• 文献检索
  • 文档翻译
  • 深度研究
  • 学术资讯
  • Suppr Zotero 插件Zotero 插件
  • 邀请有礼
  • 套餐&价格
  • 历史记录
应用&插件
Suppr Zotero 插件Zotero 插件浏览器插件Mac 客户端Windows 客户端微信小程序
定价
高级版会员购买积分包购买API积分包
服务
文献检索文档翻译深度研究API 文档MCP 服务
关于我们
关于 Suppr公司介绍联系我们用户协议隐私条款
关注我们

Suppr 超能文献

核心技术专利:CN118964589B侵权必究
粤ICP备2023148730 号-1Suppr @ 2026

文献检索

告别复杂PubMed语法,用中文像聊天一样搜索,搜遍4000万医学文献。AI智能推荐,让科研检索更轻松。

立即免费搜索

文件翻译

保留排版,准确专业,支持PDF/Word/PPT等文件格式,支持 12+语言互译。

免费翻译文档

深度研究

AI帮你快速写综述,25分钟生成高质量综述,智能提取关键信息,辅助科研写作。

立即免费体验

一种基于集成学习的新型机器学习算法,利用社会人口学特征、临床信息和神经心理学测量来预测从轻度认知障碍向阿尔茨海默病的转变。

A Novel Ensemble-Based Machine Learning Algorithm to Predict the Conversion From Mild Cognitive Impairment to Alzheimer's Disease Using Socio-Demographic Characteristics, Clinical Information, and Neuropsychological Measures.

作者信息

Grassi Massimiliano, Rouleaux Nadine, Caldirola Daniela, Loewenstein David, Schruers Koen, Perna Giampaolo, Dumontier Michel

机构信息

Department of Clinical Neurosciences, Hermanas Hospitalarias, Villa San Benedetto Menni Hospital, FoRiPsi, Albese con Cassano, Italy.

Department of Biomedical Sciences, Humanitas University, Milan, Italy.

出版信息

Front Neurol. 2019 Jul 16;10:756. doi: 10.3389/fneur.2019.00756. eCollection 2019.

DOI:10.3389/fneur.2019.00756
PMID:31379711
原文链接:https://pmc.ncbi.nlm.nih.gov/articles/PMC6646724/
Abstract

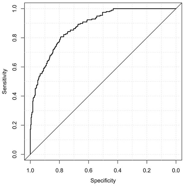
Despite the increasing availability in brain health related data, clinically translatable methods to predict the conversion from Mild Cognitive Impairment (MCI) to Alzheimer's disease (AD) are still lacking. Although MCI typically precedes AD, only a fraction of 20-40% of MCI individuals will progress to dementia within 3 years following the initial diagnosis. As currently available and emerging therapies likely have the greatest impact when provided at the earliest disease stage, the prompt identification of subjects at high risk for conversion to AD is of great importance in the fight against this disease. In this work, we propose a highly predictive machine learning algorithm, based only on non-invasively and easily in-the-clinic collectable predictors, to identify MCI subjects at risk for conversion to AD. The algorithm was developed using the open dataset from the Alzheimer's Disease Neuroimaging Initiative (ADNI), employing a sample of 550 MCI subjects whose diagnostic follow-up is available for at least 3 years after the baseline assessment. A restricted set of information regarding sociodemographic and clinical characteristics, neuropsychological test scores was used as predictors and several different supervised machine learning algorithms were developed and ensembled in final algorithm. A site-independent stratified train/test split protocol was used to provide an estimate of the generalized performance of the algorithm. The final algorithm demonstrated an AUROC of 0.88, sensitivity of 77.7%, and a specificity of 79.9% on excluded test data. The specificity of the algorithm was 40.2% for 100% sensitivity. The algorithm we developed achieved sound and high prognostic performance to predict AD conversion using easily clinically derived information that makes the algorithm easy to be translated into practice. This indicates beneficial application to improve recruitment in clinical trials and to more selectively prescribe new and newly emerging early interventions to high AD risk patients.

