• 文献检索
  • 文档翻译
  • 深度研究
  • 学术资讯
  • Suppr Zotero 插件Zotero 插件
  • 邀请有礼
  • 套餐&价格
  • 历史记录
应用&插件
Suppr Zotero 插件Zotero 插件浏览器插件Mac 客户端Windows 客户端微信小程序
定价
高级版会员购买积分包购买API积分包
服务
文献检索文档翻译深度研究API 文档MCP 服务
关于我们
关于 Suppr公司介绍联系我们用户协议隐私条款
关注我们

Suppr 超能文献

核心技术专利:CN118964589B侵权必究
粤ICP备2023148730 号-1Suppr @ 2026

文献检索

告别复杂PubMed语法,用中文像聊天一样搜索,搜遍4000万医学文献。AI智能推荐,让科研检索更轻松。

立即免费搜索

文件翻译

保留排版,准确专业,支持PDF/Word/PPT等文件格式,支持 12+语言互译。

免费翻译文档

深度研究

AI帮你快速写综述,25分钟生成高质量综述,智能提取关键信息,辅助科研写作。

立即免费体验

基于声子散射机制的超薄体FD SOI MOSFET热导率特性研究

Study on the Thermal Conductivity Characteristics for Ultra-Thin Body FD SOI MOSFETs Based on Phonon Scattering Mechanisms.

作者信息

Zhang Guohe, Lai Junhua, Su Yali, Li Binhong, Li Bo, Bu Jianhui, Yang Cheng-Fu

机构信息

School of Microelectronics, Xi'an Jiaotong University, Xi'an 710049, Shaanxi, China.

School of Mechanical Engineering, Xi'an Shiyou University, Xi'an 710065, Shaanxi, China.

出版信息

Materials (Basel). 2019 Aug 15;12(16):2601. doi: 10.3390/ma12162601.

DOI:10.3390/ma12162601
PMID:31443215
原文链接:https://pmc.ncbi.nlm.nih.gov/articles/PMC6720295/
Abstract

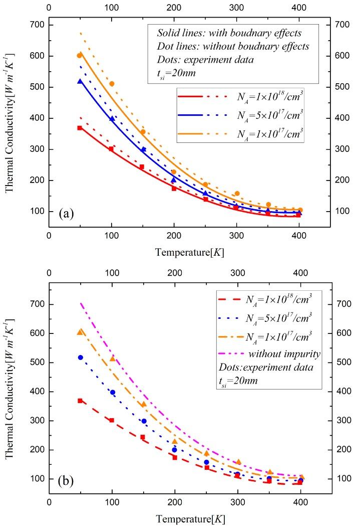
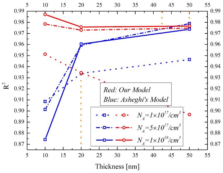
The silicon-on-insulator (SOI) metal-oxide-semiconductor field-effect transistors (MOSFETs) suffer intensive self-heating effects due to the reduced thermal conductivity of the silicon layer while the feature sizes of devices scale down to the nanometer regime. In this work, analytical models of thermal conductivity considering the self-heating effect (SHE) in ultra-thin body fully depleted (UTB-FD) SOI MOSFETs are presented to investigate the influences of impurity, free and bound electrons, and boundary reflection effects on heat diffusion mechanisms. The thermal conductivities of thin silicon films with different parameters, including temperature, depth, thickness and doping concentration, are discussed in detail. The results show that the thermal dissipation associated with the impurity, the free and bound electrons, and especially the boundary reflection effects varying with position due to phonon scattering, greatly suppressed the heat loss ability of the nanoscale ultra-thin silicon film. The predictive power of the thermal conductivity model is enhanced for devices with sub-10-nm thickness and a heavily doped silicon layer while considering the boundary scattering contribution. The absence of the impurity, the electron or the boundary scattering leads to the unreliability in the model prediction with a small coefficient of determination.

