Suppr超能文献

一种用于亚组剂量探索试验的多重比较方法。

A multiple comparison procedure for dose-finding trials with subpopulations.

作者信息

Thomas Marius, Bornkamp Björn, Posch Martin, König Franz

机构信息

Novartis Pharma AG, Novartis Campus, Basel, Switzerland.

Section of Medical Statistics, Medical University of Vienna, Vienna, Austria.

出版信息

Biom J. 2020 Jan;62(1):53-68. doi: 10.1002/bimj.201800111. Epub 2019 Sep 23.

Abstract

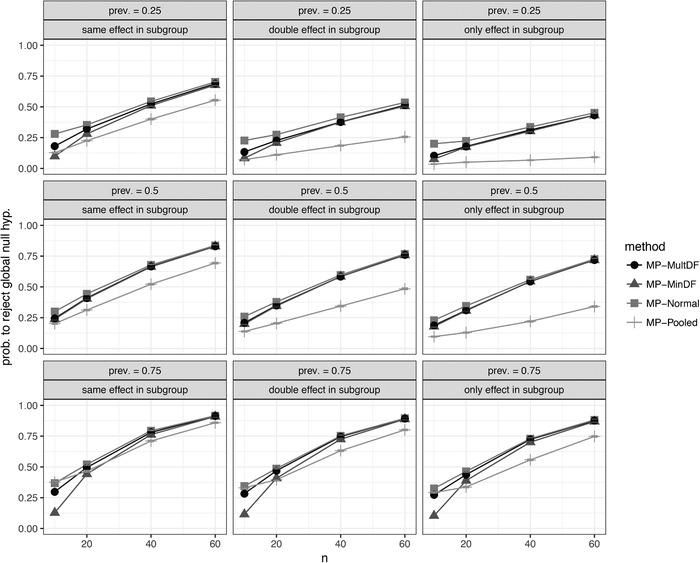
Identifying subgroups of patients with an enhanced response to a new treatment has become an area of increased interest in the last few years. When there is knowledge about possible subpopulations with an enhanced treatment effect before the start of a trial it might be beneficial to set up a testing strategy, which tests for a significant treatment effect not only in the full population, but also in these prespecified subpopulations. In this paper, we present a parametric multiple testing approach for tests in multiple populations for dose-finding trials. Our approach is based on the MCP-Mod methodology, which uses multiple comparison procedures (MCPs) to test for a dose-response signal, while considering multiple possible candidate dose-response shapes. Our proposed methods allow for heteroscedastic error variances between populations and control the family-wise error rate over tests in multiple populations and for multiple candidate models. We show in simulations that the proposed multipopulation testing approaches can increase the power to detect a significant dose-response signal over the standard single-population MCP-Mod, when the specified subpopulation has an enhanced treatment effect.

摘要

在过去几年中,识别对新疗法反应增强的患者亚组已成为一个备受关注的领域。在试验开始前,如果了解到可能存在治疗效果增强的亚群,那么制定一种测试策略可能会有所帮助,这种策略不仅要在总体人群中测试显著的治疗效果,还要在这些预先指定的亚群中进行测试。在本文中,我们提出了一种用于剂量探索试验中多总体测试的参数化多重测试方法。我们的方法基于MCP-Mod方法,该方法使用多重比较程序(MCP)来测试剂量反应信号,同时考虑多种可能的候选剂量反应形状。我们提出的方法允许不同总体之间存在异方差误差,并在多总体测试以及多个候选模型的测试中控制家族性错误率。我们在模拟中表明,当指定的亚群具有增强的治疗效果时,所提出 的多总体测试方法比标准的单总体MCP-Mod方法具有更高的检测显著剂量反应信号的能力。

https://cdn.ncbi.nlm.nih.gov/pmc/blobs/3b0f/6973002/8100fa7ab56e/BIMJ-62-53-g004.jpg

文献检索

告别复杂PubMed语法,用中文像聊天一样搜索,搜遍4000万医学文献。AI智能推荐,让科研检索更轻松。

立即免费搜索

文件翻译

保留排版,准确专业,支持PDF/Word/PPT等文件格式,支持 12+语言互译。

免费翻译文档

深度研究

AI帮你快速写综述,25分钟生成高质量综述,智能提取关键信息,辅助科研写作。

立即免费体验