Suppr超能文献

宫颈癌从诊断到治疗的时间间隔对生存的影响:一项全国性队列研究。

Effect of time interval from diagnosis to treatment for cervical cancer on survival: A nationwide cohort study.

机构信息

Department of Health Services Administration, China Medical University, Taichung, Taiwan, R.O.C.

Department of Orthopaedics, Taichung Veterans General Hospital, Taichung, Taiwan, R.O.C.

出版信息

PLoS One. 2019 Sep 4;14(9):e0221946. doi: 10.1371/journal.pone.0221946. eCollection 2019.

Abstract

OBJECTIVES

Despite the ease of health care access and the waiver of copayments for cancer patients, treatment is delayed in a small proportion of Taiwanese patients diagnosed with cervical cancer. In this study, we explored the relationship between the time interval from diagnosis to treatment and survival in cervical cancer patients.

MATERIAL AND METHODS

The study was a retrospective population-based observational study conducted between 2004 and 2010. In Taiwan, 12,020 patients were newly diagnosed with cervical cancer from 2004 to 2010, and 9,693 patients (80.6%) were enrolled in our final analysis.

RESULTS

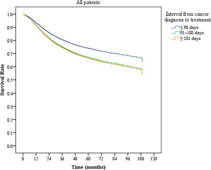
Most of the patients received treatment within 90 days of diagnosis (n = 9,341, 96.37%). After adjustment for other variables, patients who received treatment between 90 and 180 days and >180 days after diagnosis had a 1.33 (95% CI: 1.02-1.72, P < 0.05) and 1.36 (95% CI: 1.12-1.65, P < 0.05) times higher risk of death, respectively, than those who received treatment within 90 days. Kaplan-Meier analysis showed that the patients treated after 90 days from diagnosis had a lower overall survival rate than those treated within 90 days. In analysis stratifying the patients according to their initial tumor stage, namely stages I and II and stage III and IV, the time interval from diagnosis to treatment remained a significant prognosticator in those who received treatment >180 days after diagnosis.

CONCLUSION

A longer interval between diagnosis and treatment is associated with poorer prognosis among cervical cancer patients.

摘要

目的

尽管台湾地区癌症患者享有便捷的医疗服务和免除共付额,但仍有一小部分患者的治疗被延迟。本研究旨在探讨从诊断到治疗的时间间隔与宫颈癌患者生存之间的关系。

材料与方法

本研究是一项回顾性基于人群的观察性研究,于 2004 年至 2010 年进行。在台湾,2004 年至 2010 年期间有 12020 名患者被新诊断为宫颈癌,其中 9693 名(80.6%)患者纳入本研究的最终分析。

结果

大多数患者在诊断后 90 天内接受了治疗(n=9341,96.37%)。在调整其他变量后,诊断后 90-180 天和>180 天接受治疗的患者死亡风险分别是诊断后 90 天内接受治疗患者的 1.33 倍(95%CI:1.02-1.72,P<0.05)和 1.36 倍(95%CI:1.12-1.65,P<0.05)。Kaplan-Meier 分析显示,诊断后 90 天以上接受治疗的患者总生存率低于诊断后 90 天内接受治疗的患者。根据患者的初始肿瘤分期(I 期和 II 期与 III 期和 IV 期)对患者进行分层分析,诊断后>180 天接受治疗的患者中,治疗时间间隔仍是显著的预后预测因素。

结论

从诊断到治疗的时间间隔延长与宫颈癌患者的预后较差相关。

https://cdn.ncbi.nlm.nih.gov/pmc/blobs/a796/6726236/5a4d5bf2ad70/pone.0221946.g001.jpg

文献检索

告别复杂PubMed语法,用中文像聊天一样搜索,搜遍4000万医学文献。AI智能推荐,让科研检索更轻松。

立即免费搜索

文件翻译

保留排版,准确专业,支持PDF/Word/PPT等文件格式,支持 12+语言互译。

免费翻译文档

深度研究

AI帮你快速写综述,25分钟生成高质量综述,智能提取关键信息,辅助科研写作。

立即免费体验