying a novel prognosis prediction model for lung adenocarcinoma through machine learning strategies.一项通过机器学习策略确定肺腺癌新预后预测模型的大型队列研究。
BMC Cancer. 2019 Sep 5;19(1):886. doi: 10.1186/s12885-019-6101-7.
10
Digital Inference of Immune Microenvironment Reveals Low-Risk Subtype of Early Lung Adenocarcinoma.数字推断免疫微环境揭示早期肺腺癌的低危亚型。
Ann Thorac Surg. 2020 Feb;109(2):343-349. doi: 10.1016/j.athoracsur.2019.08.050. Epub 2019 Sep 27.

引用本文的文献

1
The role and machine learning analysis of mitochondrial autophagy-related gene expression in lung adenocarcinoma.线粒体自噬相关基因表达在肺腺癌中的作用及机器学习分析
Front Immunol. 2025 Apr 17;16:1509315. doi: 10.3389/fimmu.2025.1509315. eCollection 2025.
2
A disulfidptosis-related glucose metabolism and immune response prognostic model revealing the immune microenvironment in lung adenocarcinoma.一个与二硫键相关的葡萄糖代谢和免疫反应预后模型揭示了肺腺癌中的免疫微环境。
Front Immunol. 2024 Jul 18;15:1398802. doi: 10.3389/fimmu.2024.1398802. eCollection 2024.
3
Identification of subgroups and development of prognostic risk models along the glycolysis-cholesterol synthesis axis in lung adenocarcinoma.

本文引用的文献

1
Function of Human Tumor-Infiltrating Lymphocytes in Early-Stage Non-Small Cell Lung Cancer.早期非小细胞肺癌中人类肿瘤浸润淋巴细胞的功能。
Cancer Immunol Res. 2019 Jun;7(6):896-909. doi: 10.1158/2326-6066.CIR-18-0713. Epub 2019 May 3.
2
Poor Response to Neoadjuvant Chemotherapy Correlates with Mast Cell Infiltration in Inflammatory Breast Cancer.新辅助化疗反应不良与炎性乳腺癌中肥大细胞浸润相关。
Cancer Immunol Res. 2019 Jun;7(6):1025-1035. doi: 10.1158/2326-6066.CIR-18-0619. Epub 2019 May 1.
3
Mast cells: A double-edged sword in cancer.
肺腺癌中糖酵解-胆固醇合成轴的亚组鉴定和预后风险模型的建立。
Sci Rep. 2024 Jun 26;14(1):14704. doi: 10.1038/s41598-024-64602-7.
4
Identification of Basement Membrane-Related Signatures in Gastric Cancer.胃癌中基底膜相关特征的鉴定
Diagnostics (Basel). 2023 May 25;13(11):1844. doi: 10.3390/diagnostics13111844.
5
Comprehensively Analyze the Prognosis Significance and Immune Implication of PTPRO in Lung Adenocarcinoma.全面分析 PTPRO 在肺腺癌中的预后意义和免疫影响。
Mediators Inflamm. 2023 Feb 9;2023:5248897. doi: 10.1155/2023/5248897. eCollection 2023.
6
Construction and Validation of a Novel Immune Checkpoint-Related Model in Clear Cell Renal Cell Carcinoma.构建和验证透明细胞肾细胞癌新型免疫检查点相关模型。
Dis Markers. 2022 Dec 30;2022:9010514. doi: 10.1155/2022/9010514. eCollection 2022.
7
Computerized tumor-infiltrating lymphocytes density score predicts survival of patients with resectable lung adenocarcinoma.计算机化肿瘤浸润淋巴细胞密度评分可预测可切除肺腺癌患者的生存率。
iScience. 2022 Nov 16;25(12):105605. doi: 10.1016/j.isci.2022.105605. eCollection 2022 Dec 22.
8
Heparin and Heparin-Based Drug Delivery Systems: Pleiotropic Molecular Effects at Multiple Drug Resistance of Osteosarcoma and Immune Cells.肝素及基于肝素的药物递送系统:对骨肉瘤和免疫细胞多药耐药性的多效性分子效应
Pharmaceutics. 2022 Oct 13;14(10):2181. doi: 10.3390/pharmaceutics14102181.
9
Expression Analysis of Ligand-Receptor Pairs Identifies Cell-to-Cell Crosstalk between Macrophages and Tumor Cells in Lung Adenocarcinoma.配体-受体对表达分析鉴定肺腺癌中巨噬细胞与肿瘤细胞间的细胞间串扰。
J Immunol Res. 2022 Sep 22;2022:9589895. doi: 10.1155/2022/9589895. eCollection 2022.
10
Comprehensive Analysis of Gene Signatures of m6ARNA Methylation Regulators in Lung Adenocarcinoma and Development of a Risk Scoring System.肺腺癌 m6A RNA 甲基化调控因子基因特征的综合分析及风险评分系统的建立。
J Immunol Res. 2022 Aug 23;2022:7519838. doi: 10.1155/2022/7519838. eCollection 2022.
肥大细胞:癌症的双刃剑。
Immunol Lett. 2019 May;209:28-35. doi: 10.1016/j.imlet.2019.03.011. Epub 2019 Mar 21.
4
Differential expression of PD-L1 and IDO1 in association with the immune microenvironment in resected lung adenocarcinomas.肺腺癌切除标本中 PD-L1 和 IDO1 的表达差异与免疫微环境的关系。
Mod Pathol. 2019 Apr;32(4):511-523. doi: 10.1038/s41379-018-0160-1. Epub 2018 Oct 26.
5
A nomogram-based immunoprofile predicts overall survival for previously untreated patients with esophageal squamous cell carcinoma after esophagectomy.基于列线图的免疫组化分析可预测未经治疗的食管鳞癌患者术后的总生存。
J Immunother Cancer. 2018 Oct 3;6(1):100. doi: 10.1186/s40425-018-0418-7.
6
Global cancer statistics 2018: GLOBOCAN estimates of incidence and mortality worldwide for 36 cancers in 185 countries.全球癌症统计数据 2018:GLOBOCAN 对全球 185 个国家/地区 36 种癌症的发病率和死亡率的估计。
CA Cancer J Clin. 2018 Nov;68(6):394-424. doi: 10.3322/caac.21492. Epub 2018 Sep 12.
7
Prognostic Value of a Long Non-coding RNA Signature in Localized Clear Cell Renal Cell Carcinoma.局部透明细胞肾细胞癌中长链非编码 RNA 特征的预后价值。
Eur Urol. 2018 Dec;74(6):756-763. doi: 10.1016/j.eururo.2018.07.032. Epub 2018 Aug 22.
8
Profiles of immune infiltration in colorectal cancer and their clinical significant: A gene expression-based study.基于基因表达的研究:结直肠癌中的免疫浸润特征及其临床意义。
Cancer Med. 2018 Sep;7(9):4496-4508. doi: 10.1002/cam4.1745. Epub 2018 Aug 16.
9
Prognostic and predictive values of immune infiltrate in patients with head and neck squamous cell carcinoma.头颈部鳞状细胞癌患者免疫浸润的预后和预测价值。
Hum Pathol. 2018 Dec;82:104-112. doi: 10.1016/j.humpath.2018.07.012. Epub 2018 Jul 20.
10
Transcriptome profiling reveals an integrated mRNA-lncRNA signature with predictive value of early relapse in colon cancer.转录组谱分析揭示了具有结肠癌早期复发预测价值的整合 mRNA-lncRNA 特征。
Carcinogenesis. 2018 Oct 8;39(10):1235-1244. doi: 10.1093/carcin/bgy087.