Human Performance Laboratory, University of Salford, Greater Manchester, UK.
The FA Group, St George's Park, Burton-upon-Trent, Staffordshire, UK.
Sports Med. 2020 Jan;50(1):83-99. doi: 10.1007/s40279-019-01178-7.
Although performance of the Nordic hamstring exercise (NHE) has been shown to elicit adaptations that may reduce hamstring strain injury (HSI) risk and occurrence, compliance in NHE interventions in professional soccer teams is low despite a high occurrence of HSI in soccer. A possible reason for low compliance is the high dosages prescribed within the recommended interventions. The aim of this review was to investigate the effect of NHE-training volume on eccentric hamstring strength and biceps femoris fascicle length adaptations.
A literature search was conducted using the SPORTDiscus, Ovid, and PubMed databases. A total of 293 studies were identified prior to application of the following inclusion criteria: (1) a minimum of 4 weeks of NHE training was completed; (2) mean ± standard deviation (SD) pre- and post-intervention were provided for the measured variables to allow for secondary analysis; and (3) biceps femoris muscle architecture was measured, which resulted in 13 studies identified for further analysis. The TESTEX criteria were used to assess the quality of studies with risk of bias assessment assessed using a fail-safe N (Rosenthal method). Consistency of studies was analysed using I as a test of heterogeneity and secondary analysis of studies included Hedges' g effect sizes for strength and muscle architecture variables to provide comparison within studies, between-study differences were estimated using a random-effects model.
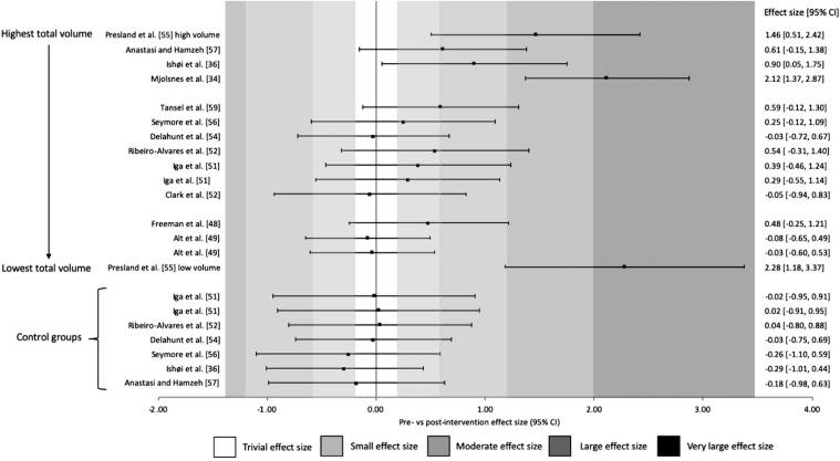
A range of scores (3-11 out of 15) from the TESTEX criteria were reported, showing variation in study quality. A 'low risk of bias' was observed in the randomized controlled trials included, with no study bias shown for both strength or architecture (N = 250 and 663, respectively; p < 0.001). Study consistency was moderate to high for strength (I = 62.49%) and muscle architecture (I = 88.03%). Within-study differences showed that following interventions of ≥ 6 weeks, very large positive effect sizes were seen in eccentric strength following both high volume (g = 2.12) and low volume (g = 2.28) NHE interventions. Similar results were reported for changes in fascicle length (g ≥ 2.58) and a large-to-very large positive reduction in pennation angle (g ≥ 1.31). Between-study differences were estimated to be at a magnitude of 0.374 (p = 0.009) for strength and 0.793 (p < 0.001) for architecture.
Reducing NHE volume prescription does not negatively affect adaptations in eccentric strength and muscle architecture when compared with high dose interventions. These findings suggest that lower volumes of NHE may be more appropriate for athletes, with an aim to increase intervention compliance, potentially reducing the risk of HSI.
尽管北欧腘绳肌训练(NHE)的表现已经被证明可以产生适应,从而降低腘绳肌拉伤(HSI)的风险和发生,但尽管足球中 HSI 的发生率很高,职业足球队中 NHE 干预的依从性仍然很低。依从性低的一个可能原因是建议的干预措施中规定的剂量过高。本综述的目的是调查 NHE 训练量对离心腘绳肌力量和股二头肌肌腹长度适应性的影响。
使用 SPORTDiscus、Ovid 和 PubMed 数据库进行文献检索。在应用以下纳入标准之前,共确定了 293 项研究:(1)完成了至少 4 周的 NHE 训练;(2)提供了干预前后的均值±标准差(SD),以便进行二次分析;(3)测量了股二头肌肌肉结构,这导致了 13 项研究被确定为进一步分析。使用 TESTEX 标准评估研究质量,使用 Rosenthal 方法评估风险偏倚评估的失效安全 N(fail-safe N)。使用 I 分析研究的一致性,作为异质性检验,对包括的研究进行二次分析,以提供研究内的比较,使用随机效应模型估计研究间差异。
报告了 TESTEX 标准的分数范围(15 分中的 3-11 分),显示了研究质量的差异。纳入的随机对照试验中观察到“低风险偏倚”,在力量或结构方面均未显示出研究偏倚(N=250 和 663,分别为;p<0.001)。研究的一致性为力量(I=62.49%)和肌肉结构(I=88.03%)的中等至高度。在研究内差异方面,在干预时间≥6 周后,高强度(g=2.12)和低强度(g=2.28)NHE 干预后,离心力量的非常大的正效应大小。类似的结果也报告了肌腹长度的变化(g≥2.58)和肌腹角度的大幅度至非常大的减小(g≥1.31)。研究间差异估计为 0.374(p=0.009)的力量和 0.793(p<0.001)的结构。
与高剂量干预相比,降低 NHE 剂量不会对离心力量和肌肉结构的适应性产生负面影响。这些发现表明,较低剂量的 NHE 可能更适合运动员,目的是提高干预的依从性,从而降低 HSI 的风险。