Suppr超能文献

健康活跃男性摄入乳制品和胶原蛋白后血浆氨基酸浓度

Plasma Amino Acid Concentrations After the Ingestion of Dairy and Collagen Proteins, in Healthy Active Males.

作者信息

Alcock Rebekah D, Shaw Gregory C, Tee Nicolin, Burke Louise M

机构信息

Mary Mackillop Institute for Health Research, Australian Catholic University, Melbourne, VIC, Australia.

Australian Institute of Sport, Australian Sports Commission, Canberra, ACT, Australia.

出版信息

Front Nutr. 2019 Oct 15;6:163. doi: 10.3389/fnut.2019.00163. eCollection 2019.

Abstract

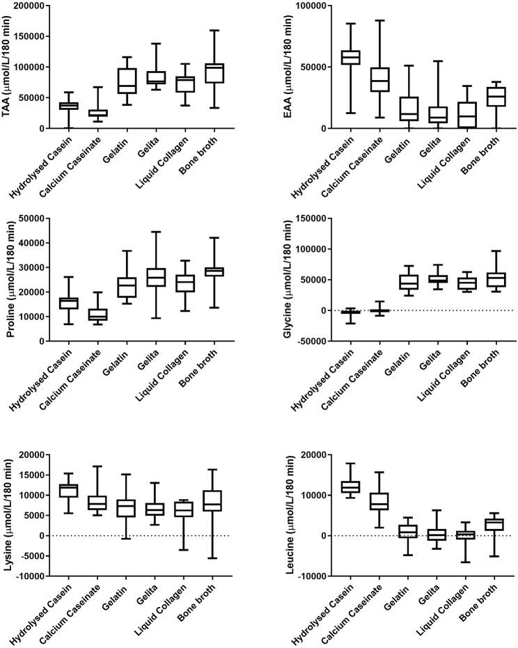
Recent evidence suggests that the consumption of essential amino acids (AA) and/or those abundantly present in collagen may have the capacity to influence the synthesis of new collagen in ligaments and tendons, when tissue perfusion is optimized (e.g., during exercise). However, little is currently known about the bioavailability of these AAs in blood after the consumption of various collagen and diary protein sources: such information is needed to develop potentially useful dietary and supplement intake strategies. The aim of the current study was to characterize blood AA concentrations in response to consumption of collagen and dairy protein sources; specifically, maximum concentrations, the timing of maximum concentration, and total (area under the curve) exposure above baseline. A 20 g serve of various dairy and collagen proteins, and a 300 mL serve of bone broth were consumed by healthy, recreationally active males after an overnight fast. Blood samples were drawn every 20 min for a total of 180 min, for analysis of plasma AA concentrations. Total AA, essential AA and collagen specific AAs were analyzed for maximum concentration, timing of peak, and area under the curve. In general, protein intake was associated with a similar increase in total and collagen specific AAs, except for collagen proteins being a superior source of glycine (683 ± 166 μmol/L) compared to 260 ± 65 μmol/L for dairy proteins ( < 0.0001), whilst dairy proteins were a superior source of leucine (267 ± 77 μmol/L) compared to 189 ± μmol/L for collagen proteins ( < 0.04). Although there were several differences in the bioavailability of hydrolysed compared to non-hydrolysed proteins, this only reached statistical significance within the dairy proteins, but not for collagen proteins. The intake of collagen proteins result in higher plasma peaks of glycine, whilst the intake of dairy proteins result in higher plasma peaks of leucine. This information may support further investigations, and identification of key AAs that may support exercise in the synthesis of collagen.

摘要

最近的证据表明,当组织灌注得到优化时(例如在运动期间),食用必需氨基酸(AA)和/或胶原蛋白中大量存在的氨基酸可能有能力影响韧带和肌腱中新胶原蛋白的合成。然而,目前对于食用各种胶原蛋白和乳制品蛋白质来源后这些氨基酸在血液中的生物利用度知之甚少:需要此类信息来制定可能有用的饮食和补充剂摄入策略。本研究的目的是描述食用胶原蛋白和乳制品蛋白质来源后血液中氨基酸浓度的特征;具体而言,包括最大浓度、最大浓度出现的时间以及高于基线的总(曲线下面积)暴露量。健康的、有休闲运动习惯的男性在禁食一夜后食用了20克各种乳制品和胶原蛋白蛋白质,以及300毫升骨汤。每隔20分钟采集一次血样,共采集180分钟,用于分析血浆氨基酸浓度。分析了总氨基酸、必需氨基酸和胶原蛋白特异性氨基酸的最大浓度、峰值出现时间以及曲线下面积。一般来说,蛋白质摄入与总氨基酸和胶原蛋白特异性氨基酸的类似增加有关,不过胶原蛋白蛋白质是甘氨酸的优质来源(683±166微摩尔/升),而乳制品蛋白质为260±65微摩尔/升(<0.0001),同时乳制品蛋白质是亮氨酸的优质来源(267±77微摩尔/升),而胶原蛋白蛋白质为189±微摩尔/升(<0.04)。尽管与未水解蛋白质相比,水解蛋白质的生物利用度存在一些差异,但这仅在乳制品蛋白质中达到统计学显著水平,而在胶原蛋白蛋白质中未达到。摄入胶原蛋白蛋白质会导致血浆中甘氨酸出现更高的峰值,而摄入乳制品蛋白质会导致血浆中亮氨酸出现更高的峰值。这些信息可能有助于进一步研究,并确定可能在运动中支持胶原蛋白合成的关键氨基酸。

https://cdn.ncbi.nlm.nih.gov/pmc/blobs/232f/6803522/8e494ee5c833/fnut-06-00163-g0001.jpg

文献AI研究员

20分钟写一篇综述,助力文献阅读效率提升50倍。

立即体验

用中文搜PubMed

大模型驱动的PubMed中文搜索引擎

马上搜索

文档翻译

学术文献翻译模型,支持多种主流文档格式。

立即体验