摘要

尽管与脑健康相关的数据越来越多,但仍缺乏可临床转化的方法来预测轻度认知障碍(MCI)向阿尔茨海默病(AD)的转化。虽然MCI通常先于AD出现,但在初次诊断后的3年内,只有20%-40%的MCI个体将进展为痴呆症。由于目前可用的和新出现的疗法在疾病最早阶段提供时可能具有最大的影响,因此迅速识别有转化为AD高风险的受试者在对抗这种疾病方面非常重要。在这项工作中,我们提出了一种高度预测性的机器学习算法,该算法仅基于非侵入性且易于在临床收集的预测指标,以识别有转化为AD风险的MCI受试者。该算法是使用来自阿尔茨海默病神经影像倡议(ADNI)的开放数据集开发的,采用了550名MCI受试者的样本,其诊断随访在基线评估后至少可用3年。一组关于社会人口统计学和临床特征、神经心理学测试分数的受限信息被用作预测指标,并开发了几种不同的监督机器学习算法,并将其整合到最终算法中。使用与地点无关的分层训练/测试分割协议来估计算法的广义性能。最终算法在排除的测试数据上的曲线下面积(AUROC)为0.88,灵敏度为77.7%,特异性为79.9%。该算法在灵敏度为100%时的特异性为40.2%。我们开发的算法使用易于从临床得出的信息实现了良好且高的预后性能,以预测AD转化,这使得该算法易于转化为实践。这表明该算法在改善临床试验招募以及更有选择性地为AD高风险患者开新的和新出现的早期干预措施方面具有有益的应用。

https://cdn.ncbi.nlm.nih.gov/pmc/blobs/a4a8/6646724/b5871393996a/fneur-10-00756-g0002.jpg
https://cdn.ncbi.nlm.nih.gov/pmc/blobs/a4a8/6646724/77ea29ff3ade/fneur-10-00756-g0001.jpg
https://cdn.ncbi.nlm.nih.gov/pmc/blobs/a4a8/6646724/b5871393996a/fneur-10-00756-g0002.jpg
https://cdn.ncbi.nlm.nih.gov/pmc/blobs/a4a8/6646724/77ea29ff3ade/fneur-10-00756-g0001.jpg
https://cdn.ncbi.nlm.nih.gov/pmc/blobs/a4a8/6646724/b5871393996a/fneur-10-00756-g0002.jpg

相似文献

1
A Novel Ensemble-Based Machine Learning Algorithm to Predict the Conversion From Mild Cognitive Impairment to Alzheimer's Disease Using Socio-Demographic Characteristics, Clinical Information, and Neuropsychological Measures.一种基于集成学习的新型机器学习算法,利用社会人口学特征、临床信息和神经心理学测量来预测从轻度认知障碍向阿尔茨海默病的转变。
Front Neurol. 2019 Jul 16;10:756. doi: 10.3389/fneur.2019.00756. eCollection 2019.
2
A Clinically-Translatable Machine Learning Algorithm for the Prediction of Alzheimer's Disease Conversion in Individuals with Mild and Premild Cognitive Impairment.一种用于预测轻度和轻度认知障碍个体阿尔茨海默病转化的临床可转化机器学习算法。
J Alzheimers Dis. 2018;61(4):1555-1573. doi: 10.3233/JAD-170547.
3
A parameter-efficient deep learning approach to predict conversion from mild cognitive impairment to Alzheimer's disease.一种参数高效的深度学习方法,用于预测轻度认知障碍向阿尔茨海默病的转化。
Neuroimage. 2019 Apr 1;189:276-287. doi: 10.1016/j.neuroimage.2019.01.031. Epub 2019 Jan 14.
4
Machine learning framework for early MRI-based Alzheimer's conversion prediction in MCI subjects.用于基于磁共振成像(MRI)早期预测轻度认知障碍(MCI)患者向阿尔茨海默病转化的机器学习框架。
Neuroimage. 2015 Jan 1;104:398-412. doi: 10.1016/j.neuroimage.2014.10.002. Epub 2014 Oct 12.
5
Predicting Conversion from Subjective Cognitive Decline to Mild Cognitive Impairment and Alzheimer's Disease Dementia Using Ensemble Machine Learning.基于集成机器学习预测主观认知下降向轻度认知障碍和阿尔茨海默病痴呆的转化。
J Alzheimers Dis. 2023;93(1):125-140. doi: 10.3233/JAD-221002.
6
A clinically-translatable machine learning algorithm for the prediction of Alzheimer's disease conversion: further evidence of its accuracy via a transfer learning approach.一种用于预测阿尔茨海默病转化的具有临床可翻译性的机器学习算法:通过迁移学习方法进一步证明其准确性。
Int Psychogeriatr. 2019 Jul;31(7):937-945. doi: 10.1017/S1041610218001618.
7
A Machine Learning-Based Holistic Approach to Predict the Clinical Course of Patients within the Alzheimer's Disease Spectrum.基于机器学习的阿尔茨海默病谱患者临床病程预测的整体方法。
J Alzheimers Dis. 2022;85(4):1639-1655. doi: 10.3233/JAD-210573.
8
Neuropsychological predictors of conversion from mild cognitive impairment to Alzheimer's disease: a feature selection ensemble combining stability and predictability.神经心理学预测指标在轻度认知障碍向阿尔茨海默病转化中的作用:一种结合稳定性和可预测性的特征选择集成。
BMC Med Inform Decis Mak. 2018 Dec 19;18(1):137. doi: 10.1186/s12911-018-0710-y.
9
Comparison of Machine Learning-based Approaches to Predict the Conversion to Alzheimer's Disease from Mild Cognitive Impairment.基于机器学习的方法预测轻度认知障碍向阿尔茨海默病转化的比较。
Neuroscience. 2023 Mar 15;514:143-152. doi: 10.1016/j.neuroscience.2023.01.029. Epub 2023 Feb 2.
10
Optimizing Machine Learning Methods to Improve Predictive Models of Alzheimer's Disease.优化机器学习方法以提高阿尔茨海默病预测模型的性能。
J Alzheimers Dis. 2019;71(3):1027-1036. doi: 10.3233/JAD-190262.