摘要

随着器件特征尺寸缩小至纳米量级,绝缘体上硅(SOI)金属氧化物半导体场效应晶体管(MOSFET)由于硅层热导率降低而遭受强烈的自热效应。在这项工作中,提出了考虑超薄体全耗尽(UTB-FD)SOI MOSFET自热效应(SHE)的热导率分析模型,以研究杂质、自由电子和束缚电子以及边界反射效应对热扩散机制的影响。详细讨论了具有不同参数(包括温度、深度、厚度和掺杂浓度)的薄硅膜的热导率。结果表明,与杂质、自由电子和束缚电子相关的热耗散,特别是由于声子散射导致的随位置变化的边界反射效应,极大地抑制了纳米级超薄硅膜的散热能力。在考虑边界散射贡献的情况下,对于厚度小于10nm且硅层重掺杂的器件,热导率模型的预测能力得到增强。杂质、电子或边界散射的缺失会导致模型预测的不可靠性,决定系数较小。

https://cdn.ncbi.nlm.nih.gov/pmc/blobs/958e/6720295/420522501f91/materials-12-02601-g009.jpg
https://cdn.ncbi.nlm.nih.gov/pmc/blobs/958e/6720295/0a1ebb98f259/materials-12-02601-g001a.jpg
https://cdn.ncbi.nlm.nih.gov/pmc/blobs/958e/6720295/371406d6b774/materials-12-02601-g002.jpg
https://cdn.ncbi.nlm.nih.gov/pmc/blobs/958e/6720295/35c796ec2aa0/materials-12-02601-g003.jpg
https://cdn.ncbi.nlm.nih.gov/pmc/blobs/958e/6720295/b048927966c9/materials-12-02601-g004a.jpg
https://cdn.ncbi.nlm.nih.gov/pmc/blobs/958e/6720295/3c51abd1e82d/materials-12-02601-g005a.jpg
https://cdn.ncbi.nlm.nih.gov/pmc/blobs/958e/6720295/2213defca2c6/materials-12-02601-g006.jpg
https://cdn.ncbi.nlm.nih.gov/pmc/blobs/958e/6720295/d2dc79282f73/materials-12-02601-g007.jpg
https://cdn.ncbi.nlm.nih.gov/pmc/blobs/958e/6720295/45d925a7df21/materials-12-02601-g008.jpg
https://cdn.ncbi.nlm.nih.gov/pmc/blobs/958e/6720295/420522501f91/materials-12-02601-g009.jpg
https://cdn.ncbi.nlm.nih.gov/pmc/blobs/958e/6720295/0a1ebb98f259/materials-12-02601-g001a.jpg
https://cdn.ncbi.nlm.nih.gov/pmc/blobs/958e/6720295/371406d6b774/materials-12-02601-g002.jpg
https://cdn.ncbi.nlm.nih.gov/pmc/blobs/958e/6720295/35c796ec2aa0/materials-12-02601-g003.jpg
https://cdn.ncbi.nlm.nih.gov/pmc/blobs/958e/6720295/b048927966c9/materials-12-02601-g004a.jpg
https://cdn.ncbi.nlm.nih.gov/pmc/blobs/958e/6720295/3c51abd1e82d/materials-12-02601-g005a.jpg
https://cdn.ncbi.nlm.nih.gov/pmc/blobs/958e/6720295/2213defca2c6/materials-12-02601-g006.jpg
https://cdn.ncbi.nlm.nih.gov/pmc/blobs/958e/6720295/d2dc79282f73/materials-12-02601-g007.jpg
https://cdn.ncbi.nlm.nih.gov/pmc/blobs/958e/6720295/45d925a7df21/materials-12-02601-g008.jpg
https://cdn.ncbi.nlm.nih.gov/pmc/blobs/958e/6720295/420522501f91/materials-12-02601-g009.jpg

