• 文献检索
  • 文档翻译
  • 深度研究
  • 学术资讯
  • Suppr Zotero 插件Zotero 插件
  • 邀请有礼
  • 套餐&价格
  • 历史记录
应用&插件
Suppr Zotero 插件Zotero 插件浏览器插件Mac 客户端Windows 客户端微信小程序
定价
高级版会员购买积分包购买API积分包
服务
文献检索文档翻译深度研究API 文档MCP 服务
关于我们
关于 Suppr公司介绍联系我们用户协议隐私条款
关注我们

Suppr 超能文献

核心技术专利:CN118964589B侵权必究
粤ICP备2023148730 号-1Suppr @ 2026

文献检索

告别复杂PubMed语法,用中文像聊天一样搜索,搜遍4000万医学文献。AI智能推荐,让科研检索更轻松。

立即免费搜索

文件翻译

保留排版,准确专业,支持PDF/Word/PPT等文件格式,支持 12+语言互译。

免费翻译文档

深度研究

AI帮你快速写综述,25分钟生成高质量综述,智能提取关键信息,辅助科研写作。

立即免费体验

[提取物名称]水提取物对氧化应激诱导的人角质形成细胞HaCaT细胞损伤的保护作用 。(你提供的原文中“against”前面的内容缺失,这里补充了一个“[提取物名称]”以便语句完整理解)

Protective Effects of Aqueous Extract of against Oxidative Stress-Induced Damages in Human Keratinocyte HaCaT Cells.

作者信息

Lee HansongI, Yeom Miji, Shin Seoungwoo, Jeon Kyungeun, Park Deokhoon, Jung Eunsun

机构信息

Biospectrum Life Science Institute, A-1805, U-Tower, 767, Sinsu-ro, Suji-gu, 16827 Yongin-si, Gyeonggi-do, Republic of Korea.

出版信息

Evid Based Complement Alternat Med. 2019 Sep 22;2019:5045491. doi: 10.1155/2019/5045491. eCollection 2019.

DOI:10.1155/2019/5045491
PMID:31662774
原文链接:https://pmc.ncbi.nlm.nih.gov/articles/PMC6778877/
Abstract

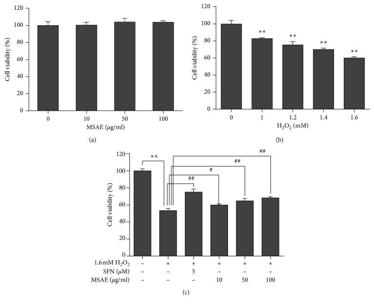
is an aromatic herb that has a wide range of biological activities, including antimicrobial, antifungal, anti-inflammatory, and hepatoprotective properties. Although there are a few reports on the antioxidant property of , its cytoprotective activity against oxidative stress has not been reported yet. The objective of this study was to determine the protective activity of aqueous extract (MSAE) against hydrogen peroxide- (HO-) induced oxidative stress and apoptosis in human keratinocyte HaCaT cells. MSAE pretreatment decreased HO-induced cytotoxicity and suppressed HO-induced intracellular ROS generation. Furthermore, MSAE suppressed expression levels of HO-induced apoptotic genes such as cleaved caspase-3, caspase-9, and cleaved poly (ADP-ribose) polymerase (PARP). Pretreatment with MSAE induced expression of phase II enzyme such as HO-1 through translocation of NF-E2-related factor (Nrf2) upon HO exposure. These results revealed that the cytoprotective effect of MSAE against oxidative stress-induced cell death was associated with activation of Nrf2-mediated phase II enzyme expression.

摘要

是一种具有广泛生物活性的芳香草本植物,包括抗菌、抗真菌、抗炎和保肝特性。尽管有一些关于其抗氧化特性的报道,但其对氧化应激的细胞保护活性尚未见报道。本研究的目的是确定水提取物(MSAE)对过氧化氢(H₂O₂)诱导的人角质形成细胞HaCaT细胞氧化应激和凋亡的保护活性。MSAE预处理降低了H₂O₂诱导的细胞毒性,并抑制了H₂O₂诱导的细胞内活性氧生成。此外,MSAE抑制了H₂O₂诱导的凋亡基因如裂解的半胱天冬酶-3、半胱天冬酶-9和裂解的聚(ADP-核糖)聚合酶(PARP)的表达水平。在H₂O₂暴露时,通过NF-E2相关因子(Nrf2)的易位,MSAE预处理诱导了II期酶如HO-1的表达。这些结果表明,MSAE对氧化应激诱导的细胞死亡的细胞保护作用与Nrf2介导的II期酶表达的激活有关。