引用本文的文献

1
Machine learning diagnosis of cognitive impairment and dementia in harmonized older adult cohorts.统一老年人群队列中认知障碍和痴呆的机器学习诊断
Alzheimers Dement. 2025 Aug;21(8):e70508. doi: 10.1002/alz.70508.
2
Clinical prediction models using artificial intelligence approaches in dementia.使用人工智能方法的痴呆症临床预测模型。
Aging Clin Exp Res. 2025 Jul 25;37(1):233. doi: 10.1007/s40520-025-03112-6.
3
High-Dimensional Multiresponse Partially Functional Linear Regression.高维多响应部分函数线性回归

本文引用的文献

1
Assessing the Preparedness of the Health Care System Infrastructure in Six European Countries for an Alzheimer's Treatment.评估六个欧洲国家医疗保健系统基础设施对阿尔茨海默病治疗的准备情况。
Rand Health Q. 2019 May 16;8(3):2. eCollection 2019 May.
2
A parameter-efficient deep learning approach to predict conversion from mild cognitive impairment to Alzheimer's disease.一种参数高效的深度学习方法,用于预测轻度认知障碍向阿尔茨海默病的转化。
Neuroimage. 2019 Apr 1;189:276-287. doi: 10.1016/j.neuroimage.2019.01.031. Epub 2019 Jan 14.
3
A clinically-translatable machine learning algorithm for the prediction of Alzheimer's disease conversion: further evidence of its accuracy via a transfer learning approach.
Stat Med. 2025 Jun;44(13-14):e70140. doi: 10.1002/sim.70140.
4
Predicting anorexia nervosa treatment efficacy: an explainable machine learning approach.预测神经性厌食症的治疗效果:一种可解释的机器学习方法。
J Eat Disord. 2025 Jun 2;13(1):97. doi: 10.1186/s40337-025-01265-3.
5
Development of a neural network-based risk prediction model for mild cognitive impairment in older adults with functional disability.基于神经网络的功能残疾老年人轻度认知障碍风险预测模型的开发。
BMC Public Health. 2025 Jun 2;25(1):2050. doi: 10.1186/s12889-025-23310-1.
6
A PARTIALLY FUNCTIONAL LINEAR REGRESSION FRAMEWORK FOR INTEGRATING GENETIC, IMAGING, AND CLINICAL DATA.一种用于整合遗传、影像和临床数据的部分功能线性回归框架。
Ann Appl Stat. 2024 Mar;18(1):704-728. doi: 10.1214/23-aoas1808. Epub 2024 Jan 31.
7
Identifying Alzheimer's Disease Progression Subphenotypes via a Graph-based Framework using Electronic Health Records.通过使用电子健康记录的基于图的框架识别阿尔茨海默病进展亚表型。
Res Sq. 2025 Apr 7:rs.3.rs-6257332. doi: 10.21203/rs.3.rs-6257332/v1.
8
Global Burden of Alzheimer's Disease Attributable to High Fasting Plasma Glucose: Epidemiological Trends and Machine Learning Insights.高空腹血糖所致阿尔茨海默病的全球负担:流行病学趋势与机器学习见解
Risk Manag Healthc Policy. 2025 Apr 14;18:1291-1307. doi: 10.2147/RMHP.S506581. eCollection 2025.
