Suppr超能文献

不同类型的检测管对使用当前糖尿病诊断界值进行患者分类的影响。

Effects of different tube types on patient classification using current diabetes decision limits.

作者信息

Orth Matthias, Hawran Hannes, Ulloor Jagadish, Bachhawat Kiran, Lennartz Lieselotte

机构信息

Vinzenz von Paul Kliniken gGmbH, Institut für Laboratoriumsmedizin, D-70199, Stuttgart, Germany.

Medizinische Fakultät Mannheim, Ruprecht Karls Universität, Mannheim, Germany.

出版信息

Pract Lab Med. 2019 Sep 19;17:e00134. doi: 10.1016/j.plabm.2019.e00134. eCollection 2019 Nov.

Abstract

UNLABELLED

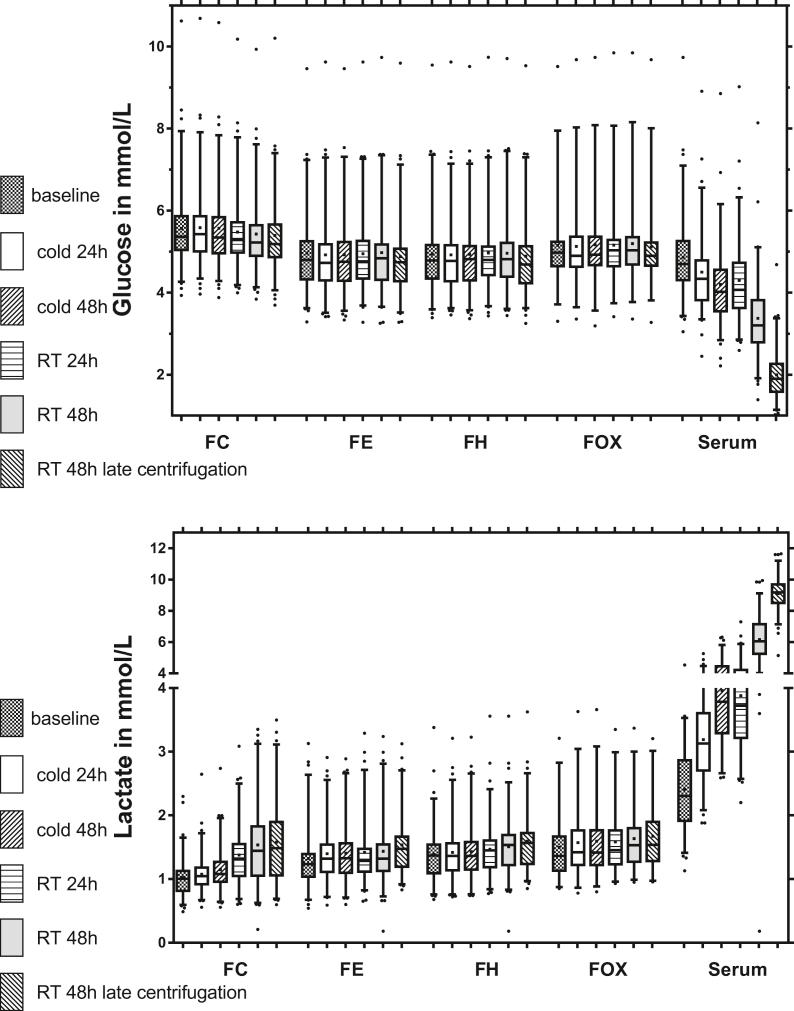
Management of diabetes is a challenge starting in the pre-analytical phase with selecting the most appropriate glycolysis inhibitor. Study goal was to calculate the impact of tubes with different glycolysis inhibitors on the classification of the glycemic control of 157,415 consecutive hospital patients according to current WHO diabetes criteria.

METHODS

Glucose and lactate were measured in parallel in samples from 68 healthy subjects collected and stored in different sample tubes from Sarstedt and Greiner. Bias to baseline conditions (fluoride heparin (FH) tubes, centrifugation within 1 h) was determined.

RESULTS

In baseline samples, glucose concentration in fluoride/EDTA/citrate (FC) plasma was ~13% higher and lactate concentration ~20% lower compared to FH, fluoride oxalate, and fluoride EDTA plasma, and in serum. Glucose recovery after storage up to 48 h was 99-101% in the different tubes, but the effectiveness of glycolysis inhibition by FC was inconsistent. Based on the observed mean bias of 12% when FC tubes are used, we estimate an increase of 48.4-55.8% in the frequency of patients with impaired glucose levels using current WHO criteria.

CONCLUSION

Using current established decision limits, the number of patients with impaired glucose levels in the hospital would increase substantially with a strong impact on patient treatment and consumption of resources. The unpredictable failure of glycolysis inhibition in FC tubes does not allow to adjust the decision limits by a fixed factor. In the absence of prospective outcome studies with FC tubes, we recommend to measure glucose in samples containing FH.

摘要

未标注

糖尿病管理从分析前阶段选择最合适的糖酵解抑制剂就面临挑战。研究目标是根据世界卫生组织(WHO)当前的糖尿病标准,计算使用不同糖酵解抑制剂的试管对157415例连续住院患者血糖控制分类的影响。

方法

对来自68名健康受试者的样本平行测定葡萄糖和乳酸,这些样本采集后储存在Sarstedt和Greiner的不同样本试管中。确定与基线条件(氟化物肝素(FH)试管,1小时内离心)的偏差。

结果

在基线样本中,与FH、氟草酸和氟化物乙二胺血浆以及血清相比,氟化物/乙二胺四乙酸/柠檬酸盐(FC)血浆中的葡萄糖浓度高约13%,乳酸浓度低约20%。在不同试管中储存长达48小时后的葡萄糖回收率为99 - 101%,但FC对糖酵解的抑制效果不一致。基于使用FC试管时观察到的12%的平均偏差,我们估计按照WHO当前标准,血糖水平受损患者的频率将增加48.4 - 55.8%。

结论

使用当前既定的判定界限,医院中血糖水平受损患者的数量将大幅增加,这对患者治疗和资源消耗有重大影响。FC试管中糖酵解抑制效果不可预测的失败使得无法通过固定因子调整判定界限。在缺乏关于FC试管的前瞻性结果研究的情况下,我们建议在含有FH的样本中测量葡萄糖。

https://cdn.ncbi.nlm.nih.gov/pmc/blobs/8cce/6804563/96a78e1f9768/gr1.jpg

文献检索

告别复杂PubMed语法,用中文像聊天一样搜索,搜遍4000万医学文献。AI智能推荐,让科研检索更轻松。

立即免费搜索

文件翻译

保留排版,准确专业,支持PDF/Word/PPT等文件格式,支持 12+语言互译。

免费翻译文档

深度研究

AI帮你快速写综述,25分钟生成高质量综述,智能提取关键信息,辅助科研写作。

立即免费体验