https://cdn.ncbi.nlm.nih.gov/pmc/blobs/ca71/6778877/7b1fedea1700/ECAM2019-5045491.005.jpg
https://cdn.ncbi.nlm.nih.gov/pmc/blobs/ca71/6778877/b9af129eb8db/ECAM2019-5045491.001.jpg
https://cdn.ncbi.nlm.nih.gov/pmc/blobs/ca71/6778877/77ef111cba76/ECAM2019-5045491.002.jpg
https://cdn.ncbi.nlm.nih.gov/pmc/blobs/ca71/6778877/f023728843e5/ECAM2019-5045491.003.jpg
https://cdn.ncbi.nlm.nih.gov/pmc/blobs/ca71/6778877/f7707c96d75f/ECAM2019-5045491.004.jpg
https://cdn.ncbi.nlm.nih.gov/pmc/blobs/ca71/6778877/7b1fedea1700/ECAM2019-5045491.005.jpg
https://cdn.ncbi.nlm.nih.gov/pmc/blobs/ca71/6778877/b9af129eb8db/ECAM2019-5045491.001.jpg
https://cdn.ncbi.nlm.nih.gov/pmc/blobs/ca71/6778877/77ef111cba76/ECAM2019-5045491.002.jpg
https://cdn.ncbi.nlm.nih.gov/pmc/blobs/ca71/6778877/f023728843e5/ECAM2019-5045491.003.jpg
https://cdn.ncbi.nlm.nih.gov/pmc/blobs/ca71/6778877/f7707c96d75f/ECAM2019-5045491.004.jpg
https://cdn.ncbi.nlm.nih.gov/pmc/blobs/ca71/6778877/7b1fedea1700/ECAM2019-5045491.005.jpg

