Suppr超能文献

通过干旱胁迫下卷柏(Beauv.)和翠云草之间差异表达基因鉴定复苏基因。

Identifying resurrection genes through the differentially expressed genes between Selaginella tamariscina (Beauv.) spring and Selaginella moellendorffii Hieron under drought stress.

机构信息

School of Pharmacy, Nanjing University of Chinese Medicine, Nanjing, China.

Jiangsu Collaborative Innovation Center of Chinese Medicinal Resources Industrialization, Nanjing University of Chinese Medicine, Nanjing, China.

出版信息

PLoS One. 2019 Nov 13;14(11):e0224765. doi: 10.1371/journal.pone.0224765. eCollection 2019.

Abstract

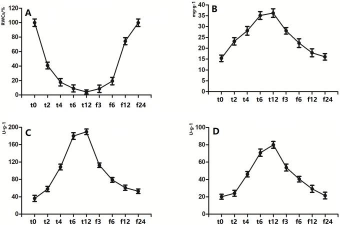
Selaginella tamariscina (Beauv.) spring, a primitive vascular resurrection plant, can survive extreme drought and recover when water becomes available. To identify drought-inducible genes and to clarify the molecular mechanism of drought tolerance, a comparative transcriptional pattern analysis was conducted between S. tamariscina and Selaginella moellendorffii Hieron (drought sensitive). 133 drought related genes were identified, including 72 functional genes and 61 regulatory genes. And several drought responsive reactions, such as antioxidant activity, osmotic balance, cuticle defense and signal transduction were highlighted in S. tamariscina under drought. Notably, besides peroxidase, catalase and L-ascorbate oxidase genes, DEGs associated with phenylalanine metabolism and polyamine catabolism could be alternative ways to enhance antioxidant ability in S. tamariscina. DEGs related to soluble carbohydrate metabolism, late embryogenesis abundant protein (LEA) and aquaporin protein (AQP) confirmed that osmotic adjustment could resist drought during desiccation. DEGs involved in xyloglucan metabolic process, pectin metabolic process and cutin biosynthesis may also contribute to drought tolerance of S. tamariscina by cuticle defense. Drought-responsive genes encoding protein kinases, calcium sensors, transcription factors (TFs) and plant hormones also help to drought resistance of S. tamariscina. The preliminary validation experiments were performed and the results were consistent with our hypothetical integrated regulatory network. The results of this study provide candidate resurrection genes and an integrated regulatory network for further studies on the molecular mechanisms of stress tolerance in S. tamariscina.

摘要

卷柏(Beauv.)spring,一种原始的维管复苏植物,能够在极端干旱条件下存活,并在有水源时恢复生长。为了鉴定干旱诱导基因,并阐明耐旱的分子机制,我们对卷柏和翠云草(Selaginella moellendorffii Hieron,耐旱敏感)进行了比较转录谱分析。共鉴定到 133 个干旱相关基因,包括 72 个功能基因和 61 个调控基因。在干旱条件下,卷柏中几个与干旱响应有关的反应,如抗氧化活性、渗透平衡、角质层防御和信号转导等被突出显示。值得注意的是,除了过氧化物酶、过氧化氢酶和 L-抗坏血酸氧化酶基因外,与苯丙氨酸代谢和多胺分解代谢相关的 DEGs 可能是增强卷柏抗氧化能力的替代途径。与可溶性碳水化合物代谢、晚期胚胎丰富蛋白(LEA)和水通道蛋白(AQP)相关的 DEGs 证实,在脱水过程中渗透调节可以抵抗干旱。参与木葡聚糖代谢过程、果胶代谢过程和角质层生物合成的 DEGs 也可能通过角质层防御有助于卷柏的耐旱性。参与木葡聚糖代谢过程、果胶代谢过程和角质层生物合成的 DEGs 也可能通过角质层防御有助于卷柏的耐旱性。与蛋白激酶、钙传感器、转录因子(TFs)和植物激素编码的干旱响应基因也有助于卷柏的耐旱性。还进行了初步的验证实验,结果与我们假设的综合调控网络一致。本研究为进一步研究卷柏的胁迫耐受分子机制提供了候选复苏基因和综合调控网络。

https://cdn.ncbi.nlm.nih.gov/pmc/blobs/b2e8/6853609/e09bd7171052/pone.0224765.g001.jpg

文献AI研究员

20分钟写一篇综述,助力文献阅读效率提升50倍。

立即体验

用中文搜PubMed

大模型驱动的PubMed中文搜索引擎

马上搜索

文档翻译

学术文献翻译模型,支持多种主流文档格式。

立即体验