Suppr超能文献

各种骨骼参数与母鸡体重呈正相关,而范围访问对自由放养层胫骨健康没有有益影响。

Various bone parameters are positively correlated with hen body weight while range access has no beneficial effect on tibia health of free-range layers.

机构信息

School of Environmental and Rural Science, Faculty of Science, Agriculture, Business and Law, University of New England, Armidale NSW 2351 Australia.

School of Science and Technology, Faculty of Science, Agriculture, Business and Law, Precision Agriculture Research Group, University of New England, Armidale NSW 2351 Australia.

出版信息

Poult Sci. 2019 Dec 1;98(12):6241-6250. doi: 10.3382/ps/pez487.

Abstract

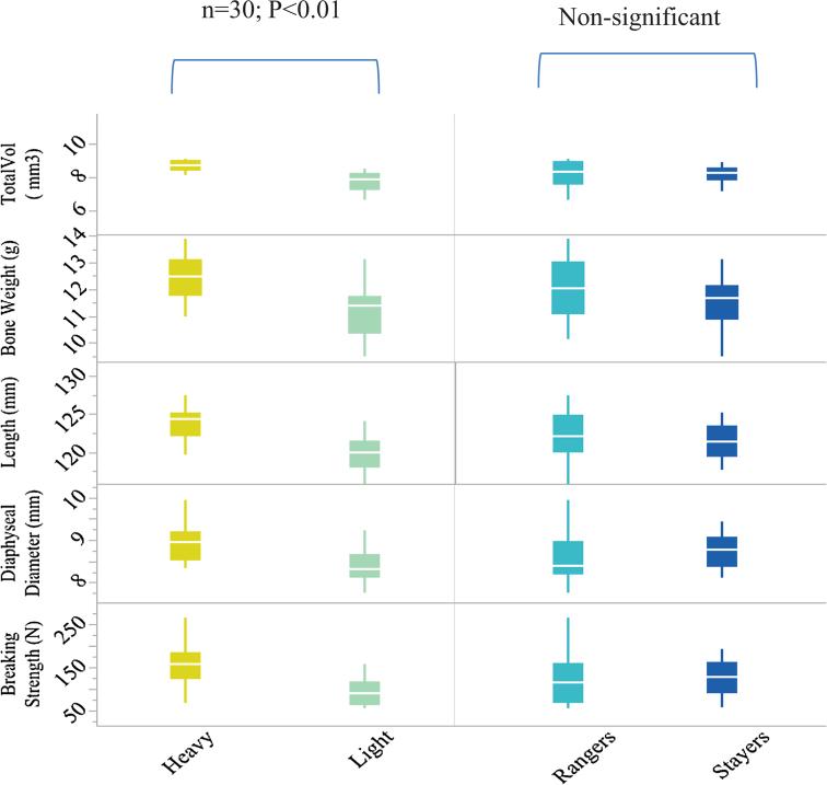
The aim of this study was to determine if body weight or range use has a significant impact on bone health in commercial free-range laying hens, and to correlate tibia bone quality parameters with individual range usage and body weight. A total of 30 Lohmann Brown hens at 74 wk of age were selected from a commercial free-range farm and were either classified as heavy (mean ± SEM body weight 2.11 ± 0.034 kg, n = 14) or light (1.68 ± 0.022 kg, n = 16) body weight, and also classified as rangers (accessed the range for 86.7% of available days, n = 16) or stayers (accessed the range for 5.00% of available days, n = 14). The left tibiae of all individuals were analyzed for morphological parameters using computed tomography, evaluated for bone breaking strength, and ashed to determine mineral composition. Keel bone scoring was performed based on observation. Data were analyzed using a 2 × 2 factorial ANOVA, and regression analysis was performed. There was no measurable effect of range usage on any of the tibia parameters investigated. The body weight was significantly correlated with tibia breaking strength (r = 0.59), tibia weight (r = 0.56), tibia length (r = 0.64), diaphyseal diameter (r = 0.61), and total tibia volume (r = 0.67). In conclusion, range access had no beneficial effect on bone health. The impact of internal hen house furnishing and movement on bone health needs further investigation.

摘要

本研究旨在确定体重或活动范围是否对商业自由放养蛋鸡的骨骼健康有重大影响,并将胫骨骨质量参数与个体活动范围使用情况和体重相关联。从一个商业自由放养农场中选择了 30 只 74 周龄的洛曼棕色母鸡,它们被分为重型(平均±SEM 体重 2.11±0.034 千克,n = 14)或轻型(1.68±0.022 千克,n = 16),还分为漫步者(可使用范围的 86.7%,n = 16)或留守者(可使用范围的 5.00%,n = 14)。所有个体的左侧胫骨均使用计算机断层扫描进行形态参数分析,评估骨断裂强度,并进行灰化以确定矿物质组成。根据观察进行龙骨评分。使用 2×2 因子方差分析和回归分析对数据进行分析。活动范围对所研究的任何胫骨参数都没有可测量的影响。体重与胫骨断裂强度(r = 0.59)、胫骨重量(r = 0.56)、胫骨长度(r = 0.64)、骨干直径(r = 0.61)和总胫骨体积(r = 0.67)呈显著相关。综上所述,活动范围对骨骼健康没有有益影响。内部鸡舍陈设和运动对骨骼健康的影响需要进一步研究。

https://cdn.ncbi.nlm.nih.gov/pmc/blobs/5dbc/8913749/55debf5ff9b7/gr1.jpg

文献AI研究员

20分钟写一篇综述,助力文献阅读效率提升50倍。

立即体验

用中文搜PubMed

大模型驱动的PubMed中文搜索引擎

马上搜索

文档翻译

学术文献翻译模型,支持多种主流文档格式。

立即体验