相似文献

1
Protective Effects of Aqueous Extract of against Oxidative Stress-Induced Damages in Human Keratinocyte HaCaT Cells.[提取物名称]水提取物对氧化应激诱导的人角质形成细胞HaCaT细胞损伤的保护作用 。(你提供的原文中“against”前面的内容缺失,这里补充了一个“[提取物名称]”以便语句完整理解)
Evid Based Complement Alternat Med. 2019 Sep 22;2019:5045491. doi: 10.1155/2019/5045491. eCollection 2019.
2
Caffeoylserotonin protects human keratinocyte HaCaT cells against H2 O2 -induced oxidative stress and apoptosis through upregulation of HO-1 expression via activation of the PI3K/Akt/Nrf2 pathway.咖啡酰丝氨酸通过激活 PI3K/Akt/Nrf2 通路上调 HO-1 表达,从而保护人角质形成细胞 HaCaT 细胞免受 H2 O2 诱导的氧化应激和凋亡。
Phytother Res. 2013 Dec;27(12):1810-8. doi: 10.1002/ptr.4931. Epub 2013 Feb 17.
3
Protective effects of Scutellaria baicalensis Georgi against hydrogen peroxide-induced DNA damage and apoptosis in HaCaT human skin keratinocytes.黄芩对过氧化氢诱导的HaCaT人皮肤角质形成细胞DNA损伤和凋亡的保护作用。
EXCLI J. 2017 Mar 31;16:426-438. doi: 10.17179/excli2016-817. eCollection 2017.
4
Protective Effects of against Hydrogen Peroxide-Induced Oxidative Stress and Cell Death in Skin Keratinocytes.[具体物质名称]对过氧化氢诱导的皮肤角质形成细胞氧化应激和细胞死亡的保护作用
Life (Basel). 2020 Oct 27;10(11):255. doi: 10.3390/life10110255.
5
Activation of the Nrf2/HO-1 signaling pathway contributes to the protective effects of coptisine against oxidative stress-induced DNA damage and apoptosis in HaCaT keratinocytes.Nrf2/HO-1信号通路的激活有助于黄连碱对氧化应激诱导的HaCaT角质形成细胞DNA损伤和凋亡的保护作用。
Gen Physiol Biophys. 2019 Jul;38(4):281-294. doi: 10.4149/gpb_2019014. Epub 2019 Jun 20.
6
Cytoprotective effect of Fufang Lurong Jiangu capsule against hydrogen peroxide-induced oxidative stress in bone marrow stromal cell-derived osteoblasts through the Nrf2/HO-1 signaling pathway.复方鹿茸健骨胶囊通过 Nrf2/HO-1 信号通路对过氧化氢诱导的骨髓基质细胞源性成骨细胞氧化应激的细胞保护作用。
Biomed Pharmacother. 2020 Jan;121:109676. doi: 10.1016/j.biopha.2019.109676. Epub 2019 Nov 25.
7
Activation of the Nrf2/HO-1 signaling pathway contributes to the protective effects of baicalein against oxidative stress-induced DNA damage and apoptosis in HEI193 Schwann cells.黄芩素通过激活 Nrf2/HO-1 信号通路减轻雪旺细胞氧化应激损伤
Int J Med Sci. 2019 Jan 1;16(1):145-155. doi: 10.7150/ijms.27005. eCollection 2019.
8
Protective Effect of Phloroglucinol on Oxidative Stress-Induced DNA Damage and Apoptosis through Activation of the Nrf2/HO-1 Signaling Pathway in HaCaT Human Keratinocytes.没食子丙醇通过激活 Nrf2/HO-1 信号通路对氧化应激诱导的 HaCaT 人角质形成细胞 DNA 损伤和凋亡的保护作用。
Mar Drugs. 2019 Apr 13;17(4):225. doi: 10.3390/md17040225.
9
The cytoprotective effects of 7,8-dihydroxyflavone against oxidative stress are mediated by the upregulation of Nrf2-dependent HO-1 expression through the activation of the PI3K/Akt and ERK pathways in C2C12 myoblasts.7,8-二羟基黄酮通过激活 C2C12 成肌细胞中的 PI3K/Akt 和 ERK 通路,上调 Nrf2 依赖性 HO-1 表达,从而发挥其抗氧化应激的细胞保护作用。
Int J Mol Med. 2015 Aug;36(2):501-10. doi: 10.3892/ijmm.2015.2256. Epub 2015 Jun 22.
10
Hepatoprotective and cytoprotective properties of Hyptis suaveolens against oxidative stress-induced damage by CCl(4) and H(2)O(2).唇萼薄荷对 CCl(4) 和 H(2)O(2)诱导的氧化应激损伤的肝保护和细胞保护特性。
Asian Pac J Trop Med. 2012 Nov;5(11):868-74. doi: 10.1016/S1995-7645(12)60162-X.

引用本文的文献

1
Protective Effects of the Postbiotic BK3 against HO-Induced Oxidative Damage in Skin Cells.后生元 BK3 对 HO 诱导的皮肤细胞氧化损伤的保护作用。
J Microbiol Biotechnol. 2024 Jul 28;34(7):1401-1409. doi: 10.4014/jmb.2403.03010. Epub 2024 May 24.
2
Overview of Ethnobotanical-Pharmacological Studies Carried Out on Medicinal Plants from the Serra da Estrela Natural Park: Focus on Their Antidiabetic Potential.对从埃什特雷拉山脉自然公园的药用植物开展的民族植物学 - 药理学研究概述:聚焦其抗糖尿病潜力。
Pharmaceutics. 2024 Mar 25;16(4):454. doi: 10.3390/pharmaceutics16040454.
3
Assessment of Oxidative Stress-Induced Oral Epithelial Toxicity.

