Suppr超能文献

采煤塌陷区降低了干旱半干旱地区土壤肥力,导致土壤退化。

Land Subsidence in a Coal Mining Area Reduced Soil Fertility and Led to Soil Degradation in Arid and Semi-Arid Regions.

机构信息

School of Chemical and Environmental Engineering, China University of Mining & Technology (Beijing), Beijing 100083, China.

College of Life Science, University of Chinese Academy of Sciences, Beijing 100049, China.

出版信息

Int J Environ Res Public Health. 2019 Oct 16;16(20):3929. doi: 10.3390/ijerph16203929.

Abstract

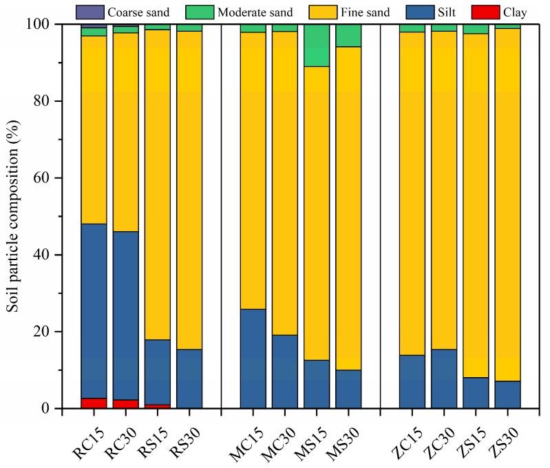
Underground coal mining in western China causes heavy land subsidence and alters the soil ecology. However, the effects of land subsidence on soil fertility are not currently known, and the key factors governing its impact remain unclear in sandy land. We investigated the effects of land subsidence induced by underground mining on the soil quality in western China. Soil samples were collected at 0-15 cm and 15-30 cm from control and subsidence areas in three coal mines. The results showed that the soil water content (SWC), clay and silt percentage, total nitrogen (TN), dissolved organic carbon (DOC), ammonia nitrogen (NH-N), nitrate nitrogen (NO-N), available phosphorus (AP), and available potassium (AK) of the subsidence areas were significantly lower than those of the control areas. The saccharase, urease, and alkaline phosphatase activities in the subsidence areas decreased compared to those in the control areas, while the sand percentage of soil tended to increase. Soil nutrient contents, bacterial quantities, and activities of soil enzymes were positively correlated with SWC. Redundancy analysis (RDA) showed that the soil particle size distribution, SWC, and electrical conductivity (EC) were the major environmental factors driving changes in soil properties. These results indicated that land subsidence induced by coal mining caused losses in surface soil water and nutrients, and ultimately led to soil quality degradation. Therefore, the reclamation of mining subsidence land might be necessary, especially in arid and semi-arid areas.

摘要

中国西部的地下采煤导致了严重的地面沉降,并改变了土壤生态。然而,地面沉降对土壤肥力的影响目前尚不清楚,在沙质土地中,控制其影响的关键因素仍不清楚。我们调查了地下采煤引起的地面沉降对中国西部土壤质量的影响。在三个煤矿的沉降区和对照区采集了 0-15cm 和 15-30cm 的土壤样本。结果表明,沉降区的土壤含水量(SWC)、粘粒和粉粒百分比、总氮(TN)、溶解性有机碳(DOC)、氨氮(NH-N)、硝态氮(NO-N)、有效磷(AP)和速效钾(AK)明显低于对照区。沉降区的蔗糖酶、脲酶和碱性磷酸酶活性均低于对照区,而土壤砂粒百分比则呈上升趋势。土壤养分含量、细菌数量和土壤酶活性与 SWC 呈正相关。冗余分析(RDA)表明,土壤颗粒分布、SWC 和电导率(EC)是驱动土壤性质变化的主要环境因素。这些结果表明,采煤引起的地面沉降导致表土水分和养分流失,最终导致土壤质量退化。因此,对采煤沉降土地进行复垦可能是必要的,尤其是在干旱和半干旱地区。

https://cdn.ncbi.nlm.nih.gov/pmc/blobs/18e5/6843680/d28eded63cd7/ijerph-16-03929-g001.jpg

文献AI研究员

20分钟写一篇综述,助力文献阅读效率提升50倍。

立即体验

用中文搜PubMed

大模型驱动的PubMed中文搜索引擎

马上搜索

文档翻译

学术文献翻译模型,支持多种主流文档格式。

立即体验