相似文献

1
Study on the Thermal Conductivity Characteristics for Ultra-Thin Body FD SOI MOSFETs Based on Phonon Scattering Mechanisms.基于声子散射机制的超薄体FD SOI MOSFET热导率特性研究
Materials (Basel). 2019 Aug 15;12(16):2601. doi: 10.3390/ma12162601.
2
Thermal Conductivity of β-Phase GaO and (AlGa)O Heteroepitaxial Thin Films.β相GaO和(AlGa)O异质外延薄膜的热导率
ACS Appl Mater Interfaces. 2021 Aug 18;13(32):38477-38490. doi: 10.1021/acsami.1c08506. Epub 2021 Aug 9.
3
Electron-phonon scattering effect on the lattice thermal conductivity of silicon nanostructures.电子-声子散射对硅纳米结构晶格热导率的影响。
Phys Chem Chem Phys. 2017 Nov 1;19(42):28517-28526. doi: 10.1039/c7cp04638c.
4
High In-Plane Thermal Conductivity of Aluminum Nitride Thin Films.氮化铝薄膜的高面内热导率
ACS Nano. 2021 Jun 22;15(6):9588-9599. doi: 10.1021/acsnano.0c09915. Epub 2021 Apr 28.
5
Bulk-like Intrinsic Phonon Thermal Conductivity of Micrometer-Thick AlN Films.微米厚AlN薄膜的体状本征声子热导率
ACS Appl Mater Interfaces. 2020 Jul 1;12(26):29443-29450. doi: 10.1021/acsami.0c03978. Epub 2020 Jun 22.
6
The effect of the electron-phonon coupling on the thermal conductivity of silicon nanowires.电子-声子耦合对硅纳米线热导率的影响。
J Phys Condens Matter. 2012 Jul 25;24(29):295402. doi: 10.1088/0953-8984/24/29/295402. Epub 2012 Jun 22.
7
Effect of Microwave Annealing on the Interface Properties Between the Top Silicon and Buried Oxide Layers in Silicon-on-Insulator MOSFETs.微波退火对绝缘体上硅金属氧化物半导体场效应晶体管中顶层硅与埋氧层之间界面特性的影响
J Nanosci Nanotechnol. 2019 Oct 1;19(10):6043-6049. doi: 10.1166/jnn.2019.17014.
8
Electron-phonon interaction model and prediction of thermal energy transport in SOI transistor.SOI晶体管中电子-声子相互作用模型及热能传输预测。
J Nanosci Nanotechnol. 2007 Nov;7(11):4094-100.
9
Isotope doping-induced crossover shift in the thermal conductivity of thin silicon nanowires.同位素掺杂诱导的薄硅纳米线热导率的交叉移动。
J Phys Condens Matter. 2022 Dec 21;35(8). doi: 10.1088/1361-648X/acab4a.
10
Study of Carrier Mobilities in 4H-SiC MOSFETS Using Hall Analysis.基于霍尔分析的4H-SiC MOSFET载流子迁移率研究
Materials (Basel). 2022 Sep 28;15(19):6736. doi: 10.3390/ma15196736.

引用本文的文献

1
Effects of Thermal Boundary Resistance on Thermal Management of Gallium-Nitride-Based Semiconductor Devices: A Review.热边界电阻对氮化镓基半导体器件热管理的影响:综述
Micromachines (Basel). 2023 Nov 8;14(11):2076. doi: 10.3390/mi14112076.

本文引用的文献

1
Thermo-Electro-Mechanical Simulation of Semiconductor Metal Oxide Gas Sensors.半导体金属氧化物气体传感器的热-电-机械模拟
Materials (Basel). 2019 Jul 28;12(15):2410. doi: 10.3390/ma12152410.
2
Three-Dimensional Free Vibration Analysis of Thermally Loaded FGM Sandwich Plates.热载荷作用下功能梯度材料夹芯板的三维自由振动分析
Materials (Basel). 2019 Jul 25;12(15):2377. doi: 10.3390/ma12152377.
3
Influence of Pore Size Variation on Thermal Conductivity of Open-Porous Foams.孔径变化对开孔泡沫材料热导率的影响
Materials (Basel). 2019 Jun 24;12(12):2017. doi: 10.3390/ma12122017.
4
Analysis on Self Heating Effect for a Trenched Source/Drain Structure in Triple-Stacked Nanowire FET.三堆叠纳米线场效应晶体管中沟槽源极/漏极结构的自热效应分析
J Nanosci Nanotechnol. 2019 Apr 1;19(4):2281-2284. doi: 10.1166/jnn.2019.15811.
5
Heat transfer in rough nanofilms and nanowires using full band ab initio Monte Carlo simulation.使用全带从头算蒙特卡罗模拟研究粗糙纳米薄膜和纳米线中的热传递。
J Phys Condens Matter. 2018 Dec 12;30(49):495902. doi: 10.1088/1361-648X/aaea4f. Epub 2018 Nov 15.