本文引用的文献

1
Anti-Thermal Skin Aging Activity of Aqueous Extracts Derived from Apple Mint ( Ehrh.) in Human Dermal Fibroblasts.苹果薄荷(Ehrh.)水提取物对人皮肤成纤维细胞的抗热皮肤衰老活性
Evid Based Complement Alternat Med. 2018 Sep 4;2018:4595982. doi: 10.1155/2018/4595982. eCollection 2018.
2
Antioxidant response elements: Discovery, classes, regulation and potential applications.抗氧化反应元件:发现、种类、调控及潜在应用。
Redox Biol. 2018 Jul;17:297-314. doi: 10.1016/j.redox.2018.05.002. Epub 2018 May 7.
3
Antioxidants Maintain Cellular Redox Homeostasis by Elimination of Reactive Oxygen Species.
氧化应激诱导的口腔上皮细胞毒性评估。
Biomolecules. 2023 Aug 11;13(8):1239. doi: 10.3390/biom13081239.
4
Optimization of Ultrasound-Assisted Cellulase Extraction from Flower and Biological Activities: Antioxidant Activity, Protective Effect against ROS Oxidative Damage in HaCaT Cells and Inhibition of Melanin Production in B16 Cells.超声辅助从花中提取纤维素的优化及其生物学活性:抗氧化活性、对 HaCaT 细胞 ROS 氧化损伤的保护作用和对 B16 细胞黑色素生成的抑制作用。
Molecules. 2022 Mar 16;27(6):1914. doi: 10.3390/molecules27061914.
5
CoO Nanozymes with Multiple Catalytic Activities Regulate Atopic Dermatitis.具有多种催化活性的氧化钴纳米酶调节特应性皮炎。
Nanomaterials (Basel). 2022 Feb 14;12(4):638. doi: 10.3390/nano12040638.
6
Effect of lncRNA WT1-AS regulating WT1 on oxidative stress injury and apoptosis of neurons in Alzheimer's disease via inhibition of the miR-375/SIX4 axis.长链非编码 RNA WT1-AS 通过抑制 miR-375/SIX4 轴调控 WT1 对阿尔茨海默病神经元氧化应激损伤及凋亡的影响。
Aging (Albany NY). 2020 Nov 21;12(23):23974-23995. doi: 10.18632/aging.104079.
7
Potential Role of Phenolic Extracts of in Managing Oxidative Stress and Alzheimer's Disease.[具体物质名称]酚类提取物在应对氧化应激和阿尔茨海默病中的潜在作用
Antioxidants (Basel). 2020 Jul 17;9(7):631. doi: 10.3390/antiox9070631.
8
MSC-derived exosomes attenuate cell death through suppressing AIF nucleus translocation and enhance cutaneous wound healing.MSC 衍生的外泌体通过抑制 AIF 核易位减少细胞死亡,并增强皮肤伤口愈合。
Stem Cell Res Ther. 2020 May 11;11(1):174. doi: 10.1186/s13287-020-01616-8.
抗氧化剂通过清除活性氧维持细胞氧化还原稳态。
Cell Physiol Biochem. 2017;44(2):532-553. doi: 10.1159/000485089. Epub 2017 Nov 17.
4
Antibacterial, antioxidant and anti-proliferative properties and zinc content of five south Portugal herbs.葡萄牙南部五种草药的抗菌、抗氧化、抗增殖特性及锌含量
Pharm Biol. 2017 Dec;55(1):114-123. doi: 10.1080/13880209.2016.1230636. Epub 2016 Sep 22.
5
Activation of apoptosis signalling pathways by reactive oxygen species.活性氧对细胞凋亡信号通路的激活作用。
Biochim Biophys Acta. 2016 Dec;1863(12):2977-2992. doi: 10.1016/j.bbamcr.2016.09.012. Epub 2016 Sep 17.
6
Downregulation of Reactive Oxygen Species in Apoptosis.凋亡过程中活性氧的下调
J Cancer Prev. 2016 Mar;21(1):13-20. doi: 10.15430/JCP.2016.21.1.13. Epub 2016 Mar 30.
7
Mentha suaveolens Ehrh. (Lamiaceae) Essential Oil and Its Main Constituent Piperitenone Oxide: Biological Activities and Chemistry.留兰香(唇形科)精油及其主要成分氧化胡椒酮:生物活性与化学性质
Molecules. 2015 May 13;20(5):8605-33. doi: 10.3390/molecules20058605.
8
The role of transcription factor Nrf2 in skin cells metabolism.转录因子Nrf2在皮肤细胞代谢中的作用。
Arch Dermatol Res. 2015 Jul;307(5):385-96. doi: 10.1007/s00403-015-1554-2. Epub 2015 Feb 24.
9
Caspases: a molecular switch node in the crosstalk between autophagy and apoptosis.半胱天冬酶:自噬与凋亡相互作用中的分子开关节点。
Int J Biol Sci. 2014 Sep 13;10(9):1072-83. doi: 10.7150/ijbs.9719. eCollection 2014.
10
Egyptian herbal tea infusions' antioxidants and their antiproliferative and cytotoxic activities against cancer cells.埃及草药茶浸剂的抗氧化剂及其对癌细胞的抗增殖和细胞毒性活性。
Nat Prod Res. 2015;29(5):474-9. doi: 10.1080/14786419.2014.951354. Epub 2014 Aug 21.