Suppr超能文献

Ga-68 PSMA PET/MRI检测原发性前列腺病变中SUV与表观扩散系数值的相关性及其在淋巴结转移中的意义:一项正在进行的研究的初步结果

Correlation of SUV and Apparent Diffusion Coefficient Values Detected by Ga-68 PSMA PET/MRI in Primary Prostate Lesions and Their Significance in Lymph Node Metastasis: Preliminary Results of an On-going Study.

作者信息

Uslu-Beşli Lebriz, Bakır Barış, Asa Sertaç, Güner Ekrem, Demirdağ Çetin, Şahin Onur Erdem, Karayel Emre, Sağer Muhammet Sait, Sayman Haluk Burçak, Sönmezoğlu Kerim

机构信息

Istanbul University-Cerrahpasa Faculty of Medicine, Department of Nuclear Medicine, İstanbul, Turkey

Istanbul University İstanbul Faculty of Medicine, Department of Radiology, İstanbul, Turkey

出版信息

Mol Imaging Radionucl Ther. 2019 Sep 6;28(3):104-111. doi: 10.4274/mirt.galenos.2019.63825.

Abstract

OBJECTIVES

Gallium-68 (Ga-68) prostate specific membrane antigen (PSMA) positron emission tomography (PET) has been shown to be more accurate than multiparametric prostate magnetic resonance imaging (MRI) in detection of primary prostate lesions. Using hybrid PET/MRI we aim to detect the correlation between SUV and apparent diffusion coefficient (ADC) in primary prostate lesions and to assess their prognostic value in detection of lymph node (LN) metastasis.

METHODS

Twenty-six patients, who were diagnosed as having prostate cancer with biopsy and underwent Ga-68 PSMA PET/MRI together with biparametric prostate MRI (bpMRI) were included. SUV, SUV and ADC were recorded for index lesions drawing a region of interest (ROI) of 1 cm around the pixel with the highest SUV (ROI-1) and another ROI following borders of prostate tumor detected by bpMRI (ROI-2). Presence of LN metastasis was recorded according to PSMA PET/MRI

RESULTS

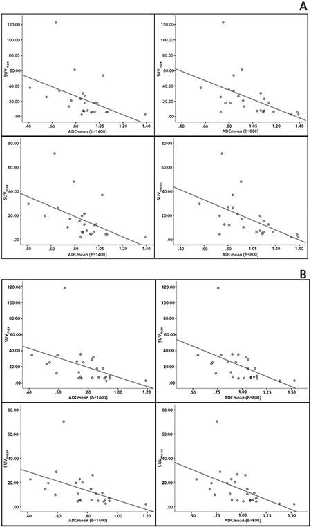
SUV was inversely correlated with ADC (ROI-1: p=0.010; ROI-2: p=0.017 for b=800). SUV and SUV were both higher in patients with LN metastasis and ADC was lower in patients with LN metastasis for ROI-1. SUV cut-off value of 19.8 for ROI-1 and 20.9 for ROI-2 had sensitivity and specificity of 77.8% and 76.5%, respectively for detection of LN metastasis, whereas ADC (b=800) cut-off value of 0.92x10 mm/s had sensitivity and specificity of 87.5% and 76.5%, respectively. SUV/ADC (b=800) ratio increased the sensitivity and specificity to 100% and 82.4%, respectively.

CONCLUSION

SUV and ADC values are inversely correlated in primary prostate lesions and the combined use of both values increases the diagnostic accuracy of hybrid PET/MRI in the detection of primary prostate lesions.

摘要

目的

已证明镓 - 68(Ga - 68)前列腺特异性膜抗原(PSMA)正电子发射断层扫描(PET)在检测原发性前列腺病变方面比多参数前列腺磁共振成像(MRI)更准确。使用PET/MRI混合成像,我们旨在检测原发性前列腺病变中标准化摄取值(SUV)与表观扩散系数(ADC)之间的相关性,并评估它们在检测淋巴结(LN)转移中的预后价值。

方法

纳入26例经活检确诊为前列腺癌并接受Ga - 68 PSMA PET/MRI以及双参数前列腺MRI(bpMRI)检查的患者。在指数病变处记录SUV、SUV以及ADC值,通过在SUV最高的像素周围绘制1 cm的感兴趣区(ROI - 1)以及按照bpMRI检测到的前列腺肿瘤边界绘制另一个ROI(ROI - 2)来获取相关数据。根据PSMA PET/MRI记录LN转移情况。

结果

SUV与ADC呈负相关(ROI - 1:b = 800时,p = 0.010;ROI - 2:p = 0.017)。对于ROI - 1,有LN转移的患者SUV和SUV均较高,而有LN转移的患者ADC较低。ROI - 1的SUV截断值为19.8,ROI - 2的SUV截断值为20.9,在检测LN转移时,敏感性和特异性分别为77.8%和76.5%,而ADC(b = 800)截断值为0.92×10⁻³mm²/s时敏感性和特异性分别为87.5%和76.5%。SUV/ADC(b = 800)比值分别将敏感性和特异性提高到100%和82.4%。

结论

原发性前列腺病变中SUV和ADC值呈负相关,两者联合使用可提高PET/MRI混合成像在检测原发性前列腺病变中的诊断准确性。

https://cdn.ncbi.nlm.nih.gov/pmc/blobs/a549/6746007/b6047aae9b77/MIRT-28-104-g1.jpg

文献AI研究员

20分钟写一篇综述,助力文献阅读效率提升50倍。

立即体验

用中文搜PubMed

大模型驱动的PubMed中文搜索引擎

马上搜索

文档翻译

学术文献翻译模型,支持多种主流文档格式。

立即体验