9
Limited generalizability and high risk of bias in multivariable models predicting conversion risk from mild cognitive impairment to dementia: A systematic review.预测轻度认知障碍向痴呆症转化风险的多变量模型的泛化性有限且存在高偏倚风险:一项系统评价。
Alzheimers Dement. 2025 Apr;21(4):e70069. doi: 10.1002/alz.70069.
10
Optimizing Machine Learning Models for Accessible Early Cognitive Impairment Prediction: A Novel Cost-effective Model Selection Algorithm.优化用于可及性早期认知障碍预测的机器学习模型:一种新型经济高效的模型选择算法
IEEE Access. 2024;12:180792-180814. doi: 10.1109/access.2024.3505038. Epub 2024 Nov 22.
一种用于预测阿尔茨海默病转化的具有临床可翻译性的机器学习算法:通过迁移学习方法进一步证明其准确性。
Int Psychogeriatr. 2019 Jul;31(7):937-945. doi: 10.1017/S1041610218001618.
4
Sustainable method for Alzheimer dementia prediction in mild cognitive impairment: Electroencephalographic connectivity and graph theory combined with apolipoprotein E.阿尔茨海默病预测的可持续方法:轻度认知障碍中的脑电图连通性和图论与载脂蛋白 E 相结合。
Ann Neurol. 2018 Aug;84(2):302-314. doi: 10.1002/ana.25289. Epub 2018 Aug 25.
5
Effects of Cognitive Reserve on Cognitive Performance in a Follow-Up Study in Older Adults With Subjective Cognitive Complaints. The Role of Working Memory.认知储备对有主观认知主诉的老年人随访研究中认知表现的影响。工作记忆的作用。
Front Aging Neurosci. 2018 Jun 26;10:189. doi: 10.3389/fnagi.2018.00189. eCollection 2018.
6
A Clinically-Translatable Machine Learning Algorithm for the Prediction of Alzheimer's Disease Conversion in Individuals with Mild and Premild Cognitive Impairment.一种用于预测轻度和轻度认知障碍个体阿尔茨海默病转化的临床可转化机器学习算法。
J Alzheimers Dis. 2018;61(4):1555-1573. doi: 10.3233/JAD-170547.
7
The revolution of personalized psychiatry: will technology make it happen sooner?个性化精神病学的革命:技术会让它更早实现吗?
Psychol Med. 2018 Apr;48(5):705-713. doi: 10.1017/S0033291717002859. Epub 2017 Oct 2.
8
Cost of diagnosing dementia in a German memory clinic.德国一家记忆诊所诊断痴呆症的成本。
Alzheimers Res Ther. 2017 Aug 22;9(1):65. doi: 10.1186/s13195-017-0290-6.
9
Identifying incipient dementia individuals using machine learning and amyloid imaging.使用机器学习和淀粉样蛋白成像识别早期痴呆症患者。
Neurobiol Aging. 2017 Nov;59:80-90. doi: 10.1016/j.neurobiolaging.2017.06.027. Epub 2017 Jul 11.
10
Conversion Discriminative Analysis on Mild Cognitive Impairment Using Multiple Cortical Features from MR Images.基于磁共振图像多皮质特征的轻度认知障碍转换判别分析
Front Aging Neurosci. 2017 May 18;9:146. doi: 10.3389/fnagi.2017.00146. eCollection 2017.