Suppr超能文献

从青年到成年的举重成绩发展以及奥运会举重项目的最佳成绩年龄

Performance Development From Youth to Senior and Age of Peak Performance in Olympic Weightlifting.

作者信息

Huebner Marianne, Perperoglou Aris

机构信息

Department of Statistics and Probability, Michigan State University, East Lansing, MI, United States.

Department of Mathematical Sciences, University of Essex, Colchester, United Kingdom.

出版信息

Front Physiol. 2019 Aug 27;10:1121. doi: 10.3389/fphys.2019.01121. eCollection 2019.

Abstract

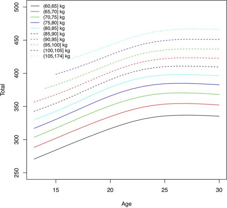
A total of 3,782 performance results for male and female weightlifters, ages 14-30 from 123 countries, from Youth, Junior, and Senior World Championships and Olympic Games 2013-2017 were used to estimate the age at peak performance in Olympic weightlifting and quantify performance development from adolescence to adulthood. The age at peak performance was estimated for men and women globally and for different geographic regions. Overall, male and female weightlifters achieve their peak performance in weightlifting at similar ages. The median peak age is 26.0 years (95% CI: 24.9, 27.1) for men and 25.0 years (95% CI: 23.9, 27.4) for women, at the 90th percentile of performances. The median peak age was 26.3 years for men (95% CI: 24.5, 29.6) and 26.4 years for women (95% CI: 24.5, 29.6), at the 50th percentile. It is a novel finding that the age at peak performance varies for male and female athletes from different geographic regions (Western Europe, Eastern Europe, Middle East, Far East, North- and South America). For some regions men reach peak performance at a younger age than women, while this relationship is reversed for other regions. A possible explanation could be that socio-economic factors influence the pool of available athletes and thus may under- or overestimate the true peak age. Unlike in track and field where the discipline might determine specific body types, weightlifters at all ages compete in body weight classes, enabling us to compare performance levels and annual rate of change for athletes of different body mass. We quantified increases in performance in Olympic weightlifting for male and female adolescents. Sex-specific differences arise during puberty, boys outperform girls, and there is a rapid increase in their performance levels before the further growth slows down. The largest annual rate of increase in the total weight lifted was achieved between 16 and 17 years of age for both sexes with lower body mass and between 21 and 22 years with higher body mass. Such new information may help to establish progression trajectories for young athletes.

摘要

研究使用了来自123个国家、年龄在14至30岁之间的男女举重运动员在2013 - 2017年青年、少年和成年世界锦标赛及奥运会上的总计3782项成绩结果,来估算奥运会举重项目的最佳表现年龄,并量化从青春期到成年期的成绩发展情况。对全球以及不同地理区域的男性和女性举重运动员的最佳表现年龄进行了估算。总体而言,男女举重运动员在相近的年龄达到举重项目的最佳表现。在成绩的第90百分位数上,男性的最佳年龄中位数为26.0岁(95%置信区间:24.9,27.1),女性为25.0岁(95%置信区间:23.9,27.4)。在成绩的第50百分位数上,男性的最佳年龄中位数为26.3岁(95%置信区间:24.5,29.6),女性为26.4岁(95%置信区间:24.5,29.6)。一个新的发现是,不同地理区域(西欧、东欧、中东、远东、南北美洲)的男女运动员最佳表现年龄有所不同。在某些地区,男性达到最佳表现的年龄比女性小,而在其他地区这种关系则相反。一种可能的解释是,社会经济因素影响了可用运动员的群体,从而可能低估或高估了真正的最佳年龄。与田径项目不同,田径项目的不同项目可能决定特定的身体类型,而举重运动员在所有年龄段都按体重级别参赛,这使我们能够比较不同体重运动员的成绩水平和年度变化率。我们量化了男女青少年在奥运会举重项目中的成绩增长情况。青春期会出现性别差异,男孩表现优于女孩,并且在进一步生长放缓之前,他们的成绩水平会迅速提高。对于体重较低的男女,举起的总重量年增长率最高出现在16至17岁之间;对于体重较高的男女,则出现在21至22岁之间。这些新信息可能有助于为年轻运动员建立进步轨迹。

https://cdn.ncbi.nlm.nih.gov/pmc/blobs/e27a/6732744/892f186bf6dc/fphys-10-01121-g001.jpg

文献AI研究员

20分钟写一篇综述,助力文献阅读效率提升50倍。

立即体验

用中文搜PubMed

大模型驱动的PubMed中文搜索引擎

马上搜索

文档翻译

学术文献翻译模型,支持多种主流文档格式